Correlation between Neutrophil-to-Lymphocyte Ratio and Diabetic Neuropathy in Chinese Adults with Type 2 Diabetes Mellitus Using Machine Learning Methods.

IF 2.3 4区 医学 Q3 ENDOCRINOLOGY & METABOLISM
International Journal of Endocrinology Pub Date : 2024-07-31 eCollection Date: 2024-01-01 DOI:10.1155/2024/7044644
Lijie Zhu, Yang Liu, Bingyan Zheng, Danmeng Dong, Xiaoyun Xie, Liumei Hu
{"title":"Correlation between Neutrophil-to-Lymphocyte Ratio and Diabetic Neuropathy in Chinese Adults with Type 2 Diabetes Mellitus Using Machine Learning Methods.","authors":"Lijie Zhu, Yang Liu, Bingyan Zheng, Danmeng Dong, Xiaoyun Xie, Liumei Hu","doi":"10.1155/2024/7044644","DOIUrl":null,"url":null,"abstract":"<p><strong>Objective: </strong>One of the most frequent consequences of diabetes mellitus has been identified as diabetic peripheral neuropathy (DPN), and numerous inflammatory disorders, including diabetes, have been documented to be reflected by the neutrophil-to-lymphocyte ratio (NLR). This study aimed to explore the correlation between peripheral blood NLR and DPN, and to evaluate whether NLR could be utilized as a novel marker for early diagnosis of DPN among those with type 2 Diabetes Mellitus (T2DM).</p><p><strong>Methods: </strong>We reviewed the medical records of 1154 diabetic patients treated at Tongji Hospital Affiliated to Tongji University from January 2022 to March 2023. These patients did not have evidence of acute infections, chronic inflammatory status within the past three months. The information included the clinical, laboratory, and demographic characteristics of the patient. Finally, a total of 442 T2DM individuals with reliable, complete, and accessible medical records were recruited, including 216 T2DM patients without complications (DM group) and 226 T2DM patients with complications of DPN (DPN group). One-way ANOVA and multivariate logistic regression were applied to analyze data from the two groups, including peripheral blood NLR values and other biomedical indices. The cohort was divided in a 7 : 3 ratio into training and internal validation datasets following feature selection and data balancing. Based on machine learning, training was conducted using extreme gradient boosting (XGBoost) and support vector machine (SVM) methods. K-fold cross-validation was applied for model assessment, and accuracy, precision, recall, <i>F</i>1-score, and the area under the receiver operating characteristic curve (AUC) were used to validate the models' discrimination and clinical applicability. Using Shapley Additive Explanations (SHAP), the top-performing model was interpreted.</p><p><strong>Results: </strong>The values of 24-hour urine volume (24H UV), lower limb arterial plaque thickness (LLAB thickness), carotid plaque thickness (CP thickness), D-dimer and onset time were significantly higher in the DPN group compared to the DM group, whereas the values of urine creatinine (UCr), total cholesterol (TC), low-density lipoprotein (LDL), alpha-fetoprotein (AFP), fasting c-peptide (FCP), and nerve conduction velocity and wave magnitude of motor and sensory nerve shown in electromyogram (EMG) were considerably lower than those in the DM group (<i>P</i> < 0.05, respectively). NLR values were significantly higher in the DPN group compared to the DM group (2.60 ± 4.82 versus 1.85 ± 0.98, <i>P</i> < 0.05). Multivariate logistic regression analysis revealed that NLR (<i>P</i> = 0.008, <i>C</i> = 0.003) was a risk factor for DPN. The multivariate logistic regression model scores were 0.6241 for accuracy, 0.6111 for precision, 0.6667 for recall, 0.6377 for <i>F</i>1, and 0.6379 for AUC. Machine learning methods, XGBoost and SVM, built prediction models, showing that NLR can predict the onset of DPN. XGBoost achieved an accuracy of 0.6541, a precision of 0.6316, a recall of 0.7273, a <i>F</i>1 value of 0.6761, and an AUC value of 0.690. SVM scored an accuracy of 0.5789, a precision of 0.5610, a recall of 0.6970, an <i>F</i>1 value of 0.6216, and an AUC value of 0.6170.</p><p><strong>Conclusions: </strong>Our findings demonstrated that NLR is highly correlated with DPN and is an independent risk factor for DPN. NLR might be a novel indicator for the early diagnosis of DPN. XGBoost and SVM models have great predictive performance and could be reliable tools for the early prediction of DPN in T2DM patients. This trial is registered with ChiCTR2400087019.</p>","PeriodicalId":13966,"journal":{"name":"International Journal of Endocrinology","volume":"2024 ","pages":"7044644"},"PeriodicalIF":2.3000,"publicationDate":"2024-07-31","publicationTypes":"Journal Article","fieldsOfStudy":null,"isOpenAccess":false,"openAccessPdf":"https://www.ncbi.nlm.nih.gov/pmc/articles/PMC11306726/pdf/","citationCount":"0","resultStr":null,"platform":"Semanticscholar","paperid":null,"PeriodicalName":"International Journal of Endocrinology","FirstCategoryId":"3","ListUrlMain":"https://doi.org/10.1155/2024/7044644","RegionNum":4,"RegionCategory":"医学","ArticlePicture":[],"TitleCN":null,"AbstractTextCN":null,"PMCID":null,"EPubDate":"2024/1/1 0:00:00","PubModel":"eCollection","JCR":"Q3","JCRName":"ENDOCRINOLOGY & METABOLISM","Score":null,"Total":0}
引用次数: 0

