Long-Term Treatment with Bulevirtide in Patients with Chronic Hepatitis D and Advanced Chronic Liver Disease.

IF 2.3 4区 医学 Q2 Medicine
Canadian Journal of Gastroenterology and Hepatology Pub Date : 2024-07-23 eCollection Date: 2024-01-01 DOI:10.1155/2024/2364031
Ayaz Sapuk, Leonie Steinhoff, Kristin Huenninghaus, Katharina Willuweit, Jassin Rashidi Alavijeh, Benedikt Hild, Lucia Asar, Hartmut H Schmidt, Christoph Schramm
{"title":"Long-Term Treatment with Bulevirtide in Patients with Chronic Hepatitis D and Advanced Chronic Liver Disease.","authors":"Ayaz Sapuk, Leonie Steinhoff, Kristin Huenninghaus, Katharina Willuweit, Jassin Rashidi Alavijeh, Benedikt Hild, Lucia Asar, Hartmut H Schmidt, Christoph Schramm","doi":"10.1155/2024/2364031","DOIUrl":null,"url":null,"abstract":"<p><p>Bulevirtide (BLV) is approved for the treatment of chronic hepatitis D (CHD). Because only limited long-term experience has been reported, we aimed to evaluate the efficacy and safety of BLV treatment in patients with advanced chronic liver disease (ACLD). We performed a retrospective analysis of patients with CHD who received BLV 2 mg/day for >12 months at a tertiary center. Virological response (VR) was defined as a reduction in hepatitis delta virus-ribonucleic acid (HDV-RNA) ≥2 log<sub>10</sub> from baseline or HDV-RNA negativity and biochemical response (BR) as gender-specific normalization of transaminases. We identified 14 patients (9 men, 5 women; median age of 48 years; interquartile range (IQR) of 37-55), of whom 12 (86%) had suggested or assumed ACLD according to Baveno VI criteria. The median duration of BLV treatment was 26 months (IQR 17-27). During treatment, the mean HDV-RNA level decreased from log<sub>10</sub> 5.58 IU/ml to levels between log<sub>10</sub> 2.19 IU/ml and log<sub>10</sub> 3.19 IU/ml. HDV-RNA negativity was achieved in up to 63% after 24 months. VR and BR were 86% and 43% after 12 months, 90% and 60% after 18 months, 75% and 75% after 24 months, and 100% and 50% after 30 months, respectively. Two nonpersisting viral breakthroughs were observed after 24 months of treatment. The Child Pugh score and model of end-stage liver disease (MELD) scores remained stable or improved in 12 patients (86%). Only one patient developed hepatic decompensation after 24 months of treatment with ascites requiring large-volume paracentesis which was not associated with viral breakthrough, portal vein thrombosis, or hepatocellular carcinoma. Treatment with BLV beyond one year is effective and safe for patients with CHD and ACLD. Liver function remained stable or improved during treatment in the vast majority of patients, and only one case of hepatic decompensation occurred during a median follow-up of 26 months.</p>","PeriodicalId":48755,"journal":{"name":"Canadian Journal of Gastroenterology and Hepatology","volume":"2024 ","pages":"2364031"},"PeriodicalIF":2.3000,"publicationDate":"2024-07-23","publicationTypes":"Journal Article","fieldsOfStudy":null,"isOpenAccess":false,"openAccessPdf":"https://www.ncbi.nlm.nih.gov/pmc/articles/PMC11288691/pdf/","citationCount":"0","resultStr":null,"platform":"Semanticscholar","paperid":null,"PeriodicalName":"Canadian Journal of Gastroenterology and Hepatology","FirstCategoryId":"3","ListUrlMain":"https://doi.org/10.1155/2024/2364031","RegionNum":4,"RegionCategory":"医学","ArticlePicture":[],"TitleCN":null,"AbstractTextCN":null,"PMCID":null,"EPubDate":"2024/1/1 0:00:00","PubModel":"eCollection","JCR":"Q2","JCRName":"Medicine","Score":null,"Total":0}
引用次数: 0

