Fast and simple voltammetric sensing of avanafil in the pharmaceutical formulation by using unmodified boron-doped diamond electrode.

IF 4.3 Q2 CHEMISTRY, MEDICINAL
ADMET and DMPK Pub Date : 2024-06-27 eCollection Date: 2024-01-01 DOI:10.5599/admet.2357
Hoshyar Saadi Ali, Hemn A H Barzani, Yavuz Yardım
{"title":"Fast and simple voltammetric sensing of avanafil in the pharmaceutical formulation by using unmodified boron-doped diamond electrode.","authors":"Hoshyar Saadi Ali, Hemn A H Barzani, Yavuz Yardım","doi":"10.5599/admet.2357","DOIUrl":null,"url":null,"abstract":"<p><strong>Background and purpose: </strong>Erectile dysfunction is a common issue among adult males involving difficulty in maintaining an erection, and it is often treated with fast-acting, low-side-effect drugs like avanafil (AVN), among other phosphodiesterase-5 inhibitors. Hence, developing fast, simple, and sensitive methods to detect AVN is crucial.</p><p><strong>Experimental approach: </strong>This study conducts an electroanalytical inquiry and provides a new voltammetric method for accurately analyzing AVN utilizing a boron-doped diamond (BDD) electrode without any modifications.</p><p><strong>Key results: </strong>In the Britton-Robinson buffer (BR, 0.04 mol L<sup>-1</sup>, pH 4.0), cyclic voltammetry showed a clearly defined and irreversible anodic peak at around +1.44 V relative to Ag/AgCl. The pH of the solution was shown to have an impact on the voltammetric signals of the oxidation peaks. A good linear response for AVN quantification was achieved using square-wave voltammetry. This was done in a 0.04 mol L-1 BR (pH 4.0) solution at a potential of +1.33 V (<i>vs.</i> Ag/AgCl). The method exhibited a wide dynamic range of 0.5 to 30.0 μg mL<sup>-1</sup> (1.0 to 62 μmol L<sup>-1</sup>) and a low limit of detection of 0.14 μg mL<sup>-1</sup> (0.29 μmol L<sup>-1</sup>). The method proposed demonstrated suitability for determining AVN content in pharmaceutical formulations. The accuracy of the approach was demonstrated by comparing the results obtained using the developed method with those achieved using the UV-Vis spectrometry method.</p><p><strong>Conclusion: </strong>Our method simplifies the analytical process by eliminating the need for electrode modification, reducing both time and resource requirements while enhancing overall feasibility.</p>","PeriodicalId":7259,"journal":{"name":"ADMET and DMPK","volume":"12 3","pages":"529-542"},"PeriodicalIF":4.3000,"publicationDate":"2024-06-27","publicationTypes":"Journal Article","fieldsOfStudy":null,"isOpenAccess":false,"openAccessPdf":"https://www.ncbi.nlm.nih.gov/pmc/articles/PMC11289509/pdf/","citationCount":"0","resultStr":null,"platform":"Semanticscholar","paperid":null,"PeriodicalName":"ADMET and DMPK","FirstCategoryId":"1085","ListUrlMain":"https://doi.org/10.5599/admet.2357","RegionNum":0,"RegionCategory":null,"ArticlePicture":[],"TitleCN":null,"AbstractTextCN":null,"PMCID":null,"EPubDate":"2024/1/1 0:00:00","PubModel":"eCollection","JCR":"Q2","JCRName":"CHEMISTRY, MEDICINAL","Score":null,"Total":0}
引用次数: 0

Abstract

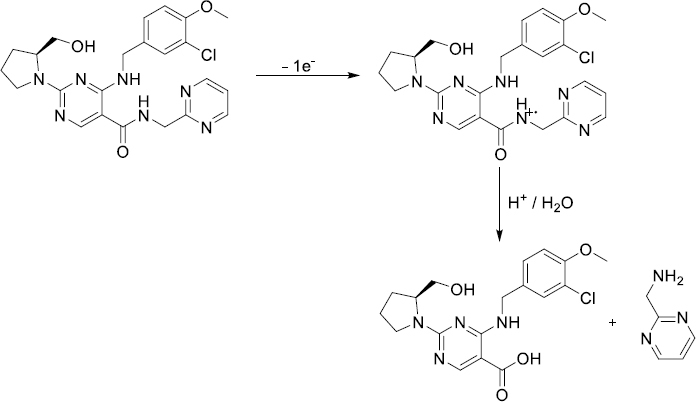
Background and purpose: Erectile dysfunction is a common issue among adult males involving difficulty in maintaining an erection, and it is often treated with fast-acting, low-side-effect drugs like avanafil (AVN), among other phosphodiesterase-5 inhibitors. Hence, developing fast, simple, and sensitive methods to detect AVN is crucial.

Experimental approach: This study conducts an electroanalytical inquiry and provides a new voltammetric method for accurately analyzing AVN utilizing a boron-doped diamond (BDD) electrode without any modifications.

