Safety and feasibility of transcranial direct current stimulation in end-stage renal disease patients undergoing hemodialysis: an exploratory study.

IF 1.3 Q3 UROLOGY & NEPHROLOGY
Rodrigo Pegado, Monaliza Melo, Tayanne Oehmen, Gianna Mastroianni Kirsztajn, Edson Silva-Filho, Artur Quintiliano
{"title":"Safety and feasibility of transcranial direct current stimulation in end-stage renal disease patients undergoing hemodialysis: an exploratory study.","authors":"Rodrigo Pegado, Monaliza Melo, Tayanne Oehmen, Gianna Mastroianni Kirsztajn, Edson Silva-Filho, Artur Quintiliano","doi":"10.1590/2175-8239-JBN-2024-0010en","DOIUrl":null,"url":null,"abstract":"<p><strong>Introduction: </strong>Patients with end-stage renal disease often face a challenging routine of hemodialysis, dietary restrictions, and multiple medications, which can affect their hemodynamic function. Home-based, safe, and nonpharmacological approaches such as transcranial direct current stimulation (tDCS) should be combined with conventional treatment.</p><p><strong>Objective: </strong>To assess the safety and feasibility of tDCS on blood pressure and heart rate in patients with end-stage renal disease undergoing hemodialysis.</p><p><strong>Method: </strong>This is a parallel, randomized, sham-controlled trial. Patients undergoing hemodialysis for more than three months were included. The patients received ten non-consecutive 2mA tDCS sessions on the primary motor cortex . Each session lasted 20 minutes. At baseline and after each of the ten sessions, blood pressure and heart rate of the patients were measured hourly for four hours.</p><p><strong>Results: </strong>Thirty patients were randomized to the active or sham group. The mean difference between the groups was calculated as the mean value of the sham group minus the mean value of the active group. Despite there were no statistical changes for all outcomes considering all 10 sessions, we found differences between groups for systolic -10.93 (-29.1;7.2), diastolic -3.63 (-12.4; 5.1), and mean blood pressure -6.0 (-16.3; 4.2) and hear rate 2.26 (-2.5; 7.1). No serious adverse events were found. The active group showed higher blood pressure values at all points, while heart rate was lower in the active group.</p><p><strong>Conclusion: </strong>tDCS is safe and feasible for patients with end-stage renal disease undergoing hemodialysis. Future studies should investigate whether tDCS could potentially induce a hypotensive protective effect during hemodialysis.</p>","PeriodicalId":14724,"journal":{"name":"Jornal brasileiro de nefrologia : 'orgao oficial de Sociedades Brasileira e Latino-Americana de Nefrologia","volume":"46 4","pages":"e20240010"},"PeriodicalIF":1.3000,"publicationDate":"2024-07-19","publicationTypes":"Journal Article","fieldsOfStudy":null,"isOpenAccess":false,"openAccessPdf":"https://www.ncbi.nlm.nih.gov/pmc/articles/PMC11268524/pdf/","citationCount":"0","resultStr":null,"platform":"Semanticscholar","paperid":null,"PeriodicalName":"Jornal brasileiro de nefrologia : 'orgao oficial de Sociedades Brasileira e Latino-Americana de Nefrologia","FirstCategoryId":"1085","ListUrlMain":"https://doi.org/10.1590/2175-8239-JBN-2024-0010en","RegionNum":0,"RegionCategory":null,"ArticlePicture":[],"TitleCN":null,"AbstractTextCN":null,"PMCID":null,"EPubDate":"2024/1/1 0:00:00","PubModel":"eCollection","JCR":"Q3","JCRName":"UROLOGY & NEPHROLOGY","Score":null,"Total":0}
引用次数: 0

Abstract

Introduction: Patients with end-stage renal disease often face a challenging routine of hemodialysis, dietary restrictions, and multiple medications, which can affect their hemodynamic function. Home-based, safe, and nonpharmacological approaches such as transcranial direct current stimulation (tDCS) should be combined with conventional treatment.

Objective: To assess the safety and feasibility of tDCS on blood pressure and heart rate in patients with end-stage renal disease undergoing hemodialysis.

