The Impact of Sleep on Haematological Parameters in Firefighters.

IF 2.1 Q3 CLINICAL NEUROLOGY
Sara Alves, Francisca Silva, Filipa Esteves, Solange Costa, Klara Slezakova, Maria Alves, Maria Pereira, João Teixeira, Simone Morais, Adília Fernandes, Felisbina Queiroga, Josiana Vaz
{"title":"The Impact of Sleep on Haematological Parameters in Firefighters.","authors":"Sara Alves, Francisca Silva, Filipa Esteves, Solange Costa, Klara Slezakova, Maria Alves, Maria Pereira, João Teixeira, Simone Morais, Adília Fernandes, Felisbina Queiroga, Josiana Vaz","doi":"10.3390/clockssleep6030021","DOIUrl":null,"url":null,"abstract":"<p><p>Sleep is a vital process that impacts biological functions such as cell renewal, bone regeneration, and immune system support. Disrupted sleep can interrupt erythropoiesis, leading to fewer red blood cells, reduced haemoglobin concentration, and decreased haematocrit levels, potentially contributing to haematological disorders. This is particularly concerning for shift workers for example firefighters. While previous studies have explored sleep's adverse effects on various professions, research specific to firefighters is limited. This study investigates the relationship between sleep quality and haematological parameters among firefighters in Northeast Portugal. From a sample of 201 firefighters, variations in red blood cells, haemoglobin, and haematocrit values were linked to sleep quality. The study utilised non-parametric tests (Wilcoxon-Mann-Whitney, Spearman's correlation) to explore the connection between sleep quality and haematological profile. The impact of covariates on haematological parameters was assessed using non-parametric ANCOVA (Quade's). A multiple regression analysis was employed to further understand how sleep quality and various confounding variables impact haematological levels. Findings suggest a negative link between sleep quality and haematological levels, meaning that as sleep quality deteriorates, there is a tendency for haematological levels to decrease, as indicated by Spearman's correlation (rRBC = -0.157, pRBC = 0.026; rHb = -0.158, pHb = 0.025; rHCT = -0.175, pHCT = 0.013). As observed in scientific literature, the correlation found suggests a possible inhibition of erythropoiesis, the process responsible for red blood cell production. Despite firefighters presenting a haematological profile within the reference range (RBC: 5.1 × 10<sup>6</sup>/mm<sup>3</sup> (SD ± 0.4), Hb: 15.6 g/dL (SD ± 1.3), 47% (SD ± 1.0), there is already an observable trend towards lower levels. The analysis of co-variables did not reveal a significant impact of sleep quality on haematological levels. In conclusion, this study underscores the importance of sleep quality in determining haematological parameters among firefighters. Future research should investigate the underlying mechanisms and long-term implications of poor sleep quality on firefighter health. Exploring interventions to enhance sleep quality is vital for evidence-based strategies promoting firefighter well-being.</p>","PeriodicalId":33568,"journal":{"name":"Clocks & Sleep","volume":"6 3","pages":"291-311"},"PeriodicalIF":2.1000,"publicationDate":"2024-06-26","publicationTypes":"Journal Article","fieldsOfStudy":null,"isOpenAccess":false,"openAccessPdf":"https://www.ncbi.nlm.nih.gov/pmc/articles/PMC11270419/pdf/","citationCount":"0","resultStr":null,"platform":"Semanticscholar","paperid":null,"PeriodicalName":"Clocks & Sleep","FirstCategoryId":"1085","ListUrlMain":"https://doi.org/10.3390/clockssleep6030021","RegionNum":0,"RegionCategory":null,"ArticlePicture":[],"TitleCN":null,"AbstractTextCN":null,"PMCID":null,"EPubDate":"","PubModel":"","JCR":"Q3","JCRName":"CLINICAL NEUROLOGY","Score":null,"Total":0}
引用次数: 0

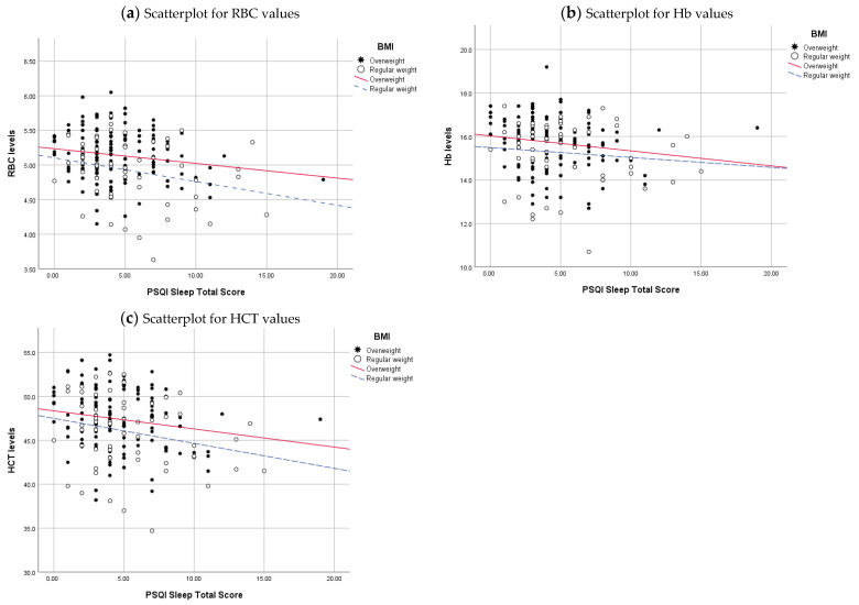
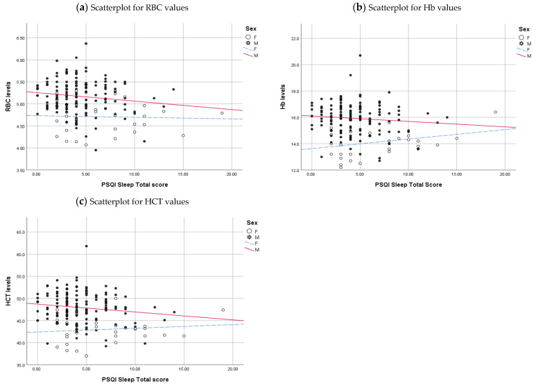
Abstract

