Incidence and Predictors of Diabetic Nephropathy among Type 2 Diabetes Mellitus Patients, Southern Ethiopia.

IF 2.4 Q3 NUTRITION & DIETETICS
Journal of Nutrition and Metabolism Pub Date : 2024-07-04 eCollection Date: 2024-01-01 DOI:10.1155/2024/6976870
Fasika Merid, Firdawek Getahun, Habtamu Esubalew, Tamirat Gezahegn
{"title":"Incidence and Predictors of Diabetic Nephropathy among Type 2 Diabetes Mellitus Patients, Southern Ethiopia.","authors":"Fasika Merid, Firdawek Getahun, Habtamu Esubalew, Tamirat Gezahegn","doi":"10.1155/2024/6976870","DOIUrl":null,"url":null,"abstract":"<p><strong>Background: </strong>Diabetic nephropathy is the most common cause of end-stage renal disease, and it brings high morbidity and mortality. Globally, the predominant rise in type II diabetes prevalence significantly increases the incidence of diabetic nephropathy. Therefore, timely diagnosis and prompt management of diabetic nephropathy and early identification of predictors are essential. Thus, this study aimed to determine the incidence and predictors of diabetic nephropathy among type II diabetes mellitus patients.</p><p><strong>Methods: </strong>A retrospective follow-up study was conducted among 532 type II diabetes patients who enrolled at Hawassa University Comprehensive Specialized Hospital from January 1, 2012, to December 31, 2021. A simple random sampling technique was used to select the study participants. The extracted data were entered into EpiData version 3.1 and analyzed by Stata version 14. A bivariate and multivariable Cox proportional hazard regression analysis was fitted to identify predictors of diabetic nephropathy. The Cox proportional hazards assumption was checked using the Schoenfeld residual test, and the goodness of fit of the model was checked using the Cox-Snell residual test. An adjusted hazard ratio with a 95% confidence interval and <i>P</i> values were used to identify statistically significant predictors.</p><p><strong>Results: </strong>The overall incidence rate of diabetic nephropathy was 2.71 cases (95% CI: 2.12, 3.47) per 1,000 person-months of observation. Age (AHR = 1.027; 95% CI = 1.005, 1.049), fasting blood sugar (AHR = 1.010; 95% CI = 1.007, 1.013), and systolic blood pressure (AHR = 1.050; 95% CI = 1.031,1.069) were significant positive predictors of diabetic nephropathy, whereas the duration of diabetes longer than five years (AHR = 0.20; 95% CI = 0.09, 0.44) was a protective predictor for the development of diabetic nephropathy.</p><p><strong>Conclusion: </strong>The incidence rate of diabetic nephropathy was high. Age, fasting blood sugar, systolic blood pressure, and duration of diabetes were found to be independent predictors of diabetic nephropathy. To overcome this public health problem, prompt and effective strategies should be designed based on identified predictors to prevent the development of diabetic nephropathy.</p>","PeriodicalId":16587,"journal":{"name":"Journal of Nutrition and Metabolism","volume":"2024 ","pages":"6976870"},"PeriodicalIF":2.4000,"publicationDate":"2024-07-04","publicationTypes":"Journal Article","fieldsOfStudy":null,"isOpenAccess":false,"openAccessPdf":"https://www.ncbi.nlm.nih.gov/pmc/articles/PMC11239231/pdf/","citationCount":"0","resultStr":null,"platform":"Semanticscholar","paperid":null,"PeriodicalName":"Journal of Nutrition and Metabolism","FirstCategoryId":"1085","ListUrlMain":"https://doi.org/10.1155/2024/6976870","RegionNum":0,"RegionCategory":null,"ArticlePicture":[],"TitleCN":null,"AbstractTextCN":null,"PMCID":null,"EPubDate":"2024/1/1 0:00:00","PubModel":"eCollection","JCR":"Q3","JCRName":"NUTRITION & DIETETICS","Score":null,"Total":0}
引用次数: 0

Abstract

Background: Diabetic nephropathy is the most common cause of end-stage renal disease, and it brings high morbidity and mortality. Globally, the predominant rise in type II diabetes prevalence significantly increases the incidence of diabetic nephropathy. Therefore, timely diagnosis and prompt management of diabetic nephropathy and early identification of predictors are essential. Thus, this study aimed to determine the incidence and predictors of diabetic nephropathy among type II diabetes mellitus patients.

Methods: A retrospective follow-up study was conducted among 532 type II diabetes patients who enrolled at Hawassa University Comprehensive Specialized Hospital from January 1, 2012, to December 31, 2021. A simple random sampling technique was used to select the study participants. The extracted data were entered into EpiData version 3.1 and analyzed by Stata version 14. A bivariate and multivariable Cox proportional hazard regression analysis was fitted to identify predictors of diabetic nephropathy. The Cox proportional hazards assumption was checked using the Schoenfeld residual test, and the goodness of fit of the model was checked using the Cox-Snell residual test. An adjusted hazard ratio with a 95% confidence interval and P values were used to identify statistically significant predictors.

