Characterization of Turbo, a TLR Ligand-based Adjuvant for Glycoconjugate Vaccines.

Q3 Medicine
Kishore R Alugupalli
{"title":"Characterization of Turbo, a TLR Ligand-based Adjuvant for Glycoconjugate Vaccines.","authors":"Kishore R Alugupalli","doi":"10.4049/immunohorizons.2400040","DOIUrl":null,"url":null,"abstract":"<p><p>Many bacterial polysaccharide vaccines, including the typhoid Vi polysaccharide (ViPS) and tetravalent meningococcal polysaccharide conjugate (MCV4) vaccines, do not incorporate adjuvants and are not highly immunogenic, particularly in infants. I found that endotoxin, a TLR4 ligand in ViPS, contributes to the immunogenicity of typhoid vaccines. Because endotoxin is pyrogenic, and its levels are highly variable in vaccines, I developed monophosphoryl lipid A, a nontoxic TLR4 ligand-based adjuvant named Turbo. Admixing Turbo with ViPS and MCV4 vaccines improved their immunogenicity across all ages and eliminated booster requirement. To understand the characteristics of this adjuvanticity, I compared Turbo with alum. Unlike alum, which polarizes the response toward the IgG1 isotype, Turbo promoted Ab class switching to all IgG isotypes with affinity maturation; the magnitude of this IgG response is durable and accompanied by the presence of long-lived plasma cells in the mouse bone marrow. In striking contrast with the pathways employed by alum, Turbo adjuvanticity is independent of NLPR3, pyroptotic cell death effector Gasdermin D, and canonical and noncanonical inflammasome activation mediated by Caspase-1 and Caspase-11, respectively. Turbo adjuvanticity is primarily dependent on the MyD88 axis and is lost in mice deficient in costimulatory molecules CD86 and CD40, indicating that Turbo adjuvanticity includes activation of these pathways. Because Turbo formulations containing either monophosphoryl lipid A or TLR2 ligands, Pam2CysSerLys4, and Pam3CysSerLys4 help generate Ab response of all IgG isotypes, as an adjuvant Turbo can improve the immunogenicity of glycoconjugate vaccines against a wide range of bacterial pathogens whose elimination requires appropriate IgG isotypes.</p>","PeriodicalId":94037,"journal":{"name":"ImmunoHorizons","volume":"8 8","pages":"527-537"},"PeriodicalIF":0.0000,"publicationDate":"2024-08-01","publicationTypes":"Journal Article","fieldsOfStudy":null,"isOpenAccess":false,"openAccessPdf":"https://www.ncbi.nlm.nih.gov/pmc/articles/PMC11374753/pdf/","citationCount":"0","resultStr":null,"platform":"Semanticscholar","paperid":null,"PeriodicalName":"ImmunoHorizons","FirstCategoryId":"1085","ListUrlMain":"https://doi.org/10.4049/immunohorizons.2400040","RegionNum":0,"RegionCategory":null,"ArticlePicture":[],"TitleCN":null,"AbstractTextCN":null,"PMCID":null,"EPubDate":"","PubModel":"","JCR":"Q3","JCRName":"Medicine","Score":null,"Total":0}
引用次数: 0