Abstract

Objective: One of the most frequent consequences of diabetes mellitus has been identified as diabetic peripheral neuropathy (DPN), and numerous inflammatory disorders, including diabetes, have been documented to be reflected by the neutrophil-to-lymphocyte ratio (NLR). This study aimed to explore the correlation between peripheral blood NLR and DPN, and to evaluate whether NLR could be utilized as a novel marker for early diagnosis of DPN among those with type 2 Diabetes Mellitus (T2DM).

Methods: We reviewed the medical records of 1154 diabetic patients treated at Tongji Hospital Affiliated to Tongji University from January 2022 to March 2023. These patients did not have evidence of acute infections, chronic inflammatory status within the past three months. The information included the clinical, laboratory, and demographic characteristics of the patient. Finally, a total of 442 T2DM individuals with reliable, complete, and accessible medical records were recruited, including 216 T2DM patients without complications (DM group) and 226 T2DM patients with complications of DPN (DPN group). One-way ANOVA and multivariate logistic regression were applied to analyze data from the two groups, including peripheral blood NLR values and other biomedical indices. The cohort was divided in a 7 : 3 ratio into training and internal validation datasets following feature selection and data balancing. Based on machine learning, training was conducted using extreme gradient boosting (XGBoost) and support vector machine (SVM) methods. K-fold cross-validation was applied for model assessment, and accuracy, precision, recall, F1-score, and the area under the receiver operating characteristic curve (AUC) were used to validate the models' discrimination and clinical applicability. Using Shapley Additive Explanations (SHAP), the top-performing model was interpreted.

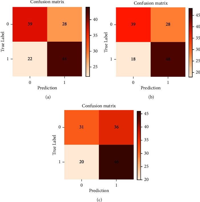
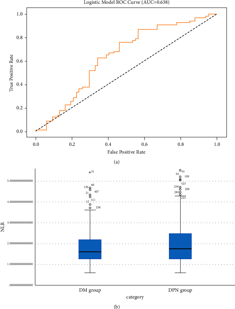
Results: The values of 24-hour urine volume (24H UV), lower limb arterial plaque thickness (LLAB thickness), carotid plaque thickness (CP thickness), D-dimer and onset time were significantly higher in the DPN group compared to the DM group, whereas the values of urine creatinine (UCr), total cholesterol (TC), low-density lipoprotein (LDL), alpha-fetoprotein (AFP), fasting c-peptide (FCP), and nerve conduction velocity and wave magnitude of motor and sensory nerve shown in electromyogram (EMG) were considerably lower than those in the DM group (P < 0.05, respectively). NLR values were significantly higher in the DPN group compared to the DM group (2.60 ± 4.82 versus 1.85 ± 0.98, P < 0.05). Multivariate logistic regression analysis revealed that NLR (P = 0.008, C = 0.003) was a risk factor for DPN. The multivariate logistic regression model scores were 0.6241 for accuracy, 0.6111 for precision, 0.6667 for recall, 0.6377 for F1, and 0.6379 for AUC. Machine learning methods, XGBoost and SVM, built prediction models, showing that NLR can predict the onset of DPN. XGBoost achieved an accuracy of 0.6541, a precision of 0.6316, a recall of 0.7273, a F1 value of 0.6761, and an AUC value of 0.690. SVM scored an accuracy of 0.5789, a precision of 0.5610, a recall of 0.6970, an F1 value of 0.6216, and an AUC value of 0.6170.

Conclusions: Our findings demonstrated that NLR is highly correlated with DPN and is an independent risk factor for DPN. NLR might be a novel indicator for the early diagnosis of DPN. XGBoost and SVM models have great predictive performance and could be reliable tools for the early prediction of DPN in T2DM patients. This trial is registered with ChiCTR2400087019.

