Evaluation of a child abuse prevention program for unmarried mothers in South Korea: a single-case experimental design.

Q3 Medicine
Child Health Nursing Research Pub Date : 2024-07-01 Epub Date: 2024-07-31 DOI:10.4094/chnr.2024.018
Il Tae Park, Won-Oak Oh
{"title":"Evaluation of a child abuse prevention program for unmarried mothers in South Korea: a single-case experimental design.","authors":"Il Tae Park, Won-Oak Oh","doi":"10.4094/chnr.2024.018","DOIUrl":null,"url":null,"abstract":"<p><strong>Purpose: </strong>The purpose of this study is to apply and evaluate the effectiveness of a child abuse prevention program based on the Nursing Model of Resilience and Coping Skills Training Model for unmarried mothers during pregnancy and puerperium.</p><p><strong>Methods: </strong>This study had a prospective single-case, AB design with four repeated self-questionnaire measures and three observational measures. Seven unmarried mothers were provided with 10 sessions child abuse prevention program through individual visits from 32 to 34 weeks of pregnancy to 6 weeks after childbirth. The questionnaire was composed related to resilience, maternal stress, maternal attitude, parent-child interaction, child abuse potential. The observation was measured by video recording (total 16 times) the interaction of parent-child during feeding and analyzing it by three experts. Data were analyzed by Wilcoxon signed-rank test and Friedman's test.</p><p><strong>Results: </strong>Maternal attitude and parent-child interaction were statistically significantly improved after intervention compared to before intervention. However, maternal stress decreased after intervention compared to before intervention, but it was not statistically significant. Also, resilience and child abuse potential were not statistically significant. This program is partially effective in preventing child abuse by promoting parenting attitudes and parent-child interactions.</p><p><strong>Conclusion: </strong>This study focused on individual resilience and applied systematic intervention as coping skills training to prevent child abuse. This study is meaningful in that interventions were conducted through individual visits to unmarried mothers at high risk of child abuse, and the program was applied, including pregnancy and postpartum periods, to prevent child abuse early.</p>","PeriodicalId":37360,"journal":{"name":"Child Health Nursing Research","volume":"30 3","pages":"187-198"},"PeriodicalIF":0.0000,"publicationDate":"2024-07-01","publicationTypes":"Journal Article","fieldsOfStudy":null,"isOpenAccess":false,"openAccessPdf":"https://www.ncbi.nlm.nih.gov/pmc/articles/PMC11294898/pdf/","citationCount":"0","resultStr":null,"platform":"Semanticscholar","paperid":null,"PeriodicalName":"Child Health Nursing Research","FirstCategoryId":"1085","ListUrlMain":"https://doi.org/10.4094/chnr.2024.018","RegionNum":0,"RegionCategory":null,"ArticlePicture":[],"TitleCN":null,"AbstractTextCN":null,"PMCID":null,"EPubDate":"2024/7/31 0:00:00","PubModel":"Epub","JCR":"Q3","JCRName":"Medicine","Score":null,"Total":0}
引用次数: 0

Abstract

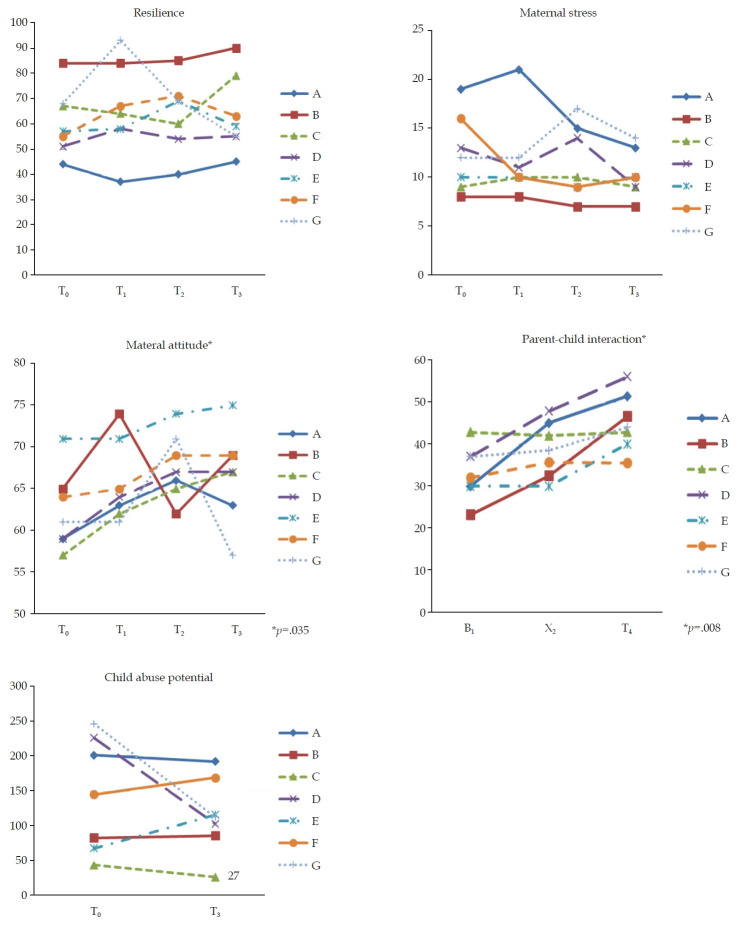
Purpose: The purpose of this study is to apply and evaluate the effectiveness of a child abuse prevention program based on the Nursing Model of Resilience and Coping Skills Training Model for unmarried mothers during pregnancy and puerperium.

