Assessment of right ventricular systolic function using speckle tracking strain imaging in patients with severe tricuspid regurgitation: a validation study with cardiac magnetic resonance.

Q2 Medicine
Inki Moon, Soongu Kwak, MinKwan Kim, Seung-Pyo Lee, Hyung-Kwan Kim, Yong-Jin Kim, Jun-Bean Park
{"title":"Assessment of right ventricular systolic function using speckle tracking strain imaging in patients with severe tricuspid regurgitation: a validation study with cardiac magnetic resonance.","authors":"Inki Moon, Soongu Kwak, MinKwan Kim, Seung-Pyo Lee, Hyung-Kwan Kim, Yong-Jin Kim, Jun-Bean Park","doi":"10.1186/s44348-024-00015-4","DOIUrl":null,"url":null,"abstract":"<p><strong>Background: </strong>Right ventricular (RV) systolic dysfunction is an established prognostic factor in patients with severe tricuspid regurgitation (TR). However, accurate assessment of RV systolic function using conventional echocardiography remains challenging. We investigated the accuracy of strain measurement using speckle tracking echocardiography (STE) for evaluating RV systolic function in patients with severe TR.</p><p><strong>Methods: </strong>We included consecutive patients with severe TR who underwent echocardiography and cardiac magnetic resonance imaging (CMR) within 30 days between 2011 and 2023. Two-dimensional STE was used to measure RV free wall longitudinal strain (RVFWLS) and global longitudinal strain (RVGLS). These values were compared with the RV ejection fraction (RVEF) from CMR. RV systolic dysfunction was defined as a CMR-derived RVEF < 35%.</p><p><strong>Results: </strong>A total of 87 patients with severe TR were identified during the study period. Among echocardiographic RV strain measurements, RVFWLS was the best correlate of CMR-derived RVEF (r = -0.37, P < 0.001), followed by RVGLS (r = -0.27, P = 0.012). Receiver operating characteristic (ROC) curve analysis revealed that RVFWLS provided better discrimination of RV systolic dysfunction, yielding an area under the ROC curve (AUC) of 0.770 (95% confidence interval [CI], 0.696-0.800) than RV fractional area change (AUC, 0.615; 95% CI, 0.500-0.859).</p><p><strong>Conclusions: </strong>In patients with severe TR, STE-derived RVFWLS showed the best correlation with RVEF on CMR and displayed superior discrimination of RV systolic dysfunction compared with the RV fractional area change. This study suggests the potential usefulness of STE in assessing RV systolic function in this population.</p>","PeriodicalId":15229,"journal":{"name":"Journal of Cardiovascular Imaging","volume":"32 1","pages":"22"},"PeriodicalIF":0.0000,"publicationDate":"2024-08-07","publicationTypes":"Journal Article","fieldsOfStudy":null,"isOpenAccess":false,"openAccessPdf":"https://www.ncbi.nlm.nih.gov/pmc/articles/PMC11304584/pdf/","citationCount":"0","resultStr":null,"platform":"Semanticscholar","paperid":null,"PeriodicalName":"Journal of Cardiovascular Imaging","FirstCategoryId":"1085","ListUrlMain":"https://doi.org/10.1186/s44348-024-00015-4","RegionNum":0,"RegionCategory":null,"ArticlePicture":[],"TitleCN":null,"AbstractTextCN":null,"PMCID":null,"EPubDate":"","PubModel":"","JCR":"Q2","JCRName":"Medicine","Score":null,"Total":0}
引用次数: 0

Abstract

Background: Right ventricular (RV) systolic dysfunction is an established prognostic factor in patients with severe tricuspid regurgitation (TR). However, accurate assessment of RV systolic function using conventional echocardiography remains challenging. We investigated the accuracy of strain measurement using speckle tracking echocardiography (STE) for evaluating RV systolic function in patients with severe TR.

