The Merits of Bilateral Application of Middle Ear Implants in Patients With Bilateral Conductive and/or Mixed Hearing Loss.

IF 3 2区 医学 Q1 AUDIOLOGY & SPEECH-LANGUAGE PATHOLOGY
Martijn J H Agterberg, Louise Straatman, Karl-Ludwig Bruchhage, Tim Jürgens, Daniela Hollfelder, Anke Leichtle
{"title":"The Merits of Bilateral Application of Middle Ear Implants in Patients With Bilateral Conductive and/or Mixed Hearing Loss.","authors":"Martijn J H Agterberg, Louise Straatman, Karl-Ludwig Bruchhage, Tim Jürgens, Daniela Hollfelder, Anke Leichtle","doi":"10.1177/23312165241264466","DOIUrl":null,"url":null,"abstract":"<p><p>This study investigated sound localization abilities in patients with bilateral conductive and/or mixed hearing loss (BCHL) when listening with either one or two middle ear implants (MEIs). Sound localization was measured by asking patients to point as quickly and accurately as possible with a head-mounted LED in the perceived sound direction. Loudspeakers, positioned around the listener within a range of +73°/-73° in the horizontal plane, were not visible to the patients. Broadband (500 Hz-20 kHz) noise bursts (150 ms), roved over a 20-dB range in 10 dB steps was presented. MEIs stimulate the ipsilateral cochlea only and therefore the localization response was not affected by crosstalk. Sound localization was better with bilateral MEIs compared with the unilateral left and unilateral right conditions. Good sound localization performance was found in the bilaterally aided hearing condition in four patients. In two patients, localization abilities equaled normal hearing performance. Interestingly, in the unaided condition, when both devices were turned off, subjects could still localize the stimuli presented at the highest sound level. Comparison with data of patients implanted bilaterally with bone-conduction devices, demonstrated that localization abilities with MEIs were superior. The measurements demonstrate that patients with BCHL, using remnant binaural cues in the unaided condition, are able to process binaural cues when listening with bilateral MEIs. We conclude that implantation with two MEIs, each stimulating only the ipsilateral cochlea, without crosstalk to the contralateral cochlea, can result in good sound localization abilities, and that this topic needs further investigation.</p>","PeriodicalId":48678,"journal":{"name":"Trends in Hearing","volume":"28 ","pages":"23312165241264466"},"PeriodicalIF":3.0000,"publicationDate":"2024-01-01","publicationTypes":"Journal Article","fieldsOfStudy":null,"isOpenAccess":false,"openAccessPdf":"https://www.ncbi.nlm.nih.gov/pmc/articles/PMC11304489/pdf/","citationCount":"0","resultStr":null,"platform":"Semanticscholar","paperid":null,"PeriodicalName":"Trends in Hearing","FirstCategoryId":"3","ListUrlMain":"https://doi.org/10.1177/23312165241264466","RegionNum":2,"RegionCategory":"医学","ArticlePicture":[],"TitleCN":null,"AbstractTextCN":null,"PMCID":null,"EPubDate":"","PubModel":"","JCR":"Q1","JCRName":"AUDIOLOGY & SPEECH-LANGUAGE PATHOLOGY","Score":null,"Total":0}
引用次数: 0

