The Influence of Urbanization on the Patterns of Hepatocellular Carcinoma Mortality From 1999 to 2020.

IF 1.7 Q4 GASTROENTEROLOGY & HEPATOLOGY
Gastroenterology Research Pub Date : 2024-06-01 Epub Date: 2024-06-29 DOI:10.14740/gr1743
Alexander Kusnik, Mostafa Najim, Keerthi Mannumbeth Renjith, Charmee Vyas, Sarath Lal Mannumbeth Renjithlal, Richard Alweis
{"title":"The Influence of Urbanization on the Patterns of Hepatocellular Carcinoma Mortality From 1999 to 2020.","authors":"Alexander Kusnik, Mostafa Najim, Keerthi Mannumbeth Renjith, Charmee Vyas, Sarath Lal Mannumbeth Renjithlal, Richard Alweis","doi":"10.14740/gr1743","DOIUrl":null,"url":null,"abstract":"<p><strong>Background: </strong>Hepatocellular carcinoma (HCC) remains one of the leading causes of cancer-related fatalities despite early diagnosis and treatment progress, creating a significant public health issue in the United States. This investigation utilized death certificate data from the Centers for Disease Control and Prevention Wide-ranging Online Data for Epidemiologic Research (CDC WONDER) database to investigate HCC mortality patterns and death locations from 1999 to 2020. The objective was to analyze trends in HCC mortality across different population groups, considering the impact of urbanicity.</p><p><strong>Methods: </strong>In this study, death certificate data obtained from the CDC WONDER database were utilized to investigate the trends in HCC mortality and location of death between 1999 and 2020. The annual percent change (APC) method was applied to estimate the average annual rate of change during the specified timeframe for the relevant health outcome. Furthermore, including data on the location of death and geographic areas allowed us to gain deeper insights into the patterns and characteristics of HCC and its impact on different regions.</p><p><strong>Results: </strong>Between 1999 and 2020, there were 184,073 reported deaths attributed to HCC, and data on the location of death were available for all cases. Most deaths occurred during inpatient admissions (34.93%) or at home (41.19%). The study also found that the highest age-adjusted mortality rate (AAMR) for HCC was observed among male patients, particularly among those identified as Asian or Pacific Islander. Variations in AAMR were determined based on the level of urbanization or rurality of the area, with higher rates observed in more densely populated and urbanized regions. In contrast, less urbanized and populated areas experienced a profound increase in AAMR over the past two decades.</p><p><strong>Conclusion: </strong>The HCC-related AAMRs have worsened over time for most ethnic groups, except for Asian or Pacific Islanders, which showed a reduction in APC despite having the worst AAMR. Although rural and less densely populated areas have substantially increased AAMR over the past two decades, more urbanized areas continued to have higher AAMR rates.</p>","PeriodicalId":12461,"journal":{"name":"Gastroenterology Research","volume":"17 3","pages":"116-125"},"PeriodicalIF":1.7000,"publicationDate":"2024-06-01","publicationTypes":"Journal Article","fieldsOfStudy":null,"isOpenAccess":false,"openAccessPdf":"https://www.ncbi.nlm.nih.gov/pmc/articles/PMC11236338/pdf/","citationCount":"0","resultStr":null,"platform":"Semanticscholar","paperid":null,"PeriodicalName":"Gastroenterology Research","FirstCategoryId":"1085","ListUrlMain":"https://doi.org/10.14740/gr1743","RegionNum":0,"RegionCategory":null,"ArticlePicture":[],"TitleCN":null,"AbstractTextCN":null,"PMCID":null,"EPubDate":"2024/6/29 0:00:00","PubModel":"Epub","JCR":"Q4","JCRName":"GASTROENTEROLOGY & HEPATOLOGY","Score":null,"Total":0}
引用次数: 0

Abstract

Background: Hepatocellular carcinoma (HCC) remains one of the leading causes of cancer-related fatalities despite early diagnosis and treatment progress, creating a significant public health issue in the United States. This investigation utilized death certificate data from the Centers for Disease Control and Prevention Wide-ranging Online Data for Epidemiologic Research (CDC WONDER) database to investigate HCC mortality patterns and death locations from 1999 to 2020. The objective was to analyze trends in HCC mortality across different population groups, considering the impact of urbanicity.

Methods: In this study, death certificate data obtained from the CDC WONDER database were utilized to investigate the trends in HCC mortality and location of death between 1999 and 2020. The annual percent change (APC) method was applied to estimate the average annual rate of change during the specified timeframe for the relevant health outcome. Furthermore, including data on the location of death and geographic areas allowed us to gain deeper insights into the patterns and characteristics of HCC and its impact on different regions.

