A second chance for first impressions: evidence for altered impression updating in borderline personality disorder.

IF 2.7 2区 医学 Q1 PSYCHIATRY
Kevin Konegen, Georg Halbeisen, Georgios Paslakis
{"title":"A second chance for first impressions: evidence for altered impression updating in borderline personality disorder.","authors":"Kevin Konegen, Georg Halbeisen, Georgios Paslakis","doi":"10.1186/s40479-024-00259-y","DOIUrl":null,"url":null,"abstract":"<p><strong>Background: </strong>Individuals with borderline personality disorder (BPD) frequently alter between idealizing and devaluing other persons, which has been linked to an increased tendency to update self-relevant beliefs and impressions. We hypothesized that increased impression updating could stem from reduced attitude contextualization, i.e., a process in which impression-disconfirming information is linked to contextual cues.</p><p><strong>Methods: </strong>Individuals diagnosed with BPD and controls (recruited online, with unknown diagnostic status) completed an impression formation paradigm. They first learned about the positive or negative behaviors of others in one Context A (e.g., Person 1 is helpful), followed by learning about behaviors of the opposite valence in a second Context B (Person 1 is rude). We also manipulated between participants whether the observed behaviors were directed toward the study participants (self-relevant) or, more generally, at other people (other-relevant). The contexts were marked by differently-colored backgrounds (e.g., yellow vs. blue), to avoid influences of prior knowledge or experiences. After exposure to information in both contexts, participants rated their impressions of the persons in Context A, Context B, and, crucially, a previously unknown Context C (white background). We examined whether the initial or an updated impression (re-)emerged in Context C.</p><p><strong>Results: </strong>Initial impressions remained stable and dominated the ratings of controls across contexts A, B, and C for both self-relevant and other-relevant behaviors, consistent with contextualizing impression-disconfirming information. As expected, however, individuals with BPD only showed updated impression ratings in Context C for self-relevant behaviors, consistent with the assumed reduced tendency to contextualize impression-disconfirming self-relevant information. Further exploratory analyses suggest that more severe BPD symptoms predicted more pronounced impression updating in the self-relevant condition.</p><p><strong>Conclusions: </strong>The findings help to illuminate the mechanisms underlying interpersonal problems in individuals with BPD. People with BPD are not just more inclined to discard positive first impressions but to re-evaluate disliked others when they behave positively, contributing to the volatility of interactions with others. Contextualization has known and modifiable antecedents, and the study may thus provide potential targets for therapeutic intervention. Future studies will need to replicate the findings with specified controls.</p>","PeriodicalId":48586,"journal":{"name":"Borderline Personality Disorder and Emotion Dysregulation","volume":"11 1","pages":"15"},"PeriodicalIF":2.7000,"publicationDate":"2024-07-18","publicationTypes":"Journal Article","fieldsOfStudy":null,"isOpenAccess":false,"openAccessPdf":"https://www.ncbi.nlm.nih.gov/pmc/articles/PMC11256375/pdf/","citationCount":"0","resultStr":null,"platform":"Semanticscholar","paperid":null,"PeriodicalName":"Borderline Personality Disorder and Emotion Dysregulation","FirstCategoryId":"3","ListUrlMain":"https://doi.org/10.1186/s40479-024-00259-y","RegionNum":2,"RegionCategory":"医学","ArticlePicture":[],"TitleCN":null,"AbstractTextCN":null,"PMCID":null,"EPubDate":"","PubModel":"","JCR":"Q1","JCRName":"PSYCHIATRY","Score":null,"Total":0}
引用次数: 0

Abstract

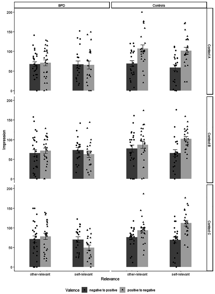
Background: Individuals with borderline personality disorder (BPD) frequently alter between idealizing and devaluing other persons, which has been linked to an increased tendency to update self-relevant beliefs and impressions. We hypothesized that increased impression updating could stem from reduced attitude contextualization, i.e., a process in which impression-disconfirming information is linked to contextual cues.

Methods: Individuals diagnosed with BPD and controls (recruited online, with unknown diagnostic status) completed an impression formation paradigm. They first learned about the positive or negative behaviors of others in one Context A (e.g., Person 1 is helpful), followed by learning about behaviors of the opposite valence in a second Context B (Person 1 is rude). We also manipulated between participants whether the observed behaviors were directed toward the study participants (self-relevant) or, more generally, at other people (other-relevant). The contexts were marked by differently-colored backgrounds (e.g., yellow vs. blue), to avoid influences of prior knowledge or experiences. After exposure to information in both contexts, participants rated their impressions of the persons in Context A, Context B, and, crucially, a previously unknown Context C (white background). We examined whether the initial or an updated impression (re-)emerged in Context C.