Method: This is a parallel, randomized, sham-controlled trial. Patients undergoing hemodialysis for more than three months were included. The patients received ten non-consecutive 2mA tDCS sessions on the primary motor cortex . Each session lasted 20 minutes. At baseline and after each of the ten sessions, blood pressure and heart rate of the patients were measured hourly for four hours.

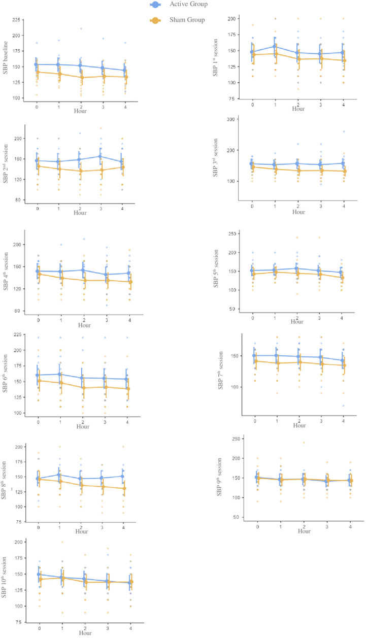
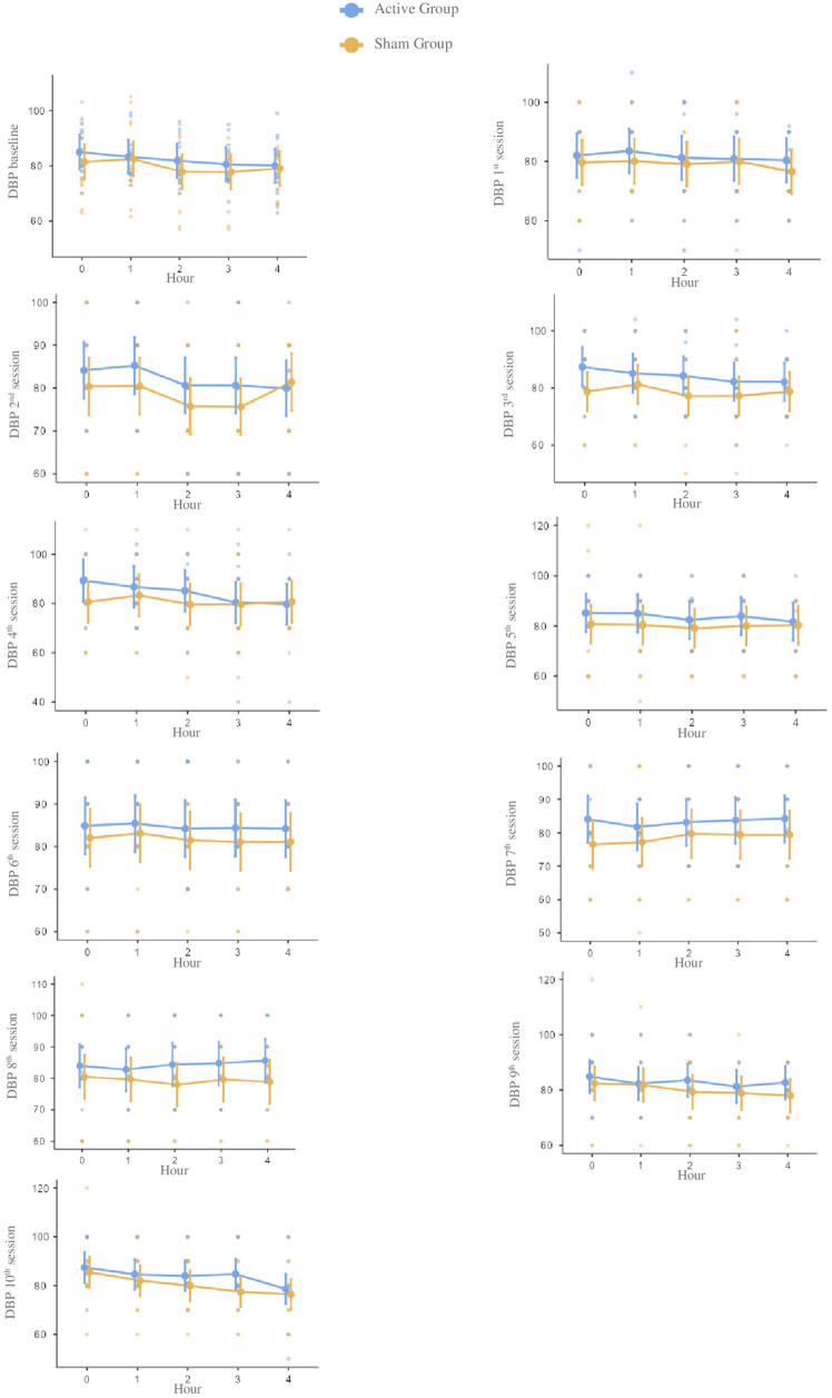
Results: Thirty patients were randomized to the active or sham group. The mean difference between the groups was calculated as the mean value of the sham group minus the mean value of the active group. Despite there were no statistical changes for all outcomes considering all 10 sessions, we found differences between groups for systolic -10.93 (-29.1;7.2), diastolic -3.63 (-12.4; 5.1), and mean blood pressure -6.0 (-16.3; 4.2) and hear rate 2.26 (-2.5; 7.1). No serious adverse events were found. The active group showed higher blood pressure values at all points, while heart rate was lower in the active group.

