Impact of lactoferrin supplementation on cotrimoxazole pharmacokinetics: A preliminary clinical investigation.

IF 4.3 Q2 CHEMISTRY, MEDICINAL
ADMET and DMPK Pub Date : 2024-06-27 eCollection Date: 2024-01-01 DOI:10.5599/admet.2358
Dion Notario, Angela Marietha Munzir, Yulina Novella, Linawati Hananta
{"title":"Impact of lactoferrin supplementation on cotrimoxazole pharmacokinetics: A preliminary clinical investigation.","authors":"Dion Notario, Angela Marietha Munzir, Yulina Novella, Linawati Hananta","doi":"10.5599/admet.2358","DOIUrl":null,"url":null,"abstract":"<p><strong>Background and purpose: </strong>Cotrimoxazole, a commonly prescribed antibiotic, has substantial resistance, especially in Indonesia, with its uropathogenic resistance reaching 67% in 2017. Although cotrimoxazole has been suggested to be co-administered with lactoferrin to enhance its antibacterial effectiveness and this practice has been widely adopted since the Covid-19 pandemic, the impact of lactoferrin on the pharmacokinetics of cotrimoxazole remains relatively unknown. This study aims to conduct a preliminary clinical investigation into the impact of lactoferrin supplementation on the pharmacokinetics of cotrimoxazole, focusing on the elimination rate and excretion of unchanged drug in urine.</p><p><strong>Experimental approach: </strong>This study employed a blinded, cross-over, single-dose pharmacokinetics investigation, which included five healthy volunteers as participants. In the initial period, the first group received cotrimoxazole (80 mg trimethoprim and 400 mg sulfamethoxazole) along with a lactoferrin-containing supplement, while the second group only received cotrimoxazole. Subsequently, after a washout period, the conditions were reversed. Urine sampling was conducted at intervals from 0 to 24 hours post-medication, and drug levels in the urine were determined using high-performance liquid chromatography.</p><p><strong>Key results: </strong>The population-based pharmacokinetic analysis revealed that the optimal model was the one-compartment model with first-order elimination and proportional residual error.</p><p><strong>Conclusion: </strong>The findings show that the administration of lactoferrin-containing supplements did not significantly influence the covariate model and, therefore, did not alter the pharmacokinetics parameter of cotrimoxazole in urine with a single administration, implying that lactoferrin did not cause drug interaction problems when given simultaneously.</p>","PeriodicalId":7259,"journal":{"name":"ADMET and DMPK","volume":"12 3","pages":"543-551"},"PeriodicalIF":4.3000,"publicationDate":"2024-06-27","publicationTypes":"Journal Article","fieldsOfStudy":null,"isOpenAccess":false,"openAccessPdf":"https://www.ncbi.nlm.nih.gov/pmc/articles/PMC11289514/pdf/","citationCount":"0","resultStr":null,"platform":"Semanticscholar","paperid":null,"PeriodicalName":"ADMET and DMPK","FirstCategoryId":"1085","ListUrlMain":"https://doi.org/10.5599/admet.2358","RegionNum":0,"RegionCategory":null,"ArticlePicture":[],"TitleCN":null,"AbstractTextCN":null,"PMCID":null,"EPubDate":"2024/1/1 0:00:00","PubModel":"eCollection","JCR":"Q2","JCRName":"CHEMISTRY, MEDICINAL","Score":null,"Total":0}
引用次数: 0

Abstract

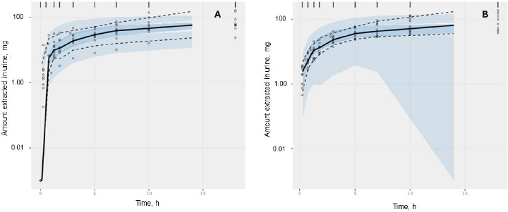
Background and purpose: Cotrimoxazole, a commonly prescribed antibiotic, has substantial resistance, especially in Indonesia, with its uropathogenic resistance reaching 67% in 2017. Although cotrimoxazole has been suggested to be co-administered with lactoferrin to enhance its antibacterial effectiveness and this practice has been widely adopted since the Covid-19 pandemic, the impact of lactoferrin on the pharmacokinetics of cotrimoxazole remains relatively unknown. This study aims to conduct a preliminary clinical investigation into the impact of lactoferrin supplementation on the pharmacokinetics of cotrimoxazole, focusing on the elimination rate and excretion of unchanged drug in urine.

