Sedentary Behaviour and Fall-related Injuries in Aging Adults: Results from the Canadian Longitudinal Study on Aging (CLSA).

JAR life Pub Date : 2024-07-17 eCollection Date: 2024-01-01 DOI:10.14283/jarlife.2024.14
M Gallibois, C Hennah, M Sénéchal, M F Fuentes Diaz, B Leadbetter, D R Bouchard
{"title":"Sedentary Behaviour and Fall-related Injuries in Aging Adults: Results from the Canadian Longitudinal Study on Aging (CLSA).","authors":"M Gallibois, C Hennah, M Sénéchal, M F Fuentes Diaz, B Leadbetter, D R Bouchard","doi":"10.14283/jarlife.2024.14","DOIUrl":null,"url":null,"abstract":"<p><strong>Background: </strong>Falls, and more specifically, fall-related injuries, are costly to the healthcare system and can harm one's autonomy.</p><p><strong>Objectives: </strong>To study the impact of sedentary behaviour associated with fall-related injuries and how a change in sedentary behaviour may impact the risk of a fall-related injury.</p><p><strong>Design: </strong>From baseline to the first follow-up, cross-sectional and longitudinal data analysis from the Canadian Longitudinal Study of Aging (CLSA) cohort.</p><p><strong>Participants: </strong>CLSA data from 43,558 Canadians aged 45-85 were included in this study.</p><p><strong>Measurements: </strong>At baseline and follow-up, sedentary behaviour time was categorized as low (<1,080 minutes/week), moderate (1,080-1,440), or high (>1,440). Sedentary behaviour was estimated via the Physical Activity Scale for the Elderly (PASE). At follow-up, participants were dichotomized as either increased or decreased/no change in sedentary behaviour according to their categorical change between time points.</p><p><strong>Results: </strong>Sedentary behaviour was associated with fall-related injuries independently of age, sex, number of chronic conditions, and total physical activity levels OR (95%CI) 1.10 (1.05-1.15). In contrast, a change in sedentary behaviour was not associated with the risk of fall-related injury 1.00 (0.92-1.01).</p><p><strong>Conclusion: </strong>A higher level of sedentary behaviour is associated with injurious falls for people between 40 and 80 years old. However, a short-term change in sedentary behaviour does not influence the risk of injury-related falls. Despite the results, a more precise measure of sedentary behaviour is needed for epidemiology studies to capture changes over time better.</p>","PeriodicalId":73537,"journal":{"name":"JAR life","volume":"13 ","pages":"93-98"},"PeriodicalIF":0.0000,"publicationDate":"2024-07-17","publicationTypes":"Journal Article","fieldsOfStudy":null,"isOpenAccess":false,"openAccessPdf":"https://www.ncbi.nlm.nih.gov/pmc/articles/PMC11258374/pdf/","citationCount":"0","resultStr":null,"platform":"Semanticscholar","paperid":null,"PeriodicalName":"JAR life","FirstCategoryId":"1085","ListUrlMain":"https://doi.org/10.14283/jarlife.2024.14","RegionNum":0,"RegionCategory":null,"ArticlePicture":[],"TitleCN":null,"AbstractTextCN":null,"PMCID":null,"EPubDate":"2024/1/1 0:00:00","PubModel":"eCollection","JCR":"","JCRName":"","Score":null,"Total":0}
引用次数: 0

Abstract

Background: Falls, and more specifically, fall-related injuries, are costly to the healthcare system and can harm one's autonomy.

Objectives: To study the impact of sedentary behaviour associated with fall-related injuries and how a change in sedentary behaviour may impact the risk of a fall-related injury.

Design: From baseline to the first follow-up, cross-sectional and longitudinal data analysis from the Canadian Longitudinal Study of Aging (CLSA) cohort.

Participants: CLSA data from 43,558 Canadians aged 45-85 were included in this study.