Abstract Image

Abstract Image

Abstract Image

利用机器学习方法研究中国成人 2 型糖尿病患者中性粒细胞与淋巴细胞比率与糖尿病神经病变的相关性
目的:糖尿病最常见的后遗症之一是糖尿病周围神经病变(DPN),而包括糖尿病在内的许多炎症性疾病都可以通过中性粒细胞与淋巴细胞的比率(NLR)反映出来。本研究旨在探讨外周血 NLR 与 DPN 之间的相关性,并评估 NLR 是否可用作早期诊断 2 型糖尿病(T2DM)患者 DPN 的新型标记物:我们回顾了同济大学附属同济医院自2022年1月至2023年3月收治的1154名糖尿病患者的病历。这些患者在过去三个月内没有急性感染和慢性炎症的迹象。资料包括患者的临床、实验室和人口统计学特征。最后,共招募了 442 名具有可靠、完整和可获取的医疗记录的 T2DM 患者,其中包括 216 名无并发症的 T2DM 患者(DM 组)和 226 名有 DPN 并发症的 T2DM 患者(DPN 组)。采用单因素方差分析和多变量逻辑回归分析两组的数据,包括外周血 NLR 值和其他生物医学指标。队列以 7 :经过特征选择和数据平衡后,按 7 : 3 的比例将队列分为训练数据集和内部验证数据集。在机器学习的基础上,使用极梯度提升(XGBoost)和支持向量机(SVM)方法进行训练。模型评估采用了 K 倍交叉验证,准确度、精确度、召回率、F1 分数和接收器工作特征曲线下面积(AUC)用于验证模型的区分度和临床适用性。利用夏普利相加解释(SHAP)对表现最佳的模型进行了解释:结果:与 DM 组相比,DPN 组的 24 小时尿量(24H UV)、下肢动脉斑块厚度(LLAB 厚度)、颈动脉斑块厚度(CP 厚度)、D-二聚体和发病时间的数值均显著升高,而尿肌酐(UCr)、总胆固醇(TC)、低密度脂蛋白胆固醇(TC)、低密度脂蛋白胆固醇(TC)和低密度脂蛋白胆固醇(TC)的数值均显著升高、而DPN组的尿肌酐(UCr)、总胆固醇(TC)、低密度脂蛋白(LDL)、甲胎蛋白(AFP)、空腹c肽(FCP)、肌电图(EMG)显示的运动神经和感觉神经的神经传导速度和波幅均明显低于DM组(P < 0.05)。与 DM 组相比,DPN 组的 NLR 值明显更高(2.60 ± 4.82 对 1.85 ± 0.98,P < 0.05)。多变量逻辑回归分析显示,NLR(P = 0.008,C = 0.003)是DPN的一个危险因素。多变量逻辑回归模型的准确度为 0.6241,精确度为 0.6111,召回率为 0.6667,F1 为 0.6377,AUC 为 0.6379。机器学习方法 XGBoost 和 SVM 建立的预测模型表明,NLR 可以预测 DPN 的发病。XGBoost 的准确度为 0.6541,精确度为 0.6316,召回率为 0.7273,F1 值为 0.6761,AUC 值为 0.690。SVM 的准确度为 0.5789,精确度为 0.5610,召回率为 0.6970,F1 值为 0.6216,AUC 值为 0.6170:我们的研究结果表明,NLR与DPN高度相关,是DPN的一个独立风险因素。NLR 可能是早期诊断 DPN 的一个新指标。XGBoost和SVM模型具有很好的预测性能,可作为早期预测T2DM患者DPN的可靠工具。本试验注册号为ChiCTR2400087019。
本文章由计算机程序翻译,如有差异,请以英文原文为准。
求助全文
约1分钟内获得全文 求助全文
来源期刊
International Journal of Endocrinology
International Journal of Endocrinology ENDOCRINOLOGY & METABOLISM-
CiteScore
5.20
自引率
0.00%
发文量
147
审稿时长
1 months
期刊介绍: International Journal of Endocrinology is a peer-reviewed, Open Access journal that provides a forum for scientists and clinicians working in basic and translational research. The journal publishes original research articles, review articles, and clinical studies that provide insights into the endocrine system and its associated diseases at a genomic, molecular, biochemical and cellular level.
×
引用
GB/T 7714-2015
复制
MLA
复制
APA
复制
导出至
BibTeX EndNote RefMan NoteFirst NoteExpress
×
提示
您的信息不完整,为了账户安全,请先补充。
现在去补充
×
提示
您因"违规操作"
具体请查看互助需知
我知道了
×
提示
确定
请完成安全验证×
copy
已复制链接
快去分享给好友吧!
我知道了
右上角分享
点击右上角分享
0
联系我们:info@booksci.cn Book学术提供免费学术资源搜索服务,方便国内外学者检索中英文文献。致力于提供最便捷和优质的服务体验。 Copyright © 2023 布克学术 All rights reserved.
京ICP备2023020795号-1
ghs 京公网安备 11010802042870号
Book学术文献互助
Book学术文献互助群
群 号:604180095
Book学术官方微信