Methods: This study had a prospective single-case, AB design with four repeated self-questionnaire measures and three observational measures. Seven unmarried mothers were provided with 10 sessions child abuse prevention program through individual visits from 32 to 34 weeks of pregnancy to 6 weeks after childbirth. The questionnaire was composed related to resilience, maternal stress, maternal attitude, parent-child interaction, child abuse potential. The observation was measured by video recording (total 16 times) the interaction of parent-child during feeding and analyzing it by three experts. Data were analyzed by Wilcoxon signed-rank test and Friedman's test.

Results: Maternal attitude and parent-child interaction were statistically significantly improved after intervention compared to before intervention. However, maternal stress decreased after intervention compared to before intervention, but it was not statistically significant. Also, resilience and child abuse potential were not statistically significant. This program is partially effective in preventing child abuse by promoting parenting attitudes and parent-child interactions.

Conclusion: This study focused on individual resilience and applied systematic intervention as coping skills training to prevent child abuse. This study is meaningful in that interventions were conducted through individual visits to unmarried mothers at high risk of child abuse, and the program was applied, including pregnancy and postpartum periods, to prevent child abuse early.

Abstract Image

Abstract Image

Abstract Image

韩国未婚母亲虐待儿童预防计划评估:单例实验设计。
目的:本研究的目的是应用基于抗逆力护理模式和应对技能训练模式的儿童虐待预防计划,并评估其对孕期和产褥期未婚母亲的有效性:本研究采用前瞻性单病例 AB 设计,包括四次重复自我问卷调查和三次观察测量。7 名未婚母亲在怀孕 32 至 34 周至产后 6 周期间,通过个别访问接受了 10 次儿童虐待预防课程。问卷内容包括复原力、母亲压力、母亲态度、亲子互动、虐待儿童的可能性。观察是通过录像(共 16 次)记录喂养过程中亲子互动的情况,并由三位专家进行分析。数据分析采用 Wilcoxon 符号秩检验和 Friedman 检验:结果:与干预前相比,干预后母亲的态度和亲子互动在统计学上有明显改善。然而,与干预前相比,干预后母亲的压力有所下降,但在统计学上并不显著。此外,复原力和虐待儿童的可能性也没有统计学意义。该计划通过促进父母的养育态度和亲子互动,对预防虐待儿童有部分效果:本研究关注个体的抗逆力,并将系统干预作为应对技能培训来预防虐童。这项研究的意义在于,通过对虐待儿童高风险未婚母亲的个别访问进行干预,并将该计划应用于包括孕期和产后在内的各个时期,以尽早预防虐待儿童行为。
本文章由计算机程序翻译,如有差异,请以英文原文为准。
求助全文
约1分钟内获得全文 求助全文
来源期刊
Child Health Nursing Research
Child Health Nursing Research Medicine-Pediatrics, Perinatology and Child Health
CiteScore
1.70
自引率
0.00%
发文量
30
审稿时长
7 weeks
×
引用
GB/T 7714-2015
复制
MLA
复制
APA
复制
导出至
BibTeX EndNote RefMan NoteFirst NoteExpress
×
提示
您的信息不完整,为了账户安全,请先补充。
现在去补充
×
提示
您因"违规操作"
具体请查看互助需知
我知道了
×
提示
确定
请完成安全验证×
copy
已复制链接
快去分享给好友吧!
我知道了
右上角分享
点击右上角分享
0
联系我们:info@booksci.cn Book学术提供免费学术资源搜索服务,方便国内外学者检索中英文文献。致力于提供最便捷和优质的服务体验。 Copyright © 2023 布克学术 All rights reserved.
京ICP备2023020795号-1
ghs 京公网安备 11010802042870号
Book学术文献互助
Book学术文献互助群
群 号:604180095
Book学术官方微信