Effects of Testicular Platelet-Rich Plasma (PRP) Injection on Sperm Parameters in Men with Severe Oligoasthenoteratozoospermia (OAT): A Clinical Evaluation.

IF 2.2 Q2 OBSTETRICS & GYNECOLOGY
Faezeh Fazli, Hossein Torkashvand, Ali Reza Soltanian, Ali Babalhavaeji, Hanieh Olomi, Shamim Pilehvari
{"title":"Effects of Testicular Platelet-Rich Plasma (PRP) Injection on Sperm Parameters in Men with Severe Oligoasthenoteratozoospermia (OAT): A Clinical Evaluation.","authors":"Faezeh Fazli, Hossein Torkashvand, Ali Reza Soltanian, Ali Babalhavaeji, Hanieh Olomi, Shamim Pilehvari","doi":"10.22074/ijfs.2024.2011066.1535","DOIUrl":null,"url":null,"abstract":"<p><strong>Background: </strong>Severe oligoasthenoteratozoospermia (OAT), characterized by a reduced sperm count, motility, and altered morphology, presents a significant challenge in the field of male infertility. Platelet-rich plasma (PRP), renowned for its regenerative capabilities, emerges as a potential intervention for this condition. This study aims to explore the impact of PRP on male infertility, focusing specifically on individuals with severe OAT.</p><p><strong>Materials and methods: </strong>The clinical trial study involved 88 infertile men diagnosed with OAT and devoid of underlying diseases. These participants were referred to the infertility center and subsequently divided into two cohorts: a control (44 individuals) and an intervention group (44 individuals). Patients in the intervention group received 2 cc of PRP in each testicle, prepared by centrifuging the patients autologous blood samples. Sperm parameters and DNA fragmentation index (DFI) of the patients were measured before and after the procedure. Statistical analysis used SPSS version 16 software, with a significance level set at less than 5%.</p><p><strong>Results: </strong>The statistical analysis revealed a significant difference in concentration (11.32 ± 8.44 vs. 16.06 ± 15.16, P=0.030), progressive motility (8.86 ± 7.79 vs. 11.97 ± 11.82%, P=0.014) and DNA fragmentation (25.62 ± 12.84 vs. 17.23 ± 9.15%, P<0.001) between the control and intervention groups after PRP injection. However, no significant difference was found in normal morphology (1.63 ± 1.44 vs. 1.81 ± 3.68%, P=0.628) and volume (2.13 ± 0.82 vs. 2.24 ± 1.43, P=0.663) between the control and intervention groups after PRP injection.</p><p><strong>Conclusion: </strong>This study demonstrates the effectiveness of PRP treatment in increasing sperm concentration and motility, while also reducing sperm DNA fragmentation. However, further studies are needed to validate these findings (registration number: IRCT20220317054318N2).</p>","PeriodicalId":14080,"journal":{"name":"International Journal of Fertility & Sterility","volume":"18 Suppl 1","pages":"71-76"},"PeriodicalIF":2.2000,"publicationDate":"2024-07-13","publicationTypes":"Journal Article","fieldsOfStudy":null,"isOpenAccess":false,"openAccessPdf":"https://www.ncbi.nlm.nih.gov/pmc/articles/PMC11263848/pdf/","citationCount":"0","resultStr":null,"platform":"Semanticscholar","paperid":null,"PeriodicalName":"International Journal of Fertility & Sterility","FirstCategoryId":"1085","ListUrlMain":"https://doi.org/10.22074/ijfs.2024.2011066.1535","RegionNum":0,"RegionCategory":null,"ArticlePicture":[],"TitleCN":null,"AbstractTextCN":null,"PMCID":null,"EPubDate":"","PubModel":"","JCR":"Q2","JCRName":"OBSTETRICS & GYNECOLOGY","Score":null,"Total":0}
引用次数: 0

Abstract

Background: Severe oligoasthenoteratozoospermia (OAT), characterized by a reduced sperm count, motility, and altered morphology, presents a significant challenge in the field of male infertility. Platelet-rich plasma (PRP), renowned for its regenerative capabilities, emerges as a potential intervention for this condition. This study aims to explore the impact of PRP on male infertility, focusing specifically on individuals with severe OAT.

Materials and methods: The clinical trial study involved 88 infertile men diagnosed with OAT and devoid of underlying diseases. These participants were referred to the infertility center and subsequently divided into two cohorts: a control (44 individuals) and an intervention group (44 individuals). Patients in the intervention group received 2 cc of PRP in each testicle, prepared by centrifuging the patients autologous blood samples. Sperm parameters and DNA fragmentation index (DFI) of the patients were measured before and after the procedure. Statistical analysis used SPSS version 16 software, with a significance level set at less than 5%.

