Test-retest reliability, practice effects and estimates of change: A study on the Mindmore digital cognitive assessment tool.

IF 2.1 3区 心理学 Q2 PSYCHOLOGY, MULTIDISCIPLINARY
Scandinavian journal of psychology Pub Date : 2025-02-01 Epub Date: 2024-07-28 DOI:10.1111/sjop.13054
Ingvar Bergman, Ludwig Franke Föyen, Anders Gustavsson, Wobbie Van den Hurk
{"title":"Test-retest reliability, practice effects and estimates of change: A study on the Mindmore digital cognitive assessment tool.","authors":"Ingvar Bergman, Ludwig Franke Föyen, Anders Gustavsson, Wobbie Van den Hurk","doi":"10.1111/sjop.13054","DOIUrl":null,"url":null,"abstract":"<p><p>The present study aimed to establish test-retest reliability and investigate practice effects of the Mindmore cognitive assessment tool, a digital adaptation of traditional pencil and paper tests designed for self-administration. Additionally, normative change scores for the most frequently used tests were derived. A total of 149 healthy Swedish adults (aged 20-79) completed the test battery twice, 1 month apart. The battery assessed attention and processing speed, memory, language, visuospatial functions, and executive functions. Test-retest reliability, measured by ICC and Spearman coefficients, and practice effects were estimated for 22 main-scores and 33 sub-scores. Regression models were used to assess change in performance while controlling for demographics, computer equipment, testing location (online or in-laboratory) and baseline performance for 12 main-scores and nine sub-scores. Test-retest reliability was good for 11 main-scores (≥0.70), satisfactory for five (0.60-0.69), and minimal for six (<0.60) albeit three having satisfactory sub-scores. Practice effects were observed for tests with a major speed component, but not for reaction time, sustained attention, verbal memory and naming (alternate forms), nor visuospatial functions. Trackpad negatively influenced change for one test. Demographics and testing location did not significantly affect the change scores. Our study provides support for test-retest reliability and practice effects of the Mindmore cognitive assessment tool which were comparable to those of traditional tests. These findings, together with the normative change scores, can aid researchers and clinicians in interpreting test results and distinguishing between normal variations in performance and changes indicative of clinical impairment.</p>","PeriodicalId":21435,"journal":{"name":"Scandinavian journal of psychology","volume":" ","pages":"1-14"},"PeriodicalIF":2.1000,"publicationDate":"2025-02-01","publicationTypes":"Journal Article","fieldsOfStudy":null,"isOpenAccess":false,"openAccessPdf":"https://www.ncbi.nlm.nih.gov/pmc/articles/PMC11735254/pdf/","citationCount":"0","resultStr":null,"platform":"Semanticscholar","paperid":null,"PeriodicalName":"Scandinavian journal of psychology","FirstCategoryId":"102","ListUrlMain":"https://doi.org/10.1111/sjop.13054","RegionNum":3,"RegionCategory":"心理学","ArticlePicture":[],"TitleCN":null,"AbstractTextCN":null,"PMCID":null,"EPubDate":"2024/7/28 0:00:00","PubModel":"Epub","JCR":"Q2","JCRName":"PSYCHOLOGY, MULTIDISCIPLINARY","Score":null,"Total":0}
引用次数: 0