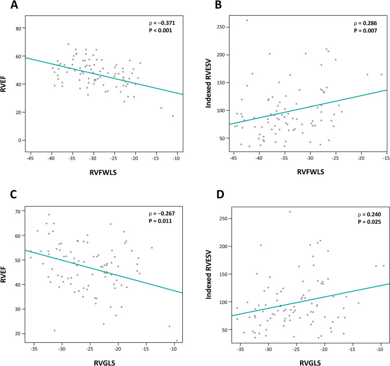
Methods: We included consecutive patients with severe TR who underwent echocardiography and cardiac magnetic resonance imaging (CMR) within 30 days between 2011 and 2023. Two-dimensional STE was used to measure RV free wall longitudinal strain (RVFWLS) and global longitudinal strain (RVGLS). These values were compared with the RV ejection fraction (RVEF) from CMR. RV systolic dysfunction was defined as a CMR-derived RVEF < 35%.

Results: A total of 87 patients with severe TR were identified during the study period. Among echocardiographic RV strain measurements, RVFWLS was the best correlate of CMR-derived RVEF (r = -0.37, P < 0.001), followed by RVGLS (r = -0.27, P = 0.012). Receiver operating characteristic (ROC) curve analysis revealed that RVFWLS provided better discrimination of RV systolic dysfunction, yielding an area under the ROC curve (AUC) of 0.770 (95% confidence interval [CI], 0.696-0.800) than RV fractional area change (AUC, 0.615; 95% CI, 0.500-0.859).

Conclusions: In patients with severe TR, STE-derived RVFWLS showed the best correlation with RVEF on CMR and displayed superior discrimination of RV systolic dysfunction compared with the RV fractional area change. This study suggests the potential usefulness of STE in assessing RV systolic function in this population.

Abstract Image

Abstract Image

利用斑点追踪应变成像评估重度三尖瓣反流患者的右心室收缩功能:与心脏磁共振的验证研究。
背景:右心室(RV)收缩功能障碍是严重三尖瓣反流(TR)患者的一个既定预后因素。然而,使用传统超声心动图准确评估右心室收缩功能仍具有挑战性。我们研究了使用斑点追踪超声心动图(STE)测量应变以评估重度三尖瓣反流患者 RV 收缩功能的准确性:我们纳入了2011年至2023年期间连续30天内接受超声心动图和心脏磁共振成像(CMR)检查的重度TR患者。二维 STE 用于测量 RV 游离壁纵向应变 (RVFWLS) 和整体纵向应变 (RVGLS)。将这些值与 CMR 得出的 RV 射血分数 (RVEF) 进行比较。RV收缩功能障碍被定义为 CMR得出的RVEF 结果:研究期间共发现了 87 例严重 TR 患者。在超声心动图 RV 应变测量中,RVFWLS 与 CMR 导出的 RVEF 的相关性最好(r = -0.37,P 结论:RVFWLS 与 CMR 导出的 RVEF 的相关性最好:在重度 TR 患者中,STE 导出的 RVFWLS 与 CMR 导出的 RVEF 的相关性最好,与 RV 分数面积变化相比,RV 收缩功能障碍的分辨能力更强。这项研究表明 STE 在评估这类人群的 RV 收缩功能方面具有潜在的实用性。
本文章由计算机程序翻译,如有差异,请以英文原文为准。
求助全文
约1分钟内获得全文 求助全文
来源期刊
Journal of Cardiovascular Imaging
Journal of Cardiovascular Imaging Medicine-Cardiology and Cardiovascular Medicine
CiteScore
3.40
自引率
0.00%
发文量
42
×
引用
GB/T 7714-2015
复制
MLA
复制
APA
复制
导出至
BibTeX EndNote RefMan NoteFirst NoteExpress
×
提示
您的信息不完整,为了账户安全,请先补充。
现在去补充
×
提示
您因"违规操作"
具体请查看互助需知
我知道了
×
提示
确定
请完成安全验证×
copy
已复制链接
快去分享给好友吧!
我知道了
右上角分享
点击右上角分享
0
联系我们:info@booksci.cn Book学术提供免费学术资源搜索服务,方便国内外学者检索中英文文献。致力于提供最便捷和优质的服务体验。 Copyright © 2023 布克学术 All rights reserved.
京ICP备2023020795号-1
ghs 京公网安备 11010802042870号
Book学术文献互助
Book学术文献互助群
群 号:604180095
Book学术官方微信