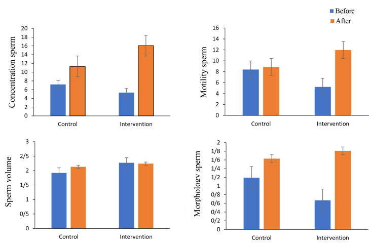
Results: The statistical analysis revealed a significant difference in concentration (11.32 ± 8.44 vs. 16.06 ± 15.16, P=0.030), progressive motility (8.86 ± 7.79 vs. 11.97 ± 11.82%, P=0.014) and DNA fragmentation (25.62 ± 12.84 vs. 17.23 ± 9.15%, P<0.001) between the control and intervention groups after PRP injection. However, no significant difference was found in normal morphology (1.63 ± 1.44 vs. 1.81 ± 3.68%, P=0.628) and volume (2.13 ± 0.82 vs. 2.24 ± 1.43, P=0.663) between the control and intervention groups after PRP injection.

Conclusion: This study demonstrates the effectiveness of PRP treatment in increasing sperm concentration and motility, while also reducing sperm DNA fragmentation. However, further studies are needed to validate these findings (registration number: IRCT20220317054318N2).

Abstract Image

Abstract Image

注射睾丸富血小板血浆(PRP)对严重少精子症(OAT)男性精子参数的影响:临床评估。
背景:严重的少精子症(OAT)以精子数量减少、活力降低和形态改变为特征,是男性不育症领域的一项重大挑战。富血小板血浆(PRP)因其再生能力而闻名,成为治疗这种疾病的潜在干预措施。本研究旨在探讨 PRP 对男性不育症的影响,特别关注严重 OAT 患者:这项临床试验研究涉及 88 名被诊断患有 OAT 且无潜在疾病的不育男性。这些参与者被转诊至不孕不育中心,随后被分为两组:对照组(44 人)和干预组(44 人)。干预组患者的每个睾丸都接受了 2 cc 的 PRP,PRP 是通过离心患者的自体血液样本制备的。手术前后测量了患者的精子参数和DNA碎片指数(DFI)。使用 SPSS 16 版软件进行统计分析,显著性水平设定为小于 5%:统计分析显示,在浓度(11.32±8.44 vs. 16.06±15.16,P=0.030)、进行性运动(8.86±7.79 vs. 11.97±11.82%,P=0.014)和 DNA 断裂(25.62±12.84 vs. 17.23±9.15%,PConclusion)方面存在显著差异:这项研究表明,PRP疗法能有效提高精子浓度和活力,同时还能减少精子DNA碎片。不过,还需要进一步的研究来验证这些发现(注册号:IRCT20220317054318N2)。
本文章由计算机程序翻译,如有差异,请以英文原文为准。
求助全文
约1分钟内获得全文 求助全文
来源期刊
CiteScore
4.20
自引率
0.00%
发文量
68
审稿时长
>12 weeks
期刊介绍: International Journal of Fertility & Sterility is a quarterly English publication of Royan Institute . The aim of the journal is to disseminate information through publishing the most recent scientific research studies on Fertility and Sterility and other related topics. Int J Fertil Steril has been certified by Ministry of Culture and Islamic Guidance in 2007 and was accredited as a scientific and research journal by HBI (Health and Biomedical Information) Journal Accreditation Commission in 2008. Int J Fertil Steril is an Open Access journal.
×
引用
GB/T 7714-2015
复制
MLA
复制
APA
复制
导出至
BibTeX EndNote RefMan NoteFirst NoteExpress
×
提示
您的信息不完整,为了账户安全,请先补充。
现在去补充
×
提示
您因"违规操作"
具体请查看互助需知
我知道了
×
提示
确定
请完成安全验证×
copy
已复制链接
快去分享给好友吧!
我知道了
右上角分享
点击右上角分享
0
联系我们:info@booksci.cn Book学术提供免费学术资源搜索服务,方便国内外学者检索中英文文献。致力于提供最便捷和优质的服务体验。 Copyright © 2023 布克学术 All rights reserved.
京ICP备2023020795号-1
ghs 京公网安备 11010802042870号
Book学术文献互助
Book学术文献互助群
群 号:604180095
Book学术官方微信