Global burden of adult non-alcoholic fatty liver disease (NAFLD) and non-alcoholic steatohepatitis (NASH) has been steadily increasing over the past decades and is expected to persist in the future.

IF 2.5 Q2 GASTROENTEROLOGY & HEPATOLOGY
Translational gastroenterology and hepatology Pub Date : 2024-06-24 eCollection Date: 2024-01-01 DOI:10.21037/tgh-23-118
Xuan Dong, Jing-Mao Li, Xiao-Ling Lu, Xiao-Yun Lin, Mei-Zhu Hong, Shangeng Weng, Jin-Shui Pan
{"title":"Global burden of adult non-alcoholic fatty liver disease (NAFLD) and non-alcoholic steatohepatitis (NASH) has been steadily increasing over the past decades and is expected to persist in the future.","authors":"Xuan Dong, Jing-Mao Li, Xiao-Ling Lu, Xiao-Yun Lin, Mei-Zhu Hong, Shangeng Weng, Jin-Shui Pan","doi":"10.21037/tgh-23-118","DOIUrl":null,"url":null,"abstract":"<p><strong>Background: </strong>At present, there is a dearth of comprehensive data at the global, national, and regional levels regarding the adult non-alcoholic fatty liver disease (NAFLD) prevalence. This cross-sectional study aims at ascertaining the prevalence of NAFLD and non-alcoholic steatohepatitis (NASH), utilizing body mass index (BMI) as a determining factor.</p><p><strong>Methods: </strong>Based on the NHANES database, sigmoidal fitting curves were generated to establish the relationship between BMI and the risk of NAFLD/NASH. Utilizing BMI data from the NCD Risk Factor Collaboration (NCD-RisC) database at both global and regional levels, the prevalence of NAFLD/NASH among adults was estimated from 1975 to 2016, encompassing global, regional, and national perspectives. Additionally, projections were made to forecast the prevalence of adult NAFLD/NASH from 2017 to 2030.</p><p><strong>Results: </strong>In 2016, the global prevalence of NAFLD was 41.12% for males and 37.32% for females, while the global prevalence of NASH was 15.79% for males and 16.48% for females. The prevalence of NAFLD/NASH increased with higher BMI in both genders. Over the period from 1975 to 2016, there has been a gradual increase in the global prevalence of NAFLD/NASH in adults, and this trend is expected to continue between 2017 and 2030. In males, the prevalence of adult NAFLD/NASH was found to be highest in High-income Western countries, while it was highest in Central Asia, Middle East, and North African countries after 1995.</p><p><strong>Conclusions: </strong>The prevalence of adult NAFLD/NASH has been observed to increase annually, with significant variations in burden across different countries and regions.</p>","PeriodicalId":94362,"journal":{"name":"Translational gastroenterology and hepatology","volume":"9 ","pages":"33"},"PeriodicalIF":2.5000,"publicationDate":"2024-06-24","publicationTypes":"Journal Article","fieldsOfStudy":null,"isOpenAccess":false,"openAccessPdf":"https://www.ncbi.nlm.nih.gov/pmc/articles/PMC11292082/pdf/","citationCount":"0","resultStr":null,"platform":"Semanticscholar","paperid":null,"PeriodicalName":"Translational gastroenterology and hepatology","FirstCategoryId":"1085","ListUrlMain":"https://doi.org/10.21037/tgh-23-118","RegionNum":0,"RegionCategory":null,"ArticlePicture":[],"TitleCN":null,"AbstractTextCN":null,"PMCID":null,"EPubDate":"2024/1/1 0:00:00","PubModel":"eCollection","JCR":"Q2","JCRName":"GASTROENTEROLOGY & HEPATOLOGY","Score":null,"Total":0}
引用次数: 0

Abstract

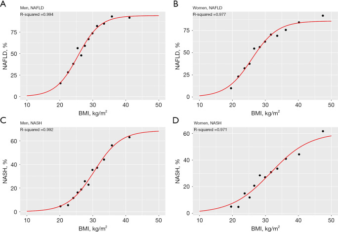
Background: At present, there is a dearth of comprehensive data at the global, national, and regional levels regarding the adult non-alcoholic fatty liver disease (NAFLD) prevalence. This cross-sectional study aims at ascertaining the prevalence of NAFLD and non-alcoholic steatohepatitis (NASH), utilizing body mass index (BMI) as a determining factor.