Experimental approach: This study employed a blinded, cross-over, single-dose pharmacokinetics investigation, which included five healthy volunteers as participants. In the initial period, the first group received cotrimoxazole (80 mg trimethoprim and 400 mg sulfamethoxazole) along with a lactoferrin-containing supplement, while the second group only received cotrimoxazole. Subsequently, after a washout period, the conditions were reversed. Urine sampling was conducted at intervals from 0 to 24 hours post-medication, and drug levels in the urine were determined using high-performance liquid chromatography.

Key results: The population-based pharmacokinetic analysis revealed that the optimal model was the one-compartment model with first-order elimination and proportional residual error.

Conclusion: The findings show that the administration of lactoferrin-containing supplements did not significantly influence the covariate model and, therefore, did not alter the pharmacokinetics parameter of cotrimoxazole in urine with a single administration, implying that lactoferrin did not cause drug interaction problems when given simultaneously.

Abstract Image

Abstract Image

Abstract Image

补充乳铁蛋白对复方新诺明药代动力学的影响:初步临床研究。
背景和目的:复方新诺明是一种常用处方抗生素,但其耐药性很强,尤其是在印度尼西亚,2017年其尿路病原体耐药性达到67%。尽管有人建议复方新诺明与乳铁蛋白合用以增强其抗菌效果,而且自Covid-19大流行以来,这种做法已被广泛采用,但乳铁蛋白对复方新诺明药代动力学的影响仍相对未知。本研究旨在对补充乳铁蛋白对复方新诺明药代动力学的影响进行初步临床研究,重点关注消除率和尿液中未改变药物的排泄:实验方法:本研究采用盲法、交叉法、单剂量药代动力学研究,参与者包括五名健康志愿者。在初始阶段,第一组接受复方新诺明(80 毫克三甲双胍和 400 毫克磺胺甲噁唑)和含乳铁蛋白的补充剂,第二组只接受复方新诺明。随后,经过一段冲洗期后,条件颠倒过来。在用药后的 0 至 24 小时内采集尿液样本,并使用高效液相色谱法测定尿液中的药物含量:主要结果:基于人群的药代动力学分析表明,最佳模型是具有一阶消除和比例残余误差的单室模型:结论:研究结果表明,服用含乳铁蛋白的补充剂不会对协变量模型产生显著影响,因此,单次服用乳铁蛋白不会改变尿液中复方新诺明的药代动力学参数,这意味着同时服用乳铁蛋白不会引起药物相互作用问题。
本文章由计算机程序翻译,如有差异,请以英文原文为准。
求助全文
约1分钟内获得全文 求助全文
来源期刊
ADMET and DMPK
ADMET and DMPK Multiple-
CiteScore
4.40
自引率
0.00%
发文量
22
审稿时长
4 weeks
期刊介绍: ADMET and DMPK is an open access journal devoted to the rapid dissemination of new and original scientific results in all areas of absorption, distribution, metabolism, excretion, toxicology and pharmacokinetics of drugs. ADMET and DMPK publishes the following types of contributions: - Original research papers - Feature articles - Review articles - Short communications and Notes - Letters to Editors - Book reviews The scope of the Journal involves, but is not limited to, the following areas: - physico-chemical properties of drugs and methods of their determination - drug permeabilities - drug absorption - drug-drug, drug-protein, drug-membrane and drug-DNA interactions - chemical stability and degradations of drugs - instrumental methods in ADMET - drug metablic processes - routes of administration and excretion of drug - pharmacokinetic/pharmacodynamic study - quantitative structure activity/property relationship - ADME/PK modelling - Toxicology screening - Transporter identification and study
×
引用
GB/T 7714-2015
复制
MLA
复制
APA
复制
导出至
BibTeX EndNote RefMan NoteFirst NoteExpress
×
提示
您的信息不完整,为了账户安全,请先补充。
现在去补充
×
提示
您因"违规操作"
具体请查看互助需知
我知道了
×
提示
确定
请完成安全验证×
copy
已复制链接
快去分享给好友吧!
我知道了
右上角分享
点击右上角分享
0
联系我们:info@booksci.cn Book学术提供免费学术资源搜索服务,方便国内外学者检索中英文文献。致力于提供最便捷和优质的服务体验。 Copyright © 2023 布克学术 All rights reserved.
京ICP备2023020795号-1
ghs 京公网安备 11010802042870号
Book学术文献互助
Book学术文献互助群
群 号:604180095
Book学术官方微信