Abstract

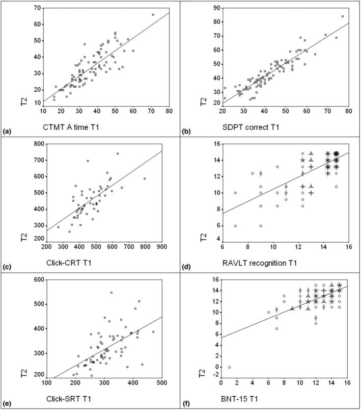
The present study aimed to establish test-retest reliability and investigate practice effects of the Mindmore cognitive assessment tool, a digital adaptation of traditional pencil and paper tests designed for self-administration. Additionally, normative change scores for the most frequently used tests were derived. A total of 149 healthy Swedish adults (aged 20-79) completed the test battery twice, 1 month apart. The battery assessed attention and processing speed, memory, language, visuospatial functions, and executive functions. Test-retest reliability, measured by ICC and Spearman coefficients, and practice effects were estimated for 22 main-scores and 33 sub-scores. Regression models were used to assess change in performance while controlling for demographics, computer equipment, testing location (online or in-laboratory) and baseline performance for 12 main-scores and nine sub-scores. Test-retest reliability was good for 11 main-scores (≥0.70), satisfactory for five (0.60-0.69), and minimal for six (<0.60) albeit three having satisfactory sub-scores. Practice effects were observed for tests with a major speed component, but not for reaction time, sustained attention, verbal memory and naming (alternate forms), nor visuospatial functions. Trackpad negatively influenced change for one test. Demographics and testing location did not significantly affect the change scores. Our study provides support for test-retest reliability and practice effects of the Mindmore cognitive assessment tool which were comparable to those of traditional tests. These findings, together with the normative change scores, can aid researchers and clinicians in interpreting test results and distinguishing between normal variations in performance and changes indicative of clinical impairment.

Abstract Image

Abstract Image

Abstract Image

测试再测可靠性、练习效果和变化估计:关于 Mindmore 数字认知评估工具的研究。
Mindmore认知评估工具是对传统纸笔测验的数字化改编,专为自我管理而设计。此外,还得出了最常用测试的常模变化分数。共有 149 名健康的瑞典成年人(20-79 岁)完成了两次测试,每次间隔 1 个月。该测试评估了注意力和处理速度、记忆力、语言、视觉空间功能和执行功能。通过 ICC 和 Spearman 系数测量了重测可靠性,并估算了 22 项主分数和 33 项副分数的练习效果。在控制人口统计学、计算机设备、测试地点(在线或实验室)和基线成绩的情况下,使用回归模型评估了 12 项主分数和 9 项副分数的成绩变化。11 项主评分的重测可靠性良好(≥0.70),5 项主评分的重测可靠性令人满意(0.60-0.69),6 项主评分的重测可靠性极低(≥0.70)。
本文章由计算机程序翻译,如有差异,请以英文原文为准。
求助全文
约1分钟内获得全文 求助全文
来源期刊
Scandinavian journal of psychology
Scandinavian journal of psychology PSYCHOLOGY, MULTIDISCIPLINARY-
CiteScore
4.20
自引率
0.00%
发文量
102
期刊介绍: Published in association with the Nordic psychological associations, the Scandinavian Journal of Psychology publishes original papers from Scandinavia and elsewhere. Covering the whole range of psychology, with a particular focus on experimental psychology, the journal includes high-quality theoretical and methodological papers, empirical reports, reviews and ongoing commentaries.Scandinavian Journal of Psychology is organised into four standing subsections: - Cognition and Neurosciences - Development and Aging - Personality and Social Sciences - Health and Disability
×
引用
GB/T 7714-2015
复制
MLA
复制
APA
复制
导出至
BibTeX EndNote RefMan NoteFirst NoteExpress
×
提示
您的信息不完整,为了账户安全,请先补充。
现在去补充
×
提示
您因"违规操作"
具体请查看互助需知
我知道了
×
提示
确定
请完成安全验证×
copy
已复制链接
快去分享给好友吧!
我知道了
右上角分享
点击右上角分享
0
联系我们:info@booksci.cn Book学术提供免费学术资源搜索服务,方便国内外学者检索中英文文献。致力于提供最便捷和优质的服务体验。 Copyright © 2023 布克学术 All rights reserved.
京ICP备2023020795号-1
ghs 京公网安备 11010802042870号
Book学术文献互助
Book学术文献互助群
群 号:604180095
Book学术官方微信