Methods: Based on the NHANES database, sigmoidal fitting curves were generated to establish the relationship between BMI and the risk of NAFLD/NASH. Utilizing BMI data from the NCD Risk Factor Collaboration (NCD-RisC) database at both global and regional levels, the prevalence of NAFLD/NASH among adults was estimated from 1975 to 2016, encompassing global, regional, and national perspectives. Additionally, projections were made to forecast the prevalence of adult NAFLD/NASH from 2017 to 2030.

Results: In 2016, the global prevalence of NAFLD was 41.12% for males and 37.32% for females, while the global prevalence of NASH was 15.79% for males and 16.48% for females. The prevalence of NAFLD/NASH increased with higher BMI in both genders. Over the period from 1975 to 2016, there has been a gradual increase in the global prevalence of NAFLD/NASH in adults, and this trend is expected to continue between 2017 and 2030. In males, the prevalence of adult NAFLD/NASH was found to be highest in High-income Western countries, while it was highest in Central Asia, Middle East, and North African countries after 1995.

Conclusions: The prevalence of adult NAFLD/NASH has been observed to increase annually, with significant variations in burden across different countries and regions.

Abstract Image

Abstract Image

Abstract Image

过去几十年来,成人非酒精性脂肪肝(NAFLD)和非酒精性脂肪性肝炎(NASH)的全球负担一直在稳步上升,预计未来仍将持续。
背景:目前,全球、国家和地区层面有关成人非酒精性脂肪肝(NAFLD)患病率的综合数据十分匮乏。这项横断面研究旨在确定非酒精性脂肪肝和非酒精性脂肪性肝炎(NASH)的患病率,并将体重指数(BMI)作为决定因素:方法:以 NHANES 数据库为基础,生成曲线拟合曲线,以确定体重指数与非酒精性脂肪肝/NASH 风险之间的关系。利用非传染性疾病风险因素合作(NCD-RisC)数据库中全球和地区层面的体重指数数据,从全球、地区和国家的角度估算了 1975 年至 2016 年成人非酒精性脂肪肝/NASH 的患病率。此外,还对2017年至2030年成人非酒精性脂肪肝/NASH的患病率进行了预测:2016年,非酒精性脂肪肝的全球患病率男性为41.12%,女性为37.32%,而NASH的全球患病率男性为15.79%,女性为16.48%。非酒精性脂肪肝/NASH的患病率随着体重指数的升高而增加。1975年至2016年期间,全球成人非酒精性脂肪肝/NASH患病率逐渐上升,预计这一趋势在2017年至2030年期间仍将持续。在男性中,西方高收入国家的成人非酒精性脂肪肝/NASH患病率最高,而中亚、中东和北非国家在1995年后患病率最高:结论:据观察,成人非酒精性脂肪肝/NASH 的患病率呈逐年上升趋势,不同国家和地区的负担差异显著。
本文章由计算机程序翻译,如有差异,请以英文原文为准。
求助全文
约1分钟内获得全文 求助全文
来源期刊
自引率
0.00%
发文量
0
×
引用
GB/T 7714-2015
复制
MLA
复制
APA
复制
导出至
BibTeX EndNote RefMan NoteFirst NoteExpress
×
提示
您的信息不完整,为了账户安全,请先补充。
现在去补充
×
提示
您因"违规操作"
具体请查看互助需知
我知道了
×
提示
确定
请完成安全验证×
copy
已复制链接
快去分享给好友吧!
我知道了
右上角分享
点击右上角分享
0
联系我们:info@booksci.cn Book学术提供免费学术资源搜索服务,方便国内外学者检索中英文文献。致力于提供最便捷和优质的服务体验。 Copyright © 2023 布克学术 All rights reserved.
京ICP备2023020795号-1
ghs 京公网安备 11010802042870号
Book学术文献互助
Book学术文献互助群
群 号:604180095
Book学术官方微信