The Role of Hysteroscopy in the Assessment of Fallopian Tubal Patency: A Comprehensive Review and Meta-analysis.

IF 1.9 4区 医学 Q2 OBSTETRICS & GYNECOLOGY
Geburtshilfe Und Frauenheilkunde Pub Date : 2024-07-09 eCollection Date: 2024-07-01 DOI:10.1055/a-2304-5018
Marlene Hager, Johannes Ott
{"title":"The Role of Hysteroscopy in the Assessment of Fallopian Tubal Patency: A Comprehensive Review and Meta-analysis.","authors":"Marlene Hager, Johannes Ott","doi":"10.1055/a-2304-5018","DOIUrl":null,"url":null,"abstract":"<p><p>Hysteroscopy has been recognized as a reliable method for the evaluation of female infertility for several years. The outpatient setting is particularly convenient, as patients do not require general anesthesia and do not have to stay overnight. In recent years, more and more articles have dealt with the role of diagnostic hysteroscopy in tubal evaluation. Twenty-four articles were included in this comprehensive review and 14 of them were also included in a meta-analysis. This review provides an overview of the different techniques of hysteroscopic tubal evaluation, with a focus on perioperative changes in cul-de-sac volume, the air bubble technique (\"Parryscope\" technique), the Flow technique and selective hysteroscopic pertubation with methylene blue dye (SHPMBD). In pooled analyses, SHPMBD achieved the highest sensitivity for tubal patency (91.7%, 95% confidence interval, CI: 88.8-94.0), whereas the air bubble technique revealed the highest specificity of all methods (98.4, 95% CI: 95.3-99.6). Furthermore, in a meta-analysis of all methods on the assessment of single tubes, an overall sensitivity of 87.1% and an overall specificity of 79.8% (95% CI: 76.4-82.9) could be shown. In conclusion, the techniques of hysteroscopic tubal evaluation are well-tolerated, clinically relevant, and reliable.</p>","PeriodicalId":12481,"journal":{"name":"Geburtshilfe Und Frauenheilkunde","volume":"84 7","pages":"619-628"},"PeriodicalIF":1.9000,"publicationDate":"2024-07-09","publicationTypes":"Journal Article","fieldsOfStudy":null,"isOpenAccess":false,"openAccessPdf":"https://www.ncbi.nlm.nih.gov/pmc/articles/PMC11233202/pdf/","citationCount":"0","resultStr":null,"platform":"Semanticscholar","paperid":null,"PeriodicalName":"Geburtshilfe Und Frauenheilkunde","FirstCategoryId":"3","ListUrlMain":"https://doi.org/10.1055/a-2304-5018","RegionNum":4,"RegionCategory":"医学","ArticlePicture":[],"TitleCN":null,"AbstractTextCN":null,"PMCID":null,"EPubDate":"2024/7/1 0:00:00","PubModel":"eCollection","JCR":"Q2","JCRName":"OBSTETRICS & GYNECOLOGY","Score":null,"Total":0}
引用次数: 0

Abstract

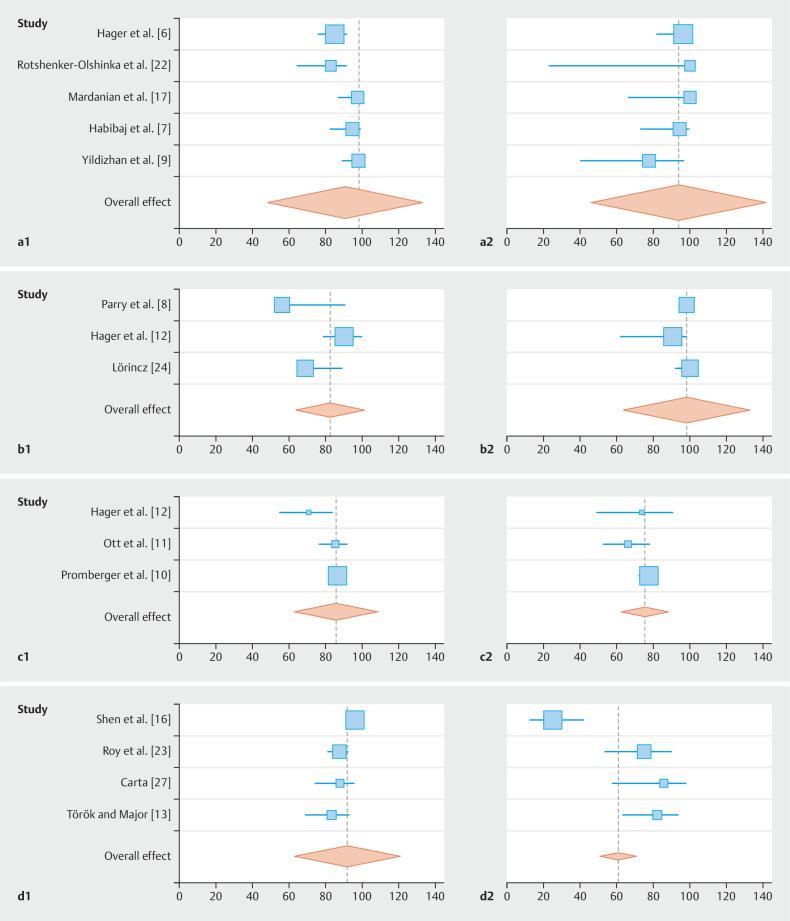
Hysteroscopy has been recognized as a reliable method for the evaluation of female infertility for several years. The outpatient setting is particularly convenient, as patients do not require general anesthesia and do not have to stay overnight. In recent years, more and more articles have dealt with the role of diagnostic hysteroscopy in tubal evaluation. Twenty-four articles were included in this comprehensive review and 14 of them were also included in a meta-analysis. This review provides an overview of the different techniques of hysteroscopic tubal evaluation, with a focus on perioperative changes in cul-de-sac volume, the air bubble technique ("Parryscope" technique), the Flow technique and selective hysteroscopic pertubation with methylene blue dye (SHPMBD). In pooled analyses, SHPMBD achieved the highest sensitivity for tubal patency (91.7%, 95% confidence interval, CI: 88.8-94.0), whereas the air bubble technique revealed the highest specificity of all methods (98.4, 95% CI: 95.3-99.6). Furthermore, in a meta-analysis of all methods on the assessment of single tubes, an overall sensitivity of 87.1% and an overall specificity of 79.8% (95% CI: 76.4-82.9) could be shown. In conclusion, the techniques of hysteroscopic tubal evaluation are well-tolerated, clinically relevant, and reliable.