Conclusion: tDCS is safe and feasible for patients with end-stage renal disease undergoing hemodialysis. Future studies should investigate whether tDCS could potentially induce a hypotensive protective effect during hemodialysis.

Abstract Image

Abstract Image

Abstract Image

血液透析终末期肾病患者接受经颅直流电刺激的安全性和可行性:一项探索性研究。
简介终末期肾病患者通常面临着血液透析、饮食限制和多种药物等具有挑战性的日常事务,这些都会影响他们的血液动力学功能。经颅直流电刺激(tDCS)等基于家庭、安全且非药物治疗的方法应与常规治疗相结合:评估经颅直流电刺激对接受血液透析的终末期肾病患者的血压和心率的安全性和可行性:这是一项平行、随机、假对照试验。方法:这是一项平行、随机、假对照试验,纳入了接受血液透析三个月以上的患者。患者在初级运动皮层接受十次不连续的 2mA tDCS 治疗。每个疗程持续 20 分钟。在十次治疗的基线和每次治疗后,每小时测量患者的血压和心率,持续四小时:结果:30 名患者被随机分配到主动组或假动作组。各组之间的平均差异计算方法为假体组的平均值减去活性组的平均值。尽管在所有 10 个疗程中,所有结果均无统计学变化,但我们发现各组之间在收缩压 -10.93 (-29.1; 7.2)、舒张压 -3.63 (-12.4; 5.1)、平均血压 -6.0 (-16.3; 4.2) 和听力 2.26 (-2.5; 7.1) 方面存在差异。未发现严重不良事件。结论:tDCS 对接受血液透析的终末期肾病患者是安全可行的。未来的研究应探讨 tDCS 是否有可能在血液透析期间产生降压保护作用。
本文章由计算机程序翻译,如有差异,请以英文原文为准。
求助全文
约1分钟内获得全文 求助全文
来源期刊
CiteScore
2.20
自引率
16.70%
发文量
208
审稿时长
16 weeks
×
引用
GB/T 7714-2015
复制
MLA
复制
APA
复制
导出至
BibTeX EndNote RefMan NoteFirst NoteExpress
×
提示
您的信息不完整,为了账户安全,请先补充。
现在去补充
×
提示
您因"违规操作"
具体请查看互助需知
我知道了
×
提示
确定
请完成安全验证×
copy
已复制链接
快去分享给好友吧!
我知道了
右上角分享
点击右上角分享
0
联系我们:info@booksci.cn Book学术提供免费学术资源搜索服务,方便国内外学者检索中英文文献。致力于提供最便捷和优质的服务体验。 Copyright © 2023 布克学术 All rights reserved.
京ICP备2023020795号-1
ghs 京公网安备 11010802042870号
Book学术文献互助
Book学术文献互助群
群 号:604180095
Book学术官方微信