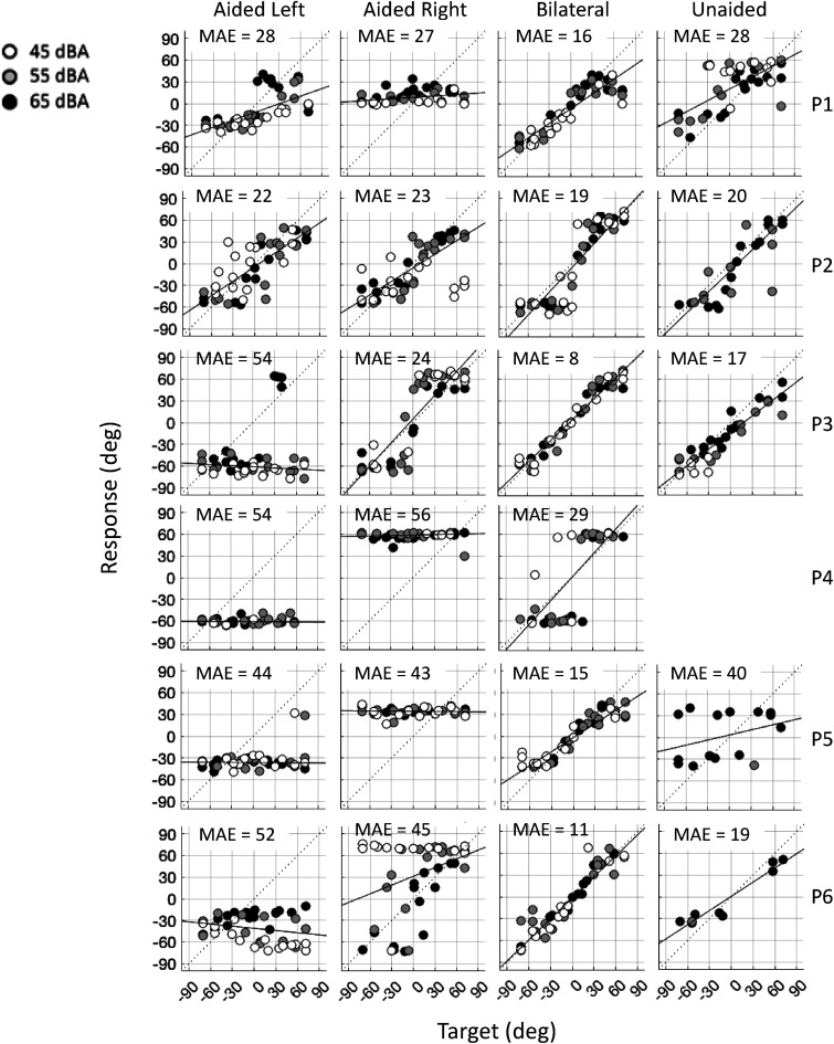
Abstract

This study investigated sound localization abilities in patients with bilateral conductive and/or mixed hearing loss (BCHL) when listening with either one or two middle ear implants (MEIs). Sound localization was measured by asking patients to point as quickly and accurately as possible with a head-mounted LED in the perceived sound direction. Loudspeakers, positioned around the listener within a range of +73°/-73° in the horizontal plane, were not visible to the patients. Broadband (500 Hz-20 kHz) noise bursts (150 ms), roved over a 20-dB range in 10 dB steps was presented. MEIs stimulate the ipsilateral cochlea only and therefore the localization response was not affected by crosstalk. Sound localization was better with bilateral MEIs compared with the unilateral left and unilateral right conditions. Good sound localization performance was found in the bilaterally aided hearing condition in four patients. In two patients, localization abilities equaled normal hearing performance. Interestingly, in the unaided condition, when both devices were turned off, subjects could still localize the stimuli presented at the highest sound level. Comparison with data of patients implanted bilaterally with bone-conduction devices, demonstrated that localization abilities with MEIs were superior. The measurements demonstrate that patients with BCHL, using remnant binaural cues in the unaided condition, are able to process binaural cues when listening with bilateral MEIs. We conclude that implantation with two MEIs, each stimulating only the ipsilateral cochlea, without crosstalk to the contralateral cochlea, can result in good sound localization abilities, and that this topic needs further investigation.

Abstract Image

Abstract Image

Abstract Image

双侧传导性和/或混合性听力损失患者双侧应用中耳植入体的优点。
本研究调查了双侧传导性听力损失和/或混合性听力损失(BHL)患者在使用一个或两个中耳植入体(MEI)听力时的声音定位能力。声音定位的测量方法是要求患者用头戴式 LED 尽可能快速、准确地指向感知到的声音方向。患者看不到扬声器,扬声器位于水平面 +73°/-73° 范围内的听者周围。宽带(500 Hz-20 kHz)噪声脉冲(150 ms)在 20 分贝范围内以 10 分贝为单位巡回播放。MEI 仅刺激同侧耳蜗,因此定位反应不受串扰影响。与单侧左耳和单侧右耳相比,双侧 MEI 的声音定位效果更好。四名患者在双侧助听条件下的声音定位效果良好。两名患者的声音定位能力与正常听力表现相当。有趣的是,在无助听条件下,当两个设备都关闭时,受试者仍能定位最高声级的刺激物。与双侧植入骨传导设备的患者数据相比,使用 MEIs 的定位能力更胜一筹。测量结果表明,在无辅助条件下使用残余双耳线索的 BCHL 患者,在使用双侧 MEI 聆听时能够处理双耳线索。我们的结论是,植入两个 MEI,每个 MEI 只刺激同侧耳蜗,而不对对侧耳蜗产生串扰,可以获得良好的声音定位能力,这一课题需要进一步研究。
本文章由计算机程序翻译,如有差异,请以英文原文为准。
求助全文
约1分钟内获得全文 求助全文
来源期刊
Trends in Hearing
Trends in Hearing AUDIOLOGY & SPEECH-LANGUAGE PATHOLOGYOTORH-OTORHINOLARYNGOLOGY
CiteScore
4.50
自引率
11.10%
发文量
44
审稿时长
12 weeks
期刊介绍: Trends in Hearing is an open access journal completely dedicated to publishing original research and reviews focusing on human hearing, hearing loss, hearing aids, auditory implants, and aural rehabilitation. Under its former name, Trends in Amplification, the journal established itself as a forum for concise explorations of all areas of translational hearing research by leaders in the field. Trends in Hearing has now expanded its focus to include original research articles, with the goal of becoming the premier venue for research related to human hearing and hearing loss.
×
引用
GB/T 7714-2015
复制
MLA
复制
APA
复制
导出至
BibTeX EndNote RefMan NoteFirst NoteExpress
×
提示
您的信息不完整,为了账户安全,请先补充。
现在去补充
×
提示
您因"违规操作"
具体请查看互助需知
我知道了
×
提示
确定
请完成安全验证×
copy
已复制链接
快去分享给好友吧!
我知道了
右上角分享
点击右上角分享
0
联系我们:info@booksci.cn Book学术提供免费学术资源搜索服务,方便国内外学者检索中英文文献。致力于提供最便捷和优质的服务体验。 Copyright © 2023 布克学术 All rights reserved.
京ICP备2023020795号-1
ghs 京公网安备 11010802042870号
Book学术文献互助
Book学术文献互助群
群 号:604180095
Book学术官方微信