Abstract

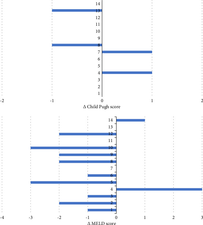
Bulevirtide (BLV) is approved for the treatment of chronic hepatitis D (CHD). Because only limited long-term experience has been reported, we aimed to evaluate the efficacy and safety of BLV treatment in patients with advanced chronic liver disease (ACLD). We performed a retrospective analysis of patients with CHD who received BLV 2 mg/day for >12 months at a tertiary center. Virological response (VR) was defined as a reduction in hepatitis delta virus-ribonucleic acid (HDV-RNA) ≥2 log10 from baseline or HDV-RNA negativity and biochemical response (BR) as gender-specific normalization of transaminases. We identified 14 patients (9 men, 5 women; median age of 48 years; interquartile range (IQR) of 37-55), of whom 12 (86%) had suggested or assumed ACLD according to Baveno VI criteria. The median duration of BLV treatment was 26 months (IQR 17-27). During treatment, the mean HDV-RNA level decreased from log10 5.58 IU/ml to levels between log10 2.19 IU/ml and log10 3.19 IU/ml. HDV-RNA negativity was achieved in up to 63% after 24 months. VR and BR were 86% and 43% after 12 months, 90% and 60% after 18 months, 75% and 75% after 24 months, and 100% and 50% after 30 months, respectively. Two nonpersisting viral breakthroughs were observed after 24 months of treatment. The Child Pugh score and model of end-stage liver disease (MELD) scores remained stable or improved in 12 patients (86%). Only one patient developed hepatic decompensation after 24 months of treatment with ascites requiring large-volume paracentesis which was not associated with viral breakthrough, portal vein thrombosis, or hepatocellular carcinoma. Treatment with BLV beyond one year is effective and safe for patients with CHD and ACLD. Liver function remained stable or improved during treatment in the vast majority of patients, and only one case of hepatic decompensation occurred during a median follow-up of 26 months.

Abstract Image

Abstract Image

Abstract Image

慢性 D 型肝炎和晚期慢性肝病患者长期使用布来韦肽治疗。
布来韦肽(BLV)被批准用于治疗慢性丁型肝炎(CHD)。由于仅有有限的长期经验报道,我们旨在评估 BLV 治疗晚期慢性肝病 (ACLD) 患者的疗效和安全性。我们对在一家三级中心接受 BLV 2 mg/天治疗超过 12 个月的 CHD 患者进行了回顾性分析。病毒学应答(VR)定义为肝炎病毒核糖核酸(HDV-RNA)比基线降低≥2 log10或 HDV-RNA 阴性,生化应答(BR)定义为转氨酶正常化的性别特异性。我们确定了 14 名患者(9 名男性,5 名女性;中位年龄为 48 岁;四分位数间距 (IQR) 为 37-55),其中 12 人(86%)根据 Baveno VI 标准提示或假定患有 ACLD。BLV治疗的中位持续时间为26个月(IQR为17-27)。治疗期间,HDV-RNA 的平均水平从 log10 5.58 IU/ml 降至 log10 2.19 IU/ml 至 log10 3.19 IU/ml 之间。24 个月后,HDV-RNA 阴性率高达 63%。12个月后VR和BR分别为86%和43%,18个月后分别为90%和60%,24个月后分别为75%和75%,30个月后分别为100%和50%。治疗 24 个月后观察到两次非持续性病毒突破。12 名患者(86%)的 Child Pugh 评分和终末期肝病模型(MELD)评分保持稳定或有所改善。只有一名患者在治疗 24 个月后出现肝功能失代偿,并伴有腹水,需要进行大容量腹腔穿刺术,这与病毒突破、门静脉血栓或肝细胞癌无关。对患有心脏病和 ACLD 的患者来说,BLV 一年以上的治疗是有效和安全的。绝大多数患者的肝功能在治疗期间保持稳定或有所改善,在中位随访 26 个月期间仅有一例出现肝功能失代偿。
本文章由计算机程序翻译,如有差异,请以英文原文为准。
求助全文
约1分钟内获得全文 求助全文
来源期刊
CiteScore
4.80
自引率
0.00%
发文量
0
审稿时长
37 weeks
期刊介绍: Canadian Journal of Gastroenterology and Hepatology is a peer-reviewed, open access journal that publishes original research articles, review articles, and clinical studies in all areas of gastroenterology and liver disease - medicine and surgery. The Canadian Journal of Gastroenterology and Hepatology is sponsored by the Canadian Association of Gastroenterology and the Canadian Association for the Study of the Liver.
×
引用
GB/T 7714-2015
复制
MLA
复制
APA
复制
导出至
BibTeX EndNote RefMan NoteFirst NoteExpress
×
提示
您的信息不完整,为了账户安全,请先补充。
现在去补充
×
提示
您因"违规操作"
具体请查看互助需知
我知道了
×
提示
确定
请完成安全验证×
copy
已复制链接
快去分享给好友吧!
我知道了
右上角分享
点击右上角分享
0
联系我们:info@booksci.cn Book学术提供免费学术资源搜索服务,方便国内外学者检索中英文文献。致力于提供最便捷和优质的服务体验。 Copyright © 2023 布克学术 All rights reserved.
京ICP备2023020795号-1
ghs 京公网安备 11010802042870号
Book学术文献互助
Book学术文献互助群
群 号:604180095
Book学术官方微信