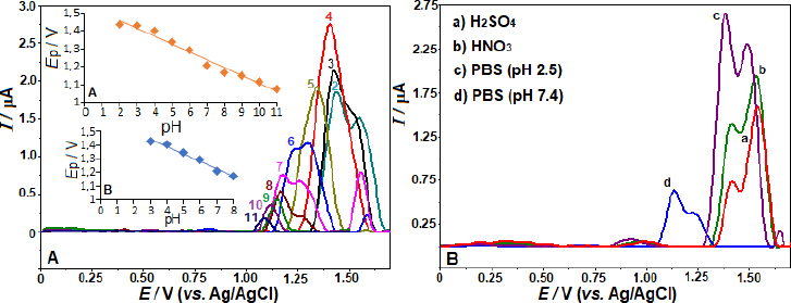
Key results: In the Britton-Robinson buffer (BR, 0.04 mol L-1, pH 4.0), cyclic voltammetry showed a clearly defined and irreversible anodic peak at around +1.44 V relative to Ag/AgCl. The pH of the solution was shown to have an impact on the voltammetric signals of the oxidation peaks. A good linear response for AVN quantification was achieved using square-wave voltammetry. This was done in a 0.04 mol L-1 BR (pH 4.0) solution at a potential of +1.33 V (vs. Ag/AgCl). The method exhibited a wide dynamic range of 0.5 to 30.0 μg mL-1 (1.0 to 62 μmol L-1) and a low limit of detection of 0.14 μg mL-1 (0.29 μmol L-1). The method proposed demonstrated suitability for determining AVN content in pharmaceutical formulations. The accuracy of the approach was demonstrated by comparing the results obtained using the developed method with those achieved using the UV-Vis spectrometry method.

Conclusion: Our method simplifies the analytical process by eliminating the need for electrode modification, reducing both time and resource requirements while enhancing overall feasibility.

Abstract Image

Abstract Image

Abstract Image

使用未修饰的掺硼金刚石电极对药物制剂中的阿伐那非进行快速、简单的伏安检测。
背景和目的:勃起功能障碍是成年男性中常见的问题,患者难以维持勃起,通常使用阿伐那非(AVN)等起效快、副作用小的药物以及其他磷酸二酯酶-5抑制剂来治疗。因此,开发快速、简单、灵敏的方法来检测 AVN 至关重要:实验方法:本研究进行了电分析探究,并提供了一种新的伏安法,利用掺硼金刚石(BDD)电极在不做任何改动的情况下准确分析 AVN:在布里顿-罗宾逊缓冲液(BR,0.04 mol L-1,pH 值为 4.0)中,循环伏安法显示出一个清晰的不可逆阳极峰,相对于 Ag/AgCl 的电压约为 +1.44 V。溶液的 pH 值对氧化峰的伏安信号有影响。使用方波伏安法对 AVN 定量实现了良好的线性响应。该方法在 0.04 mol L-1 BR(pH 4.0)溶液中进行,电位为 +1.33 V(相对于 Ag/AgCl)。该方法的动态范围宽,为 0.5 至 30.0 μg mL-1 (1.0 至 62 μmol L-1),检出限低,为 0.14 μg mL-1 (0.29 μmol L-1)。所提出的方法证明适用于测定药物制剂中的 AVN 含量。通过比较使用该方法和使用紫外可见光谱法得出的结果,证明了该方法的准确性:我们的方法无需对电极进行改性,从而简化了分析过程,减少了时间和资源需求,同时提高了整体可行性。
本文章由计算机程序翻译,如有差异,请以英文原文为准。
求助全文
约1分钟内获得全文 求助全文
来源期刊
ADMET and DMPK
ADMET and DMPK Multiple-
CiteScore
4.40
自引率
0.00%
发文量
22
审稿时长
4 weeks
期刊介绍: ADMET and DMPK is an open access journal devoted to the rapid dissemination of new and original scientific results in all areas of absorption, distribution, metabolism, excretion, toxicology and pharmacokinetics of drugs. ADMET and DMPK publishes the following types of contributions: - Original research papers - Feature articles - Review articles - Short communications and Notes - Letters to Editors - Book reviews The scope of the Journal involves, but is not limited to, the following areas: - physico-chemical properties of drugs and methods of their determination - drug permeabilities - drug absorption - drug-drug, drug-protein, drug-membrane and drug-DNA interactions - chemical stability and degradations of drugs - instrumental methods in ADMET - drug metablic processes - routes of administration and excretion of drug - pharmacokinetic/pharmacodynamic study - quantitative structure activity/property relationship - ADME/PK modelling - Toxicology screening - Transporter identification and study
×
引用
GB/T 7714-2015
复制
MLA
复制
APA
复制
导出至
BibTeX EndNote RefMan NoteFirst NoteExpress
×
提示
您的信息不完整,为了账户安全,请先补充。
现在去补充
×
提示
您因"违规操作"
具体请查看互助需知
我知道了
×
提示
确定
请完成安全验证×
copy
已复制链接
快去分享给好友吧!
我知道了
右上角分享
点击右上角分享
0
联系我们:info@booksci.cn Book学术提供免费学术资源搜索服务,方便国内外学者检索中英文文献。致力于提供最便捷和优质的服务体验。 Copyright © 2023 布克学术 All rights reserved.
京ICP备2023020795号-1
ghs 京公网安备 11010802042870号
Book学术文献互助
Book学术文献互助群
群 号:604180095
Book学术官方微信