Effects of cannabinoid receptor activation on Porphyromonas gingivalis lipopolysaccharide stimulation in human periodontal ligament stem cells in vitro.

IF 3.2 4区 医学 Q2 DENTISTRY, ORAL SURGERY & MEDICINE
Journal of Periodontal and Implant Science Pub Date : 2025-02-01 Epub Date: 2024-07-15 DOI:10.5051/jpis.2303680184
Tim Leypold, Alix Herbsthofer, Rogerio B Craveiro, Michael Wolf, Justus P Beier, Tim Ruhl
{"title":"Effects of cannabinoid receptor activation on <i>Porphyromonas gingivalis</i> lipopolysaccharide stimulation in human periodontal ligament stem cells <i>in vitro</i>.","authors":"Tim Leypold, Alix Herbsthofer, Rogerio B Craveiro, Michael Wolf, Justus P Beier, Tim Ruhl","doi":"10.5051/jpis.2303680184","DOIUrl":null,"url":null,"abstract":"<p><strong>Purpose: </strong>Periodontitis is an inflammatory disease that results in the loss of periodontal tissue. The endocannabinoid system has anti-inflammatory properties and displays considerable potential for tissue regeneration. In this study, we aimed to explore whether the activation of this system can alleviate or reverse the inflammatory phenotype of human periodontal ligament stem cells (hPDLSCs) induced by exposure to the inflammagen lipopolysaccharide (LPS).</p><p><strong>Methods: </strong>We investigated the effects of activating specific cannabinoid receptors (CB1 and CB2) on the inflammatory phenotype of LPS-stimulated hPDLSCs. The exogenous ligands WIN55,212-2 and JWH-133 were employed to target the cannabinoid receptors. We conducted a thorough assessment of cell proliferation, metabolic activity, and adipogenic, osteogenic, and chondrogenic differentiation potential. Additionally, we measured cytokine release using enzyme-linked immunosorbent assays.</p><p><strong>Results: </strong>Exposure to <i>Porphyromonas gingivalis</i> lipopolysaccharide (Pg-LPS) caused an increase in cell proliferation while decreasing metabolic activity. While this exposure did not influence adipogenic or chondrogenic differentiation, it did result in reduced osteogenesis. Additionally, LPS induced the release of interleukin (IL)-6, IL-8, and monocyte chemoattractant protein 1. Immunolabeling revealed the presence of CB1 and CB2 on the cellular membrane, with these receptors playing distinct roles in hPDLSCs. The CB1 agonist WIN55,212-2 was found to increase metabolic activity and promote adipogenic differentiation, whereas the CB2 agonist JWH-133 promoted cell proliferation and osteogenic differentiation. When hPDLSCs were co-exposed to Pg-LPS and CB ligands, JWH-133 slightly ameliorated the inhibition of osteogenic differentiation and suppressed the release of inflammatory cytokines.</p><p><strong>Conclusions: </strong>This study clarifies the effects of specific CB receptor activation on hPDLCs and the inflammatory phenotype. Stimulation of the endocannabinoid system through the manipulation of endogenous or the application of exogenous cannabinoids <i>in vivo</i> may represent a potent therapeutic option for combating periodontal inflammatory disorders.</p>","PeriodicalId":48795,"journal":{"name":"Journal of Periodontal and Implant Science","volume":" ","pages":"18-34"},"PeriodicalIF":3.2000,"publicationDate":"2025-02-01","publicationTypes":"Journal Article","fieldsOfStudy":null,"isOpenAccess":false,"openAccessPdf":"https://www.ncbi.nlm.nih.gov/pmc/articles/PMC11885868/pdf/","citationCount":"0","resultStr":null,"platform":"Semanticscholar","paperid":null,"PeriodicalName":"Journal of Periodontal and Implant Science","FirstCategoryId":"3","ListUrlMain":"https://doi.org/10.5051/jpis.2303680184","RegionNum":4,"RegionCategory":"医学","ArticlePicture":[],"TitleCN":null,"AbstractTextCN":null,"PMCID":null,"EPubDate":"2024/7/15 0:00:00","PubModel":"Epub","JCR":"Q2","JCRName":"DENTISTRY, ORAL SURGERY & MEDICINE","Score":null,"Total":0}
引用次数: 0

Abstract

Purpose: Periodontitis is an inflammatory disease that results in the loss of periodontal tissue. The endocannabinoid system has anti-inflammatory properties and displays considerable potential for tissue regeneration. In this study, we aimed to explore whether the activation of this system can alleviate or reverse the inflammatory phenotype of human periodontal ligament stem cells (hPDLSCs) induced by exposure to the inflammagen lipopolysaccharide (LPS).

Methods: We investigated the effects of activating specific cannabinoid receptors (CB1 and CB2) on the inflammatory phenotype of LPS-stimulated hPDLSCs. The exogenous ligands WIN55,212-2 and JWH-133 were employed to target the cannabinoid receptors. We conducted a thorough assessment of cell proliferation, metabolic activity, and adipogenic, osteogenic, and chondrogenic differentiation potential. Additionally, we measured cytokine release using enzyme-linked immunosorbent assays.

