Effects of antenatal corticosteroids on fetal hemodynamics: a longitudinal study.

Q3 Medicine
Radiologia Brasileira Pub Date : 2024-05-07 eCollection Date: 2024-01-01 DOI:10.1590/0100-3984.2023.0129
Maria Claudia Bayão Carelli, Fernando Maia Peixoto-Filho, Luis Guillermo Coca Velarde, Renato Augusto Moreira de Sá, Viviane Monteiro, Edward Araujo Júnior
{"title":"Effects of antenatal corticosteroids on fetal hemodynamics: a longitudinal study.","authors":"Maria Claudia Bayão Carelli, Fernando Maia Peixoto-Filho, Luis Guillermo Coca Velarde, Renato Augusto Moreira de Sá, Viviane Monteiro, Edward Araujo Júnior","doi":"10.1590/0100-3984.2023.0129","DOIUrl":null,"url":null,"abstract":"<p><strong>Objective: </strong>To study the effect of antenatal corticosteroid administration on fetal hemodynamics using longitudinal analysis of Doppler waveforms in the umbilical artery (UA) and middle cerebral artery (MCA).</p><p><strong>Materials and methods: </strong>This was a retrospective study that included 30 fetuses at risk for preterm birth. Twenty-eight pregnant women were treated with betamethasone for fetal lung maturation. Doppler examinations of the UA and MCA were performed once before and three or eight times after corticosteroid administration. We used a Bayesian hierarchical linear model. Reference ranges were constructed, and associations between variables (gestational age and pre-eclampsia) were tested.</p><p><strong>Results: </strong>The mean maternal age, gestational age at betamethasone administration, and gestational age at delivery were 32.6 ± 5.89 years, 30.2 ± 2.59 weeks, and 32.9 ± 3.42 weeks, respectively. On UA Doppler, there was a significant decrease in the pulsatility index (PI) after corticosteroid administration, with a mean of 0.1147 (credibility interval: 0.03687-0.191) in three observations and a median of 0.1437 (credibility interval: 0.02509-0.2627) in eight observations. However, there was no significant change in the Doppler MCA PI, regardless of gestational age and the presence or absence of pre-eclampsia.</p><p><strong>Conclusion: </strong>Although antenatal corticosteroid administration induced a significant decrease in the Doppler UA PI, we observed no change in the cerebral vasculature.</p>","PeriodicalId":20842,"journal":{"name":"Radiologia Brasileira","volume":"57 ","pages":"e20230129"},"PeriodicalIF":0.0000,"publicationDate":"2024-05-07","publicationTypes":"Journal Article","fieldsOfStudy":null,"isOpenAccess":false,"openAccessPdf":"https://www.ncbi.nlm.nih.gov/pmc/articles/PMC11235072/pdf/","citationCount":"0","resultStr":null,"platform":"Semanticscholar","paperid":null,"PeriodicalName":"Radiologia Brasileira","FirstCategoryId":"1085","ListUrlMain":"https://doi.org/10.1590/0100-3984.2023.0129","RegionNum":0,"RegionCategory":null,"ArticlePicture":[],"TitleCN":null,"AbstractTextCN":null,"PMCID":null,"EPubDate":"2024/1/1 0:00:00","PubModel":"eCollection","JCR":"Q3","JCRName":"Medicine","Score":null,"Total":0}
引用次数: 0

Abstract

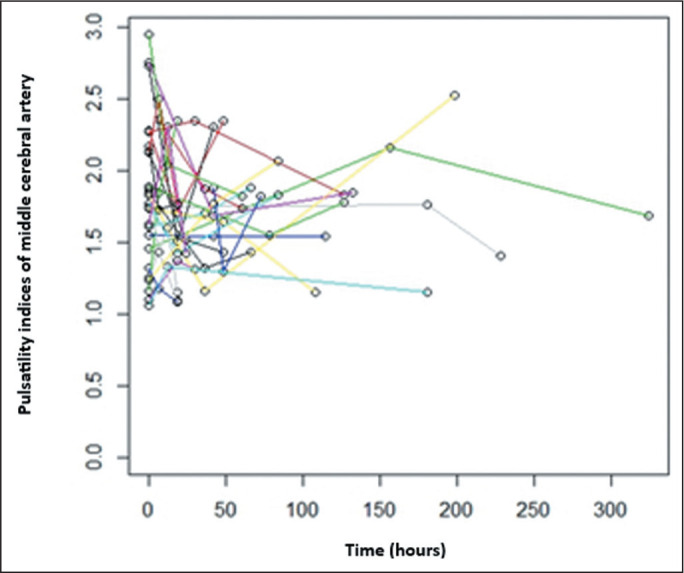
Objective: To study the effect of antenatal corticosteroid administration on fetal hemodynamics using longitudinal analysis of Doppler waveforms in the umbilical artery (UA) and middle cerebral artery (MCA).

