Real-time detection of aging status of methylammonium lead iodide perovskite thin films by using terahertz time-domain spectroscopy.

IF 5.2 3区 工程技术 Q2 ENGINEERING, ELECTRICAL & ELECTRONIC
Jinzhuo Xu, Yinghui Wu, Shuting Fan, Xudong Liu, Zhen Yin, Youpeng Yang, Renheng Wang, Zhengfang Qian, Yiwen Sun
{"title":"Real-time detection of aging status of methylammonium lead iodide perovskite thin films by using terahertz time-domain spectroscopy.","authors":"Jinzhuo Xu, Yinghui Wu, Shuting Fan, Xudong Liu, Zhen Yin, Youpeng Yang, Renheng Wang, Zhengfang Qian, Yiwen Sun","doi":"10.1007/s12200-024-00128-0","DOIUrl":null,"url":null,"abstract":"<p><p>The inadequate stability of organic-inorganic hybrid perovskites remains a significant barrier to their widespread commercial application in optoelectronic devices. Aging phenomena profoundly affect the optoelectronic performance of perovskite-based devices. In addition to enhancing perovskite stability, the real-time detection of aging status, aimed at monitoring the aging progression, holds paramount importance for both fundamental research and the commercialization of organic-inorganic hybrid perovskites. In this study, the aging status of perovskite was real-time investigated by using terahertz time-domain spectroscopy. Our analysis consistently revealed a gradual decline in the intensity of the absorption peak at 0.968 THz with increasing perovskite aging. Furthermore, a systematic discussion was conducted on the variations in intensity and position of the terahertz absorption peaks as the perovskite aged. These findings facilitate the real-time assessment of perovskite aging, providing a promising method to expedite the commercialization of perovskite-based optoelectronic devices.</p>","PeriodicalId":12685,"journal":{"name":"Frontiers of Optoelectronics","volume":"17 1","pages":"24"},"PeriodicalIF":5.2000,"publicationDate":"2024-07-29","publicationTypes":"Journal Article","fieldsOfStudy":null,"isOpenAccess":false,"openAccessPdf":"https://www.ncbi.nlm.nih.gov/pmc/articles/PMC11286615/pdf/","citationCount":"0","resultStr":null,"platform":"Semanticscholar","paperid":null,"PeriodicalName":"Frontiers of Optoelectronics","FirstCategoryId":"5","ListUrlMain":"https://doi.org/10.1007/s12200-024-00128-0","RegionNum":3,"RegionCategory":"工程技术","ArticlePicture":[],"TitleCN":null,"AbstractTextCN":null,"PMCID":null,"EPubDate":"","PubModel":"","JCR":"Q2","JCRName":"ENGINEERING, ELECTRICAL & ELECTRONIC","Score":null,"Total":0}
引用次数: 0

Abstract

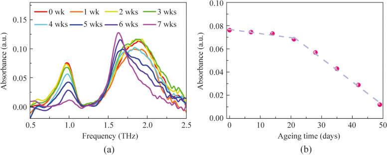
The inadequate stability of organic-inorganic hybrid perovskites remains a significant barrier to their widespread commercial application in optoelectronic devices. Aging phenomena profoundly affect the optoelectronic performance of perovskite-based devices. In addition to enhancing perovskite stability, the real-time detection of aging status, aimed at monitoring the aging progression, holds paramount importance for both fundamental research and the commercialization of organic-inorganic hybrid perovskites. In this study, the aging status of perovskite was real-time investigated by using terahertz time-domain spectroscopy. Our analysis consistently revealed a gradual decline in the intensity of the absorption peak at 0.968 THz with increasing perovskite aging. Furthermore, a systematic discussion was conducted on the variations in intensity and position of the terahertz absorption peaks as the perovskite aged. These findings facilitate the real-time assessment of perovskite aging, providing a promising method to expedite the commercialization of perovskite-based optoelectronic devices.

Abstract Image

Abstract Image

Abstract Image

利用太赫兹时域光谱实时检测甲铵碘化铅包晶石薄膜的老化状态。
有机-无机杂化包晶石的稳定性不足仍然是其在光电器件中广泛商业应用的一个重大障碍。老化现象会严重影响基于包晶石的器件的光电性能。除了提高包晶石的稳定性,实时检测老化状态以监控老化进程对于有机-无机混合包晶石的基础研究和商业化应用都具有极其重要的意义。在本研究中,我们利用太赫兹时域光谱对包晶石的老化状态进行了实时研究。我们的分析一致显示,随着包晶老化程度的增加,0.968 THz 处的吸收峰强度逐渐下降。此外,我们还对包晶老化过程中太赫兹吸收峰的强度和位置变化进行了系统讨论。这些发现有助于对包晶石老化进行实时评估,为加速基于包晶石的光电器件的商业化提供了一种可行的方法。
本文章由计算机程序翻译,如有差异,请以英文原文为准。
求助全文
约1分钟内获得全文 求助全文
来源期刊
Frontiers of Optoelectronics
Frontiers of Optoelectronics ENGINEERING, ELECTRICAL & ELECTRONIC-
CiteScore
7.80
自引率
0.00%
发文量
583
期刊介绍: Frontiers of Optoelectronics seeks to provide a multidisciplinary forum for a broad mix of peer-reviewed academic papers in order to promote rapid communication and exchange between researchers in China and abroad. It introduces and reflects significant achievements being made in the field of photonics or optoelectronics. The topics include, but are not limited to, semiconductor optoelectronics, nano-photonics, information photonics, energy photonics, ultrafast photonics, biomedical photonics, nonlinear photonics, fiber optics, laser and terahertz technology and intelligent photonics. The journal publishes reviews, research articles, letters, comments, special issues and so on. Frontiers of Optoelectronics especially encourages papers from new emerging and multidisciplinary areas, papers reflecting the international trends of research and development, and on special topics reporting progress made in the field of optoelectronics. All published papers will reflect the original thoughts of researchers and practitioners on basic theories, design and new technology in optoelectronics. Frontiers of Optoelectronics is strictly peer-reviewed and only accepts original submissions in English. It is a fully OA journal and the APCs are covered by Higher Education Press and Huazhong University of Science and Technology. ● Presents the latest developments in optoelectronics and optics ● Emphasizes the latest developments of new optoelectronic materials, devices, systems and applications ● Covers industrial photonics, information photonics, biomedical photonics, energy photonics, laser and terahertz technology, and more
×
引用
GB/T 7714-2015
复制
MLA
复制
APA
复制
导出至
BibTeX EndNote RefMan NoteFirst NoteExpress
×
提示
您的信息不完整,为了账户安全,请先补充。
现在去补充
×
提示
您因"违规操作"
具体请查看互助需知
我知道了
×
提示
确定
请完成安全验证×
copy
已复制链接
快去分享给好友吧!
我知道了
右上角分享
点击右上角分享
0
联系我们:info@booksci.cn Book学术提供免费学术资源搜索服务,方便国内外学者检索中英文文献。致力于提供最便捷和优质的服务体验。 Copyright © 2023 布克学术 All rights reserved.
京ICP备2023020795号-1
ghs 京公网安备 11010802042870号
Book学术文献互助
Book学术文献互助群
群 号:604180095
Book学术官方微信