Efficacy and Safety of PreserFlo MicroShunt Implantation and Its Effects on Intraocular Inflammation through Laser Flare Photometry.

IF 1.9 4区 医学 Q3 OPHTHALMOLOGY
Journal of Ophthalmology Pub Date : 2024-07-23 eCollection Date: 2024-01-01 DOI:10.1155/2024/2447721
Carlo Cagini, Niccolò Boni, Tommaso Bonifazi, Daniela Fruttini, Francesco Della Lena
{"title":"Efficacy and Safety of PreserFlo MicroShunt Implantation and Its Effects on Intraocular Inflammation through Laser Flare Photometry.","authors":"Carlo Cagini, Niccolò Boni, Tommaso Bonifazi, Daniela Fruttini, Francesco Della Lena","doi":"10.1155/2024/2447721","DOIUrl":null,"url":null,"abstract":"<p><strong>Purpose: </strong>The primary objective of this study is to evaluate the efficacy and safety profile of PreserFlo MicroShunt implantation in the medium- to long-term follow-up of patients with open-angle glaucoma. The secondary objective is to analyze laser flare meter (LFM) values before and after PreserFlo MicroShunt implantation.</p><p><strong>Methods: </strong>This prospective, observational, longitudinal single-center study included a total of 62 eyes from 54 patients. A subgroup of 27 eyes (26 patients) reached the 12-month follow-up. Success was defined based on three criteria: criterion A: IOP ≤21 mmHg and ≥20% reduction; criterion B: IOP ≤15 mmHg and ≥25% reduction; and criterion C: IOP ≤12 mmHg and ≥30% reduction. Success was further categorized as complete if achieved without IOP-lowering medications and qualified if achieved with medication administration. Other aspects evaluated included the number of IOP-lowering medications (baseline and postoperative), development of postoperative complications, 5-FU injections or implant revision, and LFM values.</p><p><strong>Results: </strong>The 12-month follow-up group (27 patients) was composed by 50% males and had a mean age of 75.54 ± 9.98 years. Success rates at 12 months were as follows: 78% for criterion A, 56% for criterion B, and 26% for criterion C. Complete success, as defined by criterion A, was achieved by 67% of the patients, 29% achieved qualified success, and one eye (4%) experienced failure. IOP decreased from 25.26 ± 1.67 mmHg at baseline to 14.81 ± 0.74 mmHg at 12 months. The number of medications decreased from 3.67 ± 1.30 at baseline to 0.48 ± 0.75 at 12 months. Reported complications were choroidal detachment (11%), hyphema (5%), and athalamia (flat anterior chamber) (2%) 13 eyes (48%) received 5-FU injections, while 7 eyes (26%) underwent implant revision. No significant increase in LFM values was observed. Eyes with a regular postoperative course and IOP ≤15 mmHg showed significantly lower LFM values than patients with unfavorable outcomes (IOP >15 mmHg, development of complications, 5-FU injection, or implant revision).</p><p><strong>Conclusions: </strong>PreserFlo MicroShunt showed a significant reduction in IOP and a decrease in the number of IOP-lowering medications. Complications occurred at a modest frequency. The implant provides a minimally invasive approach with no significant increases in LFM values postoperatively. Higher LFM values correlate with unfavorable postoperative outcomes.</p>","PeriodicalId":16674,"journal":{"name":"Journal of Ophthalmology","volume":"2024 ","pages":"2447721"},"PeriodicalIF":1.9000,"publicationDate":"2024-07-23","publicationTypes":"Journal Article","fieldsOfStudy":null,"isOpenAccess":false,"openAccessPdf":"https://www.ncbi.nlm.nih.gov/pmc/articles/PMC11288689/pdf/","citationCount":"0","resultStr":null,"platform":"Semanticscholar","paperid":null,"PeriodicalName":"Journal of Ophthalmology","FirstCategoryId":"3","ListUrlMain":"https://doi.org/10.1155/2024/2447721","RegionNum":4,"RegionCategory":"医学","ArticlePicture":[],"TitleCN":null,"AbstractTextCN":null,"PMCID":null,"EPubDate":"2024/1/1 0:00:00","PubModel":"eCollection","JCR":"Q3","JCRName":"OPHTHALMOLOGY","Score":null,"Total":0}
引用次数: 0

Abstract

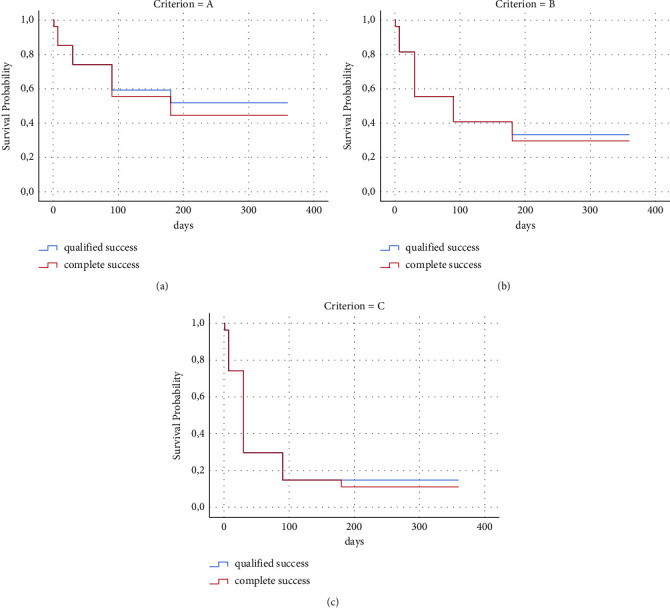
Purpose: The primary objective of this study is to evaluate the efficacy and safety profile of PreserFlo MicroShunt implantation in the medium- to long-term follow-up of patients with open-angle glaucoma. The secondary objective is to analyze laser flare meter (LFM) values before and after PreserFlo MicroShunt implantation.