Results: Initial impressions remained stable and dominated the ratings of controls across contexts A, B, and C for both self-relevant and other-relevant behaviors, consistent with contextualizing impression-disconfirming information. As expected, however, individuals with BPD only showed updated impression ratings in Context C for self-relevant behaviors, consistent with the assumed reduced tendency to contextualize impression-disconfirming self-relevant information. Further exploratory analyses suggest that more severe BPD symptoms predicted more pronounced impression updating in the self-relevant condition.

Conclusions: The findings help to illuminate the mechanisms underlying interpersonal problems in individuals with BPD. People with BPD are not just more inclined to discard positive first impressions but to re-evaluate disliked others when they behave positively, contributing to the volatility of interactions with others. Contextualization has known and modifiable antecedents, and the study may thus provide potential targets for therapeutic intervention. Future studies will need to replicate the findings with specified controls.

Abstract Image

Abstract Image

Abstract Image

第一印象的第二次机会:边缘型人格障碍患者印象更新改变的证据。
背景:边缘型人格障碍(BPD)患者经常在理想化和贬低他人之间徘徊,这与更新自我相关信念和印象的倾向增加有关。我们假设,印象更新的增加可能源于态度情境化的减少,即印象不确定信息与情境线索相联系的过程:方法:被诊断为 BPD 的个体和对照组(在线招募,诊断状态未知)完成了一个印象形成范式。他们首先在一个情境 A 中了解他人的积极或消极行为(例如,人物 1 乐于助人),然后在第二个情境 B 中了解与之相反的行为(人物 1 粗鲁无礼)。我们还在参与者之间进行了操作,即观察到的行为是针对研究参与者的(自我相关),还是针对其他人的(他人相关)。为了避免先前知识或经验的影响,我们用不同颜色的背景(如黄色和蓝色)来标示情境。在接触了这两种情境中的信息后,被试分别对情境 A、情境 B 和之前未知的情境 C(白色背景)中的人的印象进行评分。我们考察了在情境 C 中是出现了最初印象还是更新印象:结果:在 A、B 和 C 情境中,最初印象保持稳定,并在自我相关行为和他人相关行为的对照组评分中占主导地位,这与将印象不确定信息情境化是一致的。然而,不出所料,BPD 患者只在情境 C 中对自我相关行为表现出更新的印象评分,这与假定的将印象不确定的自我相关信息情境化的倾向降低是一致的。进一步的探索性分析表明,更严重的 BPD 症状预示着自我相关条件下的印象更新更明显:这些发现有助于阐明 BPD 患者人际关系问题的内在机制。BPD患者不仅更倾向于抛弃积极的第一印象,而且当他人表现积极时,他们也会重新评估不喜欢的人,从而导致与他人互动的不稳定性。情境化具有已知的、可改变的前因,因此这项研究可能会为治疗干预提供潜在的目标。未来的研究需要在特定的对照组中重复这些发现。
本文章由计算机程序翻译,如有差异,请以英文原文为准。
求助全文
约1分钟内获得全文 求助全文
来源期刊
CiteScore
6.00
自引率
9.80%
发文量
30
审稿时长
28 weeks
期刊介绍: Borderline Personality Disorder and Emotion Dysregulation provides a platform for researchers and clinicians interested in borderline personality disorder (BPD) as a currently highly challenging psychiatric disorder. Emotion dysregulation is at the core of BPD but also stands on its own as a major pathological component of the underlying neurobiology of various other psychiatric disorders. The journal focuses on the psychological, social and neurobiological aspects of emotion dysregulation as well as epidemiology, phenomenology, pathophysiology, treatment, neurobiology, genetics, and animal models of BPD.
×
引用
GB/T 7714-2015
复制
MLA
复制
APA
复制
导出至
BibTeX EndNote RefMan NoteFirst NoteExpress
×
提示
您的信息不完整,为了账户安全,请先补充。
现在去补充
×
提示
您因"违规操作"
具体请查看互助需知
我知道了
×
提示
确定
请完成安全验证×
copy
已复制链接
快去分享给好友吧!
我知道了
右上角分享
点击右上角分享
0
联系我们:info@booksci.cn Book学术提供免费学术资源搜索服务,方便国内外学者检索中英文文献。致力于提供最便捷和优质的服务体验。 Copyright © 2023 布克学术 All rights reserved.
京ICP备2023020795号-1
ghs 京公网安备 11010802042870号
Book学术文献互助
Book学术文献互助群
群 号:604180095
Book学术官方微信