Measurements: At baseline and follow-up, sedentary behaviour time was categorized as low (<1,080 minutes/week), moderate (1,080-1,440), or high (>1,440). Sedentary behaviour was estimated via the Physical Activity Scale for the Elderly (PASE). At follow-up, participants were dichotomized as either increased or decreased/no change in sedentary behaviour according to their categorical change between time points.

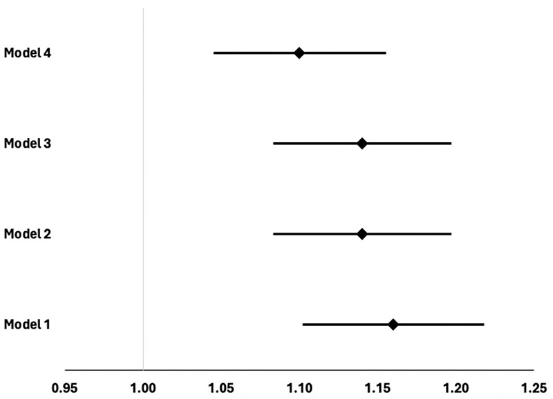
Results: Sedentary behaviour was associated with fall-related injuries independently of age, sex, number of chronic conditions, and total physical activity levels OR (95%CI) 1.10 (1.05-1.15). In contrast, a change in sedentary behaviour was not associated with the risk of fall-related injury 1.00 (0.92-1.01).

Conclusion: A higher level of sedentary behaviour is associated with injurious falls for people between 40 and 80 years old. However, a short-term change in sedentary behaviour does not influence the risk of injury-related falls. Despite the results, a more precise measure of sedentary behaviour is needed for epidemiology studies to capture changes over time better.

Abstract Image

Abstract Image

老年人的久坐行为与跌倒相关伤害:加拿大老龄化纵向研究(CLSA)的结果。
背景:跌倒,更具体地说,与跌倒有关的伤害,对医疗系统来说代价高昂,而且会损害个人的自主性:研究久坐行为对跌倒相关伤害的影响,以及改变久坐行为如何影响跌倒相关伤害的风险:从基线到首次随访,对加拿大老龄化纵向研究(CLSA)队列进行横断面和纵向数据分析:本研究纳入了 43,558 名 45-85 岁加拿大人的 CLSA 数据:在基线和随访中,久坐行为时间被归类为低(1,440)。久坐行为通过老年人体力活动量表(PASE)进行估算。随访时,根据时间点之间的分类变化,将参与者的久坐行为分为增加或减少/无变化:结果:久坐行为与跌倒相关伤害的关系与年龄、性别、慢性病数量和总体力活动水平无关,OR (95%CI) 为 1.10 (1.05-1.15)。相比之下,久坐行为的改变与跌倒相关伤害的风险无关:结论:对于 40 至 80 岁的人来说,久坐不动与跌倒受伤有关。然而,久坐行为的短期改变并不会影响跌倒受伤的风险。尽管结果如此,流行病学研究仍需要对久坐行为进行更精确的测量,以更好地捕捉随时间发生的变化。
本文章由计算机程序翻译,如有差异,请以英文原文为准。
求助全文
约1分钟内获得全文 求助全文
来源期刊
自引率
0.00%
发文量
0
×
引用
GB/T 7714-2015
复制
MLA
复制
APA
复制
导出至
BibTeX EndNote RefMan NoteFirst NoteExpress
×
提示
您的信息不完整,为了账户安全,请先补充。
现在去补充
×
提示
您因"违规操作"
具体请查看互助需知
我知道了
×
提示
确定
请完成安全验证×
copy
已复制链接
快去分享给好友吧!
我知道了
右上角分享
点击右上角分享
0
联系我们:info@booksci.cn Book学术提供免费学术资源搜索服务,方便国内外学者检索中英文文献。致力于提供最便捷和优质的服务体验。 Copyright © 2023 布克学术 All rights reserved.
京ICP备2023020795号-1
ghs 京公网安备 11010802042870号
Book学术文献互助
Book学术文献互助群
群 号:604180095
Book学术官方微信