Methods: This prospective, observational, longitudinal single-center study included a total of 62 eyes from 54 patients. A subgroup of 27 eyes (26 patients) reached the 12-month follow-up. Success was defined based on three criteria: criterion A: IOP ≤21 mmHg and ≥20% reduction; criterion B: IOP ≤15 mmHg and ≥25% reduction; and criterion C: IOP ≤12 mmHg and ≥30% reduction. Success was further categorized as complete if achieved without IOP-lowering medications and qualified if achieved with medication administration. Other aspects evaluated included the number of IOP-lowering medications (baseline and postoperative), development of postoperative complications, 5-FU injections or implant revision, and LFM values.

Results: The 12-month follow-up group (27 patients) was composed by 50% males and had a mean age of 75.54 ± 9.98 years. Success rates at 12 months were as follows: 78% for criterion A, 56% for criterion B, and 26% for criterion C. Complete success, as defined by criterion A, was achieved by 67% of the patients, 29% achieved qualified success, and one eye (4%) experienced failure. IOP decreased from 25.26 ± 1.67 mmHg at baseline to 14.81 ± 0.74 mmHg at 12 months. The number of medications decreased from 3.67 ± 1.30 at baseline to 0.48 ± 0.75 at 12 months. Reported complications were choroidal detachment (11%), hyphema (5%), and athalamia (flat anterior chamber) (2%) 13 eyes (48%) received 5-FU injections, while 7 eyes (26%) underwent implant revision. No significant increase in LFM values was observed. Eyes with a regular postoperative course and IOP ≤15 mmHg showed significantly lower LFM values than patients with unfavorable outcomes (IOP >15 mmHg, development of complications, 5-FU injection, or implant revision).

Conclusions: PreserFlo MicroShunt showed a significant reduction in IOP and a decrease in the number of IOP-lowering medications. Complications occurred at a modest frequency. The implant provides a minimally invasive approach with no significant increases in LFM values postoperatively. Higher LFM values correlate with unfavorable postoperative outcomes.

Abstract Image

Abstract Image

Abstract Image

PreserFlo 微分流器植入术的有效性和安全性及其通过激光耀斑光度计对眼内炎症的影响。
目的:本研究的主要目的是评估 PreserFlo MicroShunt 植入术在开角型青光眼患者中长期随访中的疗效和安全性。次要目标是分析 PreserFlo 微分流术植入前后的激光耀斑仪(LFM)值:这项前瞻性、观察性、纵向单中心研究共包括 54 名患者的 62 只眼睛。其中有 27 只眼睛(26 名患者)进行了为期 12 个月的随访。成功的定义基于三个标准:标准A:眼压≤21 mmHg且降低≥20%;标准B:眼压≤15 mmHg且降低≥25%;标准C:眼压≤12 mmHg且降低≥30%。如果未使用降眼压药物,则成功率被进一步划分为完全成功;如果使用药物,则成功率被划分为合格。其他方面的评估包括降眼压药物的使用次数(基线和术后)、术后并发症的发生、5-FU注射或植入物翻修以及LFM值:随访 12 个月组(27 名患者)中男性占 50%,平均年龄(75.54 ± 9.98)岁。12 个月的成功率如下:根据标准 A 的定义,67% 的患者获得了完全成功,29% 的患者获得了合格成功,还有一只眼睛(4%)失败。眼压从基线时的 25.26 ± 1.67 mmHg 降至 12 个月时的 14.81 ± 0.74 mmHg。用药次数从基线时的 3.67 ± 1.30 减少到 12 个月时的 0.48 ± 0.75。13只眼睛(48%)接受了5-FU注射,7只眼睛(26%)进行了植入物翻修。未观察到 LFM 值有明显增加。术后疗程正常且眼压≤15 mmHg的患者的LFM值明显低于术后疗效不佳(眼压>15 mmHg、出现并发症、注射5-FU或植入物翻修)的患者:结论:PreserFlo 微分流术显著降低了眼压,减少了降眼压药物的用量。并发症发生率较低。该植入物提供了一种微创方法,术后 LFM 值没有明显增加。LFM 值越高,术后效果越差。
本文章由计算机程序翻译,如有差异,请以英文原文为准。
求助全文
约1分钟内获得全文 求助全文
来源期刊
Journal of Ophthalmology
Journal of Ophthalmology MEDICINE, RESEARCH & EXPERIMENTAL-OPHTHALMOLOGY
CiteScore
4.30
自引率
5.30%
发文量
194
审稿时长
6-12 weeks
期刊介绍: Journal of Ophthalmology is a peer-reviewed, Open Access journal that publishes original research articles, review articles, and clinical studies related to the anatomy, physiology and diseases of the eye. Submissions should focus on new diagnostic and surgical techniques, instrument and therapy updates, as well as clinical trials and research findings.
×
引用
GB/T 7714-2015
复制
MLA
复制
APA
复制
导出至
BibTeX EndNote RefMan NoteFirst NoteExpress
×
提示
您的信息不完整,为了账户安全,请先补充。
现在去补充
×
提示
您因"违规操作"
具体请查看互助需知
我知道了
×
提示
确定
请完成安全验证×
copy
已复制链接
快去分享给好友吧!
我知道了
右上角分享
点击右上角分享
0
联系我们:info@booksci.cn Book学术提供免费学术资源搜索服务,方便国内外学者检索中英文文献。致力于提供最便捷和优质的服务体验。 Copyright © 2023 布克学术 All rights reserved.
京ICP备2023020795号-1
ghs 京公网安备 11010802042870号
Book学术文献互助
Book学术文献互助群
群 号:604180095
Book学术官方微信