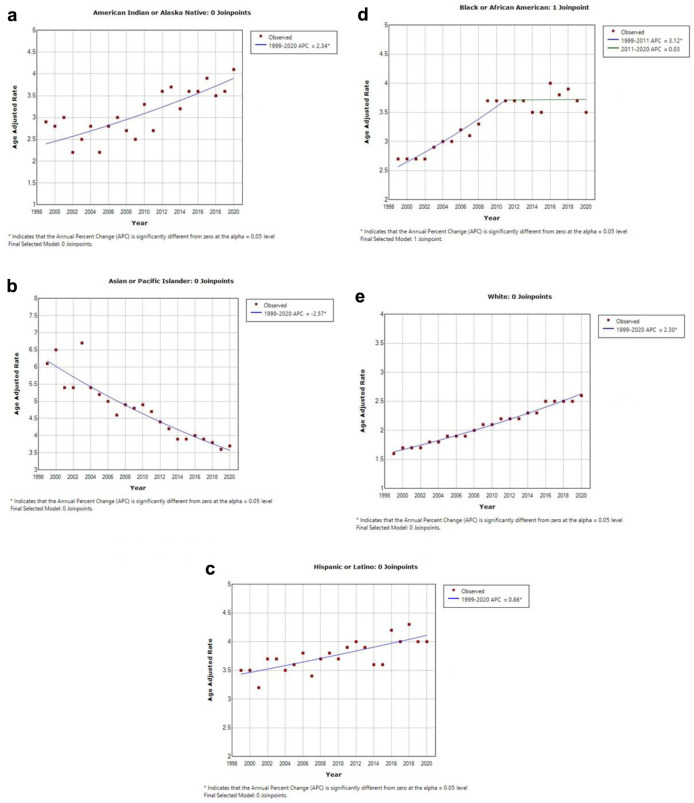
Results: Between 1999 and 2020, there were 184,073 reported deaths attributed to HCC, and data on the location of death were available for all cases. Most deaths occurred during inpatient admissions (34.93%) or at home (41.19%). The study also found that the highest age-adjusted mortality rate (AAMR) for HCC was observed among male patients, particularly among those identified as Asian or Pacific Islander. Variations in AAMR were determined based on the level of urbanization or rurality of the area, with higher rates observed in more densely populated and urbanized regions. In contrast, less urbanized and populated areas experienced a profound increase in AAMR over the past two decades.

Conclusion: The HCC-related AAMRs have worsened over time for most ethnic groups, except for Asian or Pacific Islanders, which showed a reduction in APC despite having the worst AAMR. Although rural and less densely populated areas have substantially increased AAMR over the past two decades, more urbanized areas continued to have higher AAMR rates.

Abstract Image

Abstract Image

Abstract Image

城市化对 1999 年至 2020 年肝细胞癌死亡率模式的影响。
背景:尽管早期诊断和治疗取得了进展,但肝细胞癌(HCC)仍然是导致癌症相关死亡的主要原因之一,在美国造成了重大的公共卫生问题。这项调查利用美国疾病控制和预防中心流行病学研究广泛在线数据(CDC WONDER)数据库中的死亡证明数据,调查了 1999 年至 2020 年期间 HCC 的死亡模式和死亡地点。目的是分析不同人群的 HCC 死亡率趋势,同时考虑城市化的影响:本研究利用疾控中心 WONDER 数据库中的死亡证明数据,调查了 1999 年至 2020 年间 HCC 死亡率和死亡地点的趋势。采用年度百分比变化(APC)法来估算相关健康结果在特定时间段内的年均变化率。此外,包括死亡地点和地理区域的数据使我们能够更深入地了解 HCC 的模式和特征及其对不同地区的影响:1999 年至 2020 年间,共报告了 184,073 例死于 HCC 的病例,所有病例的死亡地点数据均可获得。大多数死亡发生在住院期间(34.93%)或家中(41.19%)。研究还发现,男性患者的 HCC 年龄调整死亡率(AAMR)最高,尤其是那些被确认为亚洲人或太平洋岛民的患者。年龄调整死亡率的变化取决于该地区的城市化或乡村化水平,在人口更稠密和城市化程度更高的地区观察到的死亡率更高。与此相反,城市化程度较低和人口较少的地区在过去二十年中的急性乳腺癌死亡率大幅上升:结论:随着时间的推移,大多数种族群体的 HCC 相关 AAMR 都在恶化,但亚裔或太平洋岛民除外,尽管他们的 AAMR 最差,但 APC 却有所下降。尽管农村和人口密度较低的地区在过去二十年中AAMR大幅增加,但城市化程度较高的地区AAMR率仍然较高。
本文章由计算机程序翻译,如有差异,请以英文原文为准。
求助全文
约1分钟内获得全文 求助全文
来源期刊
Gastroenterology Research
Gastroenterology Research GASTROENTEROLOGY & HEPATOLOGY-
自引率
0.00%
发文量
35
×
引用
GB/T 7714-2015
复制
MLA
复制
APA
复制
导出至
BibTeX EndNote RefMan NoteFirst NoteExpress
×
提示
您的信息不完整,为了账户安全,请先补充。
现在去补充
×
提示
您因"违规操作"
具体请查看互助需知
我知道了
×
提示
确定
请完成安全验证×
copy
已复制链接
快去分享给好友吧!
我知道了
右上角分享
点击右上角分享
0
联系我们:info@booksci.cn Book学术提供免费学术资源搜索服务,方便国内外学者检索中英文文献。致力于提供最便捷和优质的服务体验。 Copyright © 2023 布克学术 All rights reserved.
京ICP备2023020795号-1
ghs 京公网安备 11010802042870号
Book学术文献互助
Book学术文献互助群
群 号:604180095
Book学术官方微信