Adequate Dose of Levothyroxine for Thyroid-Stimulating Hormone Suppression after Total Thyroidectomy in Patients with Differentiated Thyroid Cancer.

IF 4.2 3区 医学 Q2 ENDOCRINOLOGY & METABOLISM
Endocrinology and Metabolism Pub Date : 2024-08-01 Epub Date: 2024-08-07 DOI:10.3803/EnM.2023.1896
Hyun Jin Ryu, Min Sun Choi, Hyunju Park, Tae Hyuk Kim, Jae Hoon Chung, So Young Park, Sun Wook Kim
{"title":"Adequate Dose of Levothyroxine for Thyroid-Stimulating Hormone Suppression after Total Thyroidectomy in Patients with Differentiated Thyroid Cancer.","authors":"Hyun Jin Ryu, Min Sun Choi, Hyunju Park, Tae Hyuk Kim, Jae Hoon Chung, So Young Park, Sun Wook Kim","doi":"10.3803/EnM.2023.1896","DOIUrl":null,"url":null,"abstract":"<p><strong>Backgruound: </strong>The adequate dose of levothyroxine (LT4) for patients who have undergone total thyroidectomy (TT) for differentiated thyroid cancer (DTC) is uncertain. We evaluated the LT4 dose required to achieve mild thyroid-stimulating hormone (TSH) suppression in DTC patients after TT.</p><p><strong>Methods: </strong>The electronic medical records of patients who underwent TT for DTC and received mild TSH suppression therapy were reviewed. Linear regression analysis was performed to evaluate the association between LT4 dose (μg/kg) and an ordinal group divided by body mass index (BMI). We also evaluated the trend in LT4 doses among groups divided by BMI and age.</p><p><strong>Results: </strong>In total, 123 patients achieved mild TSH suppression (0.1 to 0.5 mIU/L). The BMI variable was divided into three categories: <23 kg/m2 (n=46), ≥23 and <25 kg/m2 (n=30), and ≥25 kg/m2 (n=47). In the linear regression analysis, BMI was negatively associated with the LT4 dose after adjusting for age and sex (P<0.001). The LT4 doses required to achieve mild TSH suppression based on the BMI categories were 1.86, 1.71, and 1.71 μg/kg, respectively (P for trend <0.001). Further analysis with groups divided by age and BMI revealed that a higher BMI was related to a lower LT4 dose, especially in younger patients aged 20 to 39 (P for trend=0.011).</p><p><strong>Conclusion: </strong>The study results suggest an appropriate LT4 dose for mild TSH suppression after TT based on body weight in patients with DTC. Considering body weight, BMI, and age in estimating LT4 doses might help to achieve the target TSH level promptly.</p>","PeriodicalId":11636,"journal":{"name":"Endocrinology and Metabolism","volume":" ","pages":"615-621"},"PeriodicalIF":4.2000,"publicationDate":"2024-08-01","publicationTypes":"Journal Article","fieldsOfStudy":null,"isOpenAccess":false,"openAccessPdf":"https://www.ncbi.nlm.nih.gov/pmc/articles/PMC11375304/pdf/","citationCount":"0","resultStr":null,"platform":"Semanticscholar","paperid":null,"PeriodicalName":"Endocrinology and Metabolism","FirstCategoryId":"3","ListUrlMain":"https://doi.org/10.3803/EnM.2023.1896","RegionNum":3,"RegionCategory":"医学","ArticlePicture":[],"TitleCN":null,"AbstractTextCN":null,"PMCID":null,"EPubDate":"2024/8/7 0:00:00","PubModel":"Epub","JCR":"Q2","JCRName":"ENDOCRINOLOGY & METABOLISM","Score":null,"Total":0}
引用次数: 0

Abstract

Backgruound: The adequate dose of levothyroxine (LT4) for patients who have undergone total thyroidectomy (TT) for differentiated thyroid cancer (DTC) is uncertain. We evaluated the LT4 dose required to achieve mild thyroid-stimulating hormone (TSH) suppression in DTC patients after TT.

Methods: The electronic medical records of patients who underwent TT for DTC and received mild TSH suppression therapy were reviewed. Linear regression analysis was performed to evaluate the association between LT4 dose (μg/kg) and an ordinal group divided by body mass index (BMI). We also evaluated the trend in LT4 doses among groups divided by BMI and age.