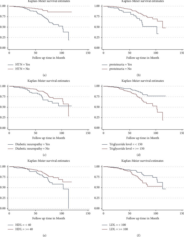
Results: The overall incidence rate of diabetic nephropathy was 2.71 cases (95% CI: 2.12, 3.47) per 1,000 person-months of observation. Age (AHR = 1.027; 95% CI = 1.005, 1.049), fasting blood sugar (AHR = 1.010; 95% CI = 1.007, 1.013), and systolic blood pressure (AHR = 1.050; 95% CI = 1.031,1.069) were significant positive predictors of diabetic nephropathy, whereas the duration of diabetes longer than five years (AHR = 0.20; 95% CI = 0.09, 0.44) was a protective predictor for the development of diabetic nephropathy.

Conclusion: The incidence rate of diabetic nephropathy was high. Age, fasting blood sugar, systolic blood pressure, and duration of diabetes were found to be independent predictors of diabetic nephropathy. To overcome this public health problem, prompt and effective strategies should be designed based on identified predictors to prevent the development of diabetic nephropathy.

Abstract Image

Abstract Image

Abstract Image

埃塞俄比亚南部 2 型糖尿病患者糖尿病肾病的发病率和预测因素。
背景:糖尿病肾病是终末期肾病最常见的病因,发病率和死亡率都很高。在全球范围内,II 型糖尿病发病率的大幅上升大大增加了糖尿病肾病的发病率。因此,对糖尿病肾病的及时诊断和及时治疗以及早期识别预测因素至关重要。因此,本研究旨在确定 II 型糖尿病患者糖尿病肾病的发病率和预测因素:方法:对哈瓦萨大学综合专科医院 2012 年 1 月 1 日至 2021 年 12 月 31 日期间入院的 532 名 II 型糖尿病患者进行了回顾性随访研究。研究采用简单随机抽样技术选取参与者。提取的数据输入 EpiData 3.1 版,并用 Stata 14 版进行分析。通过双变量和多变量 Cox 比例危险回归分析来确定糖尿病肾病的预测因素。使用 Schoenfeld 残差检验检查了 Cox 比例危险假设,并使用 Cox-Snell 残差检验检查了模型的拟合优度。结果显示,糖尿病性肾病的总发病率和死亡率均高于对照组:糖尿病肾病的总发病率为每千人月 2.71 例(95% CI:2.12, 3.47)。年龄(AHR = 1.027; 95% CI = 1.005, 1.049)、空腹血糖(AHR = 1.010; 95% CI = 1.007, 1.013)和收缩压(AHR = 1.050; 95% CI = 1.031,1.069)是糖尿病肾病的重要阳性预测因子,而糖尿病病程超过5年(AHR = 0.20; 95% CI = 0.09, 0.44)是糖尿病肾病发生的保护性预测因子:结论:糖尿病肾病的发病率很高。结论:糖尿病肾病的发病率很高,年龄、空腹血糖、收缩压和糖尿病病程是糖尿病肾病的独立预测因素。为解决这一公共卫生问题,应根据已确定的预测因素制定及时有效的策略,以预防糖尿病肾病的发生。
本文章由计算机程序翻译,如有差异,请以英文原文为准。
求助全文
约1分钟内获得全文 求助全文
来源期刊
Journal of Nutrition and Metabolism
Journal of Nutrition and Metabolism NUTRITION & DIETETICS-
CiteScore
5.40
自引率
0.00%
发文量
49
审稿时长
17 weeks
期刊介绍: Journal of Nutrition and Metabolism is a peer-reviewed, Open Access journal that publishes original research articles, review articles, and clinical studies covering the broad and multidisciplinary field of human nutrition and metabolism. The journal welcomes submissions on studies related to obesity, diabetes, metabolic syndrome, molecular and cellular biology of nutrients, foods and dietary supplements, as well as macro- and micronutrients including vitamins and minerals.
×
引用
GB/T 7714-2015
复制
MLA
复制
APA
复制
导出至
BibTeX EndNote RefMan NoteFirst NoteExpress
×
提示
您的信息不完整,为了账户安全,请先补充。
现在去补充
×
提示
您因"违规操作"
具体请查看互助需知
我知道了
×
提示
确定
请完成安全验证×
copy
已复制链接
快去分享给好友吧!
我知道了
右上角分享
点击右上角分享
0
联系我们:info@booksci.cn Book学术提供免费学术资源搜索服务,方便国内外学者检索中英文文献。致力于提供最便捷和优质的服务体验。 Copyright © 2023 布克学术 All rights reserved.
京ICP备2023020795号-1
ghs 京公网安备 11010802042870号
Book学术文献互助
Book学术文献互助群
群 号:604180095
Book学术官方微信