Sleep is a vital process that impacts biological functions such as cell renewal, bone regeneration, and immune system support. Disrupted sleep can interrupt erythropoiesis, leading to fewer red blood cells, reduced haemoglobin concentration, and decreased haematocrit levels, potentially contributing to haematological disorders. This is particularly concerning for shift workers for example firefighters. While previous studies have explored sleep's adverse effects on various professions, research specific to firefighters is limited. This study investigates the relationship between sleep quality and haematological parameters among firefighters in Northeast Portugal. From a sample of 201 firefighters, variations in red blood cells, haemoglobin, and haematocrit values were linked to sleep quality. The study utilised non-parametric tests (Wilcoxon-Mann-Whitney, Spearman's correlation) to explore the connection between sleep quality and haematological profile. The impact of covariates on haematological parameters was assessed using non-parametric ANCOVA (Quade's). A multiple regression analysis was employed to further understand how sleep quality and various confounding variables impact haematological levels. Findings suggest a negative link between sleep quality and haematological levels, meaning that as sleep quality deteriorates, there is a tendency for haematological levels to decrease, as indicated by Spearman's correlation (rRBC = -0.157, pRBC = 0.026; rHb = -0.158, pHb = 0.025; rHCT = -0.175, pHCT = 0.013). As observed in scientific literature, the correlation found suggests a possible inhibition of erythropoiesis, the process responsible for red blood cell production. Despite firefighters presenting a haematological profile within the reference range (RBC: 5.1 × 106/mm3 (SD ± 0.4), Hb: 15.6 g/dL (SD ± 1.3), 47% (SD ± 1.0), there is already an observable trend towards lower levels. The analysis of co-variables did not reveal a significant impact of sleep quality on haematological levels. In conclusion, this study underscores the importance of sleep quality in determining haematological parameters among firefighters. Future research should investigate the underlying mechanisms and long-term implications of poor sleep quality on firefighter health. Exploring interventions to enhance sleep quality is vital for evidence-based strategies promoting firefighter well-being.

Abstract Image

Abstract Image

Abstract Image

睡眠对消防员血液参数的影响
睡眠是影响细胞更新、骨骼再生和免疫系统支持等生物功能的重要过程。睡眠中断会干扰红细胞生成,导致红细胞减少、血红蛋白浓度降低和血细胞比容水平下降,从而可能引发血液病。这对于轮班工作的人来说尤其令人担忧,例如消防员。虽然之前的研究已经探讨了睡眠对不同职业的不利影响,但专门针对消防员的研究还很有限。本研究调查了葡萄牙东北部消防员的睡眠质量与血液参数之间的关系。从 201 名消防员的样本中发现,红细胞、血红蛋白和血细胞比容值的变化与睡眠质量有关。研究利用非参数检验(Wilcoxon-Mann-Whitney、Spearman's correlation)来探讨睡眠质量与血液学特征之间的联系。使用非参数方差分析(Quade's)评估了协变量对血液学参数的影响。为了进一步了解睡眠质量和各种混杂变量对血液学水平的影响,还采用了多元回归分析法。研究结果表明,睡眠质量与血液学指标之间存在负相关,即随着睡眠质量的下降,血液学指标也有下降的趋势,如斯皮尔曼相关性所示(rRBC = -0.157,pRBC = 0.026;rHb = -0.158,pHb = 0.025;rHCT = -0.175,pHCT = 0.013)。正如科学文献所指出的,这种相关性表明红细胞生成过程可能受到了抑制。尽管消防员的血液学特征在参考范围内(红细胞:5.1 × 106/mm3 (SD ± 0.4),白蛋白:15.6 g/dL (SD ± 1.3),47% (SD ± 1.0)),但已经出现了明显的降低趋势。对共同变量的分析表明,睡眠质量对血液水平的影响不大。总之,这项研究强调了睡眠质量在决定消防员血液学参数方面的重要性。未来的研究应探讨睡眠质量差对消防员健康的潜在机制和长期影响。探索提高睡眠质量的干预措施对于促进消防员健康的循证策略至关重要。
本文章由计算机程序翻译,如有差异,请以英文原文为准。
求助全文
约1分钟内获得全文 求助全文
来源期刊
Clocks & Sleep
Clocks & Sleep Multiple-
CiteScore
4.40
自引率
0.00%
发文量
0
审稿时长
7 weeks
×
引用
GB/T 7714-2015
复制
MLA
复制
APA
复制
导出至
BibTeX EndNote RefMan NoteFirst NoteExpress
×
提示
您的信息不完整,为了账户安全,请先补充。
现在去补充
×
提示
您因"违规操作"
具体请查看互助需知
我知道了
×
提示
确定
请完成安全验证×
copy
已复制链接
快去分享给好友吧!
我知道了
右上角分享
点击右上角分享
0
联系我们:info@booksci.cn Book学术提供免费学术资源搜索服务,方便国内外学者检索中英文文献。致力于提供最便捷和优质的服务体验。 Copyright © 2023 布克学术 All rights reserved.
京ICP备2023020795号-1
ghs 京公网安备 11010802042870号
Book学术文献互助
Book学术文献互助群
群 号:604180095
Book学术官方微信