Materials and methods: This was a retrospective study that included 30 fetuses at risk for preterm birth. Twenty-eight pregnant women were treated with betamethasone for fetal lung maturation. Doppler examinations of the UA and MCA were performed once before and three or eight times after corticosteroid administration. We used a Bayesian hierarchical linear model. Reference ranges were constructed, and associations between variables (gestational age and pre-eclampsia) were tested.

Results: The mean maternal age, gestational age at betamethasone administration, and gestational age at delivery were 32.6 ± 5.89 years, 30.2 ± 2.59 weeks, and 32.9 ± 3.42 weeks, respectively. On UA Doppler, there was a significant decrease in the pulsatility index (PI) after corticosteroid administration, with a mean of 0.1147 (credibility interval: 0.03687-0.191) in three observations and a median of 0.1437 (credibility interval: 0.02509-0.2627) in eight observations. However, there was no significant change in the Doppler MCA PI, regardless of gestational age and the presence or absence of pre-eclampsia.

Conclusion: Although antenatal corticosteroid administration induced a significant decrease in the Doppler UA PI, we observed no change in the cerebral vasculature.

Abstract Image

Abstract Image

Abstract Image

产前皮质类固醇对胎儿血液动力学的影响:一项纵向研究。
目的通过纵向分析脐动脉(UA)和大脑中动脉(MCA)的多普勒波形,研究产前服用皮质类固醇对胎儿血液动力学的影响:这是一项回顾性研究,其中包括 30 名有早产风险的胎儿。28名孕妇接受了倍他米松治疗以促进胎儿肺成熟。在使用皮质类固醇之前、之后分别进行了一次、三次或八次 UA 和 MCA 多普勒检查。我们采用了贝叶斯分层线性模型。我们构建了参考范围,并检验了变量(孕龄和子痫前期)之间的关联:产妇平均年龄、使用倍他米松时的胎龄和分娩时的胎龄分别为(32.6 ± 5.89)岁、(30.2 ± 2.59)周和(32.9 ± 3.42)周。使用皮质类固醇后,UA 多普勒的搏动指数(PI)显著下降,3 次观察的平均值为 0.1147(可信区间:0.03687-0.191),8 次观察的中位数为 0.1437(可信区间:0.02509-0.2627)。然而,无论胎龄和是否存在先兆子痫,多普勒 MCA PI 均无明显变化:结论:虽然产前服用皮质类固醇会导致多普勒 UA PI 显著下降,但我们观察到脑血管并无变化。
本文章由计算机程序翻译,如有差异,请以英文原文为准。
求助全文
约1分钟内获得全文 求助全文
来源期刊
Radiologia Brasileira
Radiologia Brasileira Medicine-Radiology, Nuclear Medicine and Imaging
CiteScore
2.60
自引率
0.00%
发文量
75
审稿时长
28 weeks
×
引用
GB/T 7714-2015
复制
MLA
复制
APA
复制
导出至
BibTeX EndNote RefMan NoteFirst NoteExpress
×
提示
您的信息不完整,为了账户安全,请先补充。
现在去补充
×
提示
您因"违规操作"
具体请查看互助需知
我知道了
×
提示
确定
请完成安全验证×
copy
已复制链接
快去分享给好友吧!
我知道了
右上角分享
点击右上角分享
0
联系我们:info@booksci.cn Book学术提供免费学术资源搜索服务,方便国内外学者检索中英文文献。致力于提供最便捷和优质的服务体验。 Copyright © 2023 布克学术 All rights reserved.
京ICP备2023020795号-1
ghs 京公网安备 11010802042870号
Book学术文献互助
Book学术文献互助群
群 号:604180095
Book学术官方微信