Abstract Image

Abstract Image

Abstract Image

宫腔镜在输卵管通畅性评估中的作用:全面回顾与元分析》。
多年来,宫腔镜检查一直被认为是评估女性不孕症的可靠方法。门诊环境特别方便,因为患者不需要全身麻醉,也不必过夜。近年来,越来越多的文章探讨了诊断性宫腔镜在输卵管评估中的作用。本综述共收录了24篇文章,其中14篇还被纳入了荟萃分析。这篇综述概述了宫腔镜下输卵管评估的不同技术,重点关注内腔容积的围手术期变化、气泡技术("Parryscope "技术)、流式技术和亚甲蓝染料选择性宫腔镜穿刺术(SHPMBD)。在汇总分析中,SHPMBD 对输卵管通畅的敏感性最高(91.7%,95% 置信区间:88.8-94.0),而气泡技术的特异性在所有方法中最高(98.4,95% 置信区间:95.3-99.6)。此外,在对所有评估单侧输卵管的方法进行的荟萃分析中,结果显示总体敏感性为 87.1%,总体特异性为 79.8%(95% CI:76.4-82.9)。总之,宫腔镜输卵管评估技术具有良好的耐受性、临床相关性和可靠性。
本文章由计算机程序翻译,如有差异,请以英文原文为准。
求助全文
约1分钟内获得全文 求助全文
来源期刊
Geburtshilfe Und Frauenheilkunde
Geburtshilfe Und Frauenheilkunde 医学-妇产科学
CiteScore
2.50
自引率
22.20%
发文量
828
审稿时长
6-12 weeks
期刊介绍: Geburtshilfe und Frauenheilkunde (GebFra) addresses the whole field of obstetrics and gynecology and is concerned with research as much as with clinical practice. In its scientific section, it publishes original articles, reviews and case reports in all fields of the discipline, namely gynecological oncology, including oncology of the breast obstetrics and perinatal medicine, reproductive medicine, and urogynecology. GebFra invites the submission of original articles and review articles. In addition, the journal publishes guidelines, statements and recommendations in cooperation with the DGGG, SGGG, OEGGG and the Arbeitsgemeinschaft der Wissenschaftlichen Medizinischen Fachgesellschaften (AWMF, Association of Scientific Medical Societies, www.awmf.org). Apart from the scientific section, Geburtshilfe und Frauenheilkunde has a news and views section that also includes discussions, book reviews and professional information. Letters to the editors are welcome. If a letter discusses an article that has been published in our journal, the corresponding author of the article will be informed and invited to comment on the letter. The comment will be published along with the letter.
×
引用
GB/T 7714-2015
复制
MLA
复制
APA
复制
导出至
BibTeX EndNote RefMan NoteFirst NoteExpress
×
提示
您的信息不完整,为了账户安全,请先补充。
现在去补充
×
提示
您因"违规操作"
具体请查看互助需知
我知道了
×
提示
确定
请完成安全验证×
copy
已复制链接
快去分享给好友吧!
我知道了
右上角分享
点击右上角分享
0
联系我们:info@booksci.cn Book学术提供免费学术资源搜索服务,方便国内外学者检索中英文文献。致力于提供最便捷和优质的服务体验。 Copyright © 2023 布克学术 All rights reserved.
京ICP备2023020795号-1
ghs 京公网安备 11010802042870号
Book学术文献互助
Book学术文献互助群
群 号:604180095
Book学术官方微信