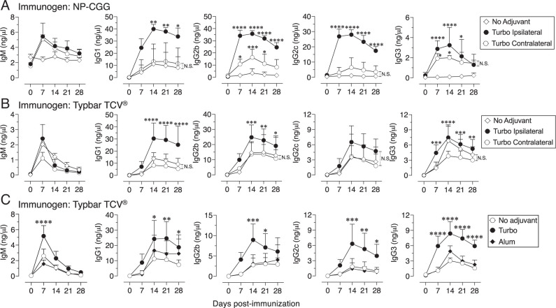
Abstract

Many bacterial polysaccharide vaccines, including the typhoid Vi polysaccharide (ViPS) and tetravalent meningococcal polysaccharide conjugate (MCV4) vaccines, do not incorporate adjuvants and are not highly immunogenic, particularly in infants. I found that endotoxin, a TLR4 ligand in ViPS, contributes to the immunogenicity of typhoid vaccines. Because endotoxin is pyrogenic, and its levels are highly variable in vaccines, I developed monophosphoryl lipid A, a nontoxic TLR4 ligand-based adjuvant named Turbo. Admixing Turbo with ViPS and MCV4 vaccines improved their immunogenicity across all ages and eliminated booster requirement. To understand the characteristics of this adjuvanticity, I compared Turbo with alum. Unlike alum, which polarizes the response toward the IgG1 isotype, Turbo promoted Ab class switching to all IgG isotypes with affinity maturation; the magnitude of this IgG response is durable and accompanied by the presence of long-lived plasma cells in the mouse bone marrow. In striking contrast with the pathways employed by alum, Turbo adjuvanticity is independent of NLPR3, pyroptotic cell death effector Gasdermin D, and canonical and noncanonical inflammasome activation mediated by Caspase-1 and Caspase-11, respectively. Turbo adjuvanticity is primarily dependent on the MyD88 axis and is lost in mice deficient in costimulatory molecules CD86 and CD40, indicating that Turbo adjuvanticity includes activation of these pathways. Because Turbo formulations containing either monophosphoryl lipid A or TLR2 ligands, Pam2CysSerLys4, and Pam3CysSerLys4 help generate Ab response of all IgG isotypes, as an adjuvant Turbo can improve the immunogenicity of glycoconjugate vaccines against a wide range of bacterial pathogens whose elimination requires appropriate IgG isotypes.

Abstract Image

Abstract Image

Abstract Image

基于 TLR 配体的糖结合疫苗佐剂 Turbo 的特性。
许多细菌多糖疫苗,包括伤寒 Vi 多糖 (ViPS) 和四价脑膜炎球菌多糖结合疫苗 (MCV4),没有加入佐剂,免疫原性不高,尤其是对婴儿而言。我发现,ViPS 中的 TLR4 配体--内毒素有助于提高伤寒疫苗的免疫原性。由于内毒素具有热原性,而且其在疫苗中的含量变化很大,因此我开发了单磷脂 A,这是一种基于 TLR4 配体的无毒佐剂,名为 Turbo。将 Turbo 与 ViPS 和 MCV4 疫苗混合可提高各年龄段疫苗的免疫原性,并且无需加强免疫。为了了解这种佐剂的特性,我将 Turbo 与明矾进行了比较。明矾能将反应极化为 IgG1 同种型,而 Turbo 则不同,它能促进抗体类别转换为所有 IgG 同种型的亲和力成熟;这种 IgG 反应的程度是持久的,并伴随着小鼠骨髓中长期存在的浆细胞。与明矾所采用的途径形成鲜明对比的是,特步佐剂不依赖于 NLPR3、热变态细胞死亡效应因子 Gasdermin D 以及分别由 Caspase-1 和 Caspase-11 介导的规范和非规范炎性体激活。Turbo 佐剂性主要依赖于 MyD88 轴,在缺乏成本刺激分子 CD86 和 CD40 的小鼠中会消失,这表明 Turbo 佐剂性包括激活这些途径。由于含有单磷脂 A 或 TLR2 配体、Pam2CysSerLys4 和 Pam3CysSerLys4 的 Turbo 配方有助于产生所有 IgG 同种型的 Ab 反应,因此作为一种佐剂,Turbo 可以提高糖结合疫苗的免疫原性,以对付需要适当 IgG 同种型才能消灭的各种细菌病原体。
本文章由计算机程序翻译,如有差异,请以英文原文为准。
求助全文
约1分钟内获得全文 求助全文
来源期刊
CiteScore
3.70
自引率
0.00%
发文量
0
审稿时长
4 weeks
×
引用
GB/T 7714-2015
复制
MLA
复制
APA
复制
导出至
BibTeX EndNote RefMan NoteFirst NoteExpress
×
提示
您的信息不完整,为了账户安全,请先补充。
现在去补充
×
提示
您因"违规操作"
具体请查看互助需知
我知道了
×
提示
确定
请完成安全验证×
copy
已复制链接
快去分享给好友吧!
我知道了
右上角分享
点击右上角分享
0
联系我们:info@booksci.cn Book学术提供免费学术资源搜索服务,方便国内外学者检索中英文文献。致力于提供最便捷和优质的服务体验。 Copyright © 2023 布克学术 All rights reserved.
京ICP备2023020795号-1
ghs 京公网安备 11010802042870号
Book学术文献互助
Book学术文献互助群
群 号:604180095
Book学术官方微信