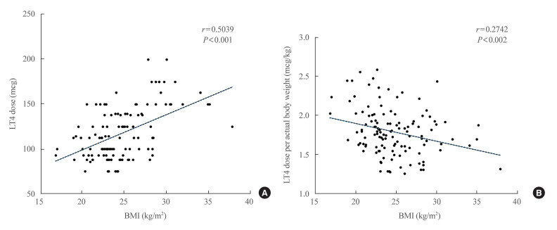
Results: In total, 123 patients achieved mild TSH suppression (0.1 to 0.5 mIU/L). The BMI variable was divided into three categories: <23 kg/m2 (n=46), ≥23 and <25 kg/m2 (n=30), and ≥25 kg/m2 (n=47). In the linear regression analysis, BMI was negatively associated with the LT4 dose after adjusting for age and sex (P<0.001). The LT4 doses required to achieve mild TSH suppression based on the BMI categories were 1.86, 1.71, and 1.71 μg/kg, respectively (P for trend <0.001). Further analysis with groups divided by age and BMI revealed that a higher BMI was related to a lower LT4 dose, especially in younger patients aged 20 to 39 (P for trend=0.011).

Conclusion: The study results suggest an appropriate LT4 dose for mild TSH suppression after TT based on body weight in patients with DTC. Considering body weight, BMI, and age in estimating LT4 doses might help to achieve the target TSH level promptly.

Abstract Image

Abstract Image

Abstract Image

分化型甲状腺癌患者全甲状腺切除术后抑制甲状腺刺激素的左甲状腺素剂量是否足够?
背景:因分化型甲状腺癌(DTC)而接受甲状腺全切除术(TT)的患者服用左甲状腺素(LT4)的适当剂量尚不确定。我们评估了DTC患者接受全甲状腺切除术后达到轻度促甲状腺激素(TSH)抑制所需的LT4剂量:方法:我们回顾了因 DTC 而接受 TT 并接受轻度 TSH 抑制治疗的患者的电子病历。我们进行了线性回归分析,以评估LT4剂量(μg/kg)与按体重指数(BMI)划分的序数组之间的关联。我们还评估了按体重指数和年龄划分的各组间 LT4 剂量的变化趋势:共有 123 名患者获得了轻度 TSH 抑制(0.1 至 0.5 mIU/L)。体重指数变量分为三类:结论研究结果表明,根据 DTC 患者的体重,TT 后轻度 TSH 抑制的 LT4 剂量是合适的。在估算 LT4 剂量时考虑体重、BMI 和年龄可能有助于及时达到目标 TSH 水平。
本文章由计算机程序翻译,如有差异,请以英文原文为准。
求助全文
约1分钟内获得全文 求助全文
来源期刊
Endocrinology and Metabolism
Endocrinology and Metabolism Medicine-Endocrinology, Diabetes and Metabolism
CiteScore
6.60
自引率
5.90%
发文量
145
审稿时长
24 weeks
期刊介绍: The aim of this journal is to set high standards of medical care by providing a forum for discussion for basic, clinical, and translational researchers and clinicians on new findings in the fields of endocrinology and metabolism. Endocrinology and Metabolism reports new findings and developments in all aspects of endocrinology and metabolism. The topics covered by this journal include bone and mineral metabolism, cytokines, developmental endocrinology, diagnostic endocrinology, endocrine research, dyslipidemia, endocrine regulation, genetic endocrinology, growth factors, hormone receptors, hormone action and regulation, management of endocrine diseases, clinical trials, epidemiology, molecular endocrinology, neuroendocrinology, neuropeptides, neurotransmitters, obesity, pediatric endocrinology, reproductive endocrinology, signal transduction, the anatomy and physiology of endocrine organs (i.e., the pituitary, thyroid, parathyroid, and adrenal glands, and the gonads), and endocrine diseases (diabetes, nutrition, osteoporosis, etc.).
×
引用
GB/T 7714-2015
复制
MLA
复制
APA
复制
导出至
BibTeX EndNote RefMan NoteFirst NoteExpress
×
提示
您的信息不完整,为了账户安全,请先补充。
现在去补充
×
提示
您因"违规操作"
具体请查看互助需知
我知道了
×
提示
确定
请完成安全验证×
copy
已复制链接
快去分享给好友吧!
我知道了
右上角分享
点击右上角分享
0
联系我们:info@booksci.cn Book学术提供免费学术资源搜索服务,方便国内外学者检索中英文文献。致力于提供最便捷和优质的服务体验。 Copyright © 2023 布克学术 All rights reserved.
京ICP备2023020795号-1
ghs 京公网安备 11010802042870号
Book学术文献互助
Book学术文献互助群
群 号:604180095
Book学术官方微信