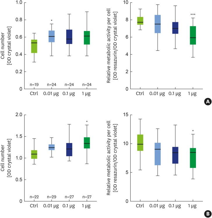
Results: Exposure to Porphyromonas gingivalis lipopolysaccharide (Pg-LPS) caused an increase in cell proliferation while decreasing metabolic activity. While this exposure did not influence adipogenic or chondrogenic differentiation, it did result in reduced osteogenesis. Additionally, LPS induced the release of interleukin (IL)-6, IL-8, and monocyte chemoattractant protein 1. Immunolabeling revealed the presence of CB1 and CB2 on the cellular membrane, with these receptors playing distinct roles in hPDLSCs. The CB1 agonist WIN55,212-2 was found to increase metabolic activity and promote adipogenic differentiation, whereas the CB2 agonist JWH-133 promoted cell proliferation and osteogenic differentiation. When hPDLSCs were co-exposed to Pg-LPS and CB ligands, JWH-133 slightly ameliorated the inhibition of osteogenic differentiation and suppressed the release of inflammatory cytokines.

Conclusions: This study clarifies the effects of specific CB receptor activation on hPDLCs and the inflammatory phenotype. Stimulation of the endocannabinoid system through the manipulation of endogenous or the application of exogenous cannabinoids in vivo may represent a potent therapeutic option for combating periodontal inflammatory disorders.

Abstract Image

Abstract Image

Abstract Image

大麻素受体激活对牙龈卟啉菌脂多糖体外刺激人类牙周韧带干细胞的影响。
目的:牙周炎是一种导致牙周组织丧失的炎症性疾病。内源性大麻素系统具有抗炎特性,在组织再生方面具有相当大的潜力。在这项研究中,我们旨在探讨激活该系统是否能减轻或逆转人牙周韧带干细胞(hPDLSCs)因暴露于致炎物质脂多糖(LPS)而诱发的炎症表型:我们研究了激活特定大麻素受体(CB1和CB2)对LPS刺激的hPDLSCs炎症表型的影响。外源配体 WIN55,212-2 和 JWH-133 被用来靶向大麻素受体。我们对细胞增殖、代谢活性以及成脂、成骨和软骨分化潜能进行了全面评估。此外,我们还使用酶联免疫吸附试验测量了细胞因子的释放:结果:接触牙龈卟啉菌脂多糖(Pg-LPS)会导致细胞增殖增加,同时降低代谢活性。虽然这种暴露不会影响脂肪生成或软骨生成的分化,但会导致骨生成减少。免疫标记显示细胞膜上存在 CB1 和 CB2,这些受体在 hPDLSCs 中发挥着不同的作用。研究发现,CB1激动剂WIN55,212-2能提高新陈代谢活性并促进成脂分化,而CB2激动剂JWH-133则能促进细胞增殖和成骨分化。当 hPDLSCs 同时暴露于 Pg-LPS 和 CB 配体时,JWH-133 能轻微改善对成骨分化的抑制,并抑制炎性细胞因子的释放:本研究阐明了特异性 CB 受体激活对 hPDLCs 和炎症表型的影响。通过在体内操纵内源性大麻素或应用外源性大麻素来刺激内源性大麻素系统可能是防治牙周炎症性疾病的一种有效治疗方法。
本文章由计算机程序翻译,如有差异,请以英文原文为准。
求助全文
约1分钟内获得全文 求助全文
来源期刊
Journal of Periodontal and Implant Science
Journal of Periodontal and Implant Science DENTISTRY, ORAL SURGERY & MEDICINE-
CiteScore
3.30
自引率
5.30%
发文量
38
期刊介绍: Journal of Periodontal & Implant Science (JPIS) is a peer-reviewed and open-access journal providing up-to-date information relevant to professionalism of periodontology and dental implantology. JPIS is dedicated to global and extensive publication which includes evidence-based original articles, and fundamental reviews in order to cover a variety of interests in the field of periodontal as well as implant science.
×
引用
GB/T 7714-2015
复制
MLA
复制
APA
复制
导出至
BibTeX EndNote RefMan NoteFirst NoteExpress
×
提示
您的信息不完整,为了账户安全,请先补充。
现在去补充
×
提示
您因"违规操作"
具体请查看互助需知
我知道了
×
提示
确定
请完成安全验证×
copy
已复制链接
快去分享给好友吧!
我知道了
右上角分享
点击右上角分享
0
联系我们:info@booksci.cn Book学术提供免费学术资源搜索服务,方便国内外学者检索中英文文献。致力于提供最便捷和优质的服务体验。 Copyright © 2023 布克学术 All rights reserved.
京ICP备2023020795号-1
ghs 京公网安备 11010802042870号
Book学术文献互助
Book学术文献互助群
群 号:604180095
Book学术官方微信