Living lab modelling as a pilot study assessing the potential psychological health benefits of forest environment for cancer survivors.

IF 1.9 Q2 OBSTETRICS & GYNECOLOGY
Obstetrics and Gynecology Science Pub Date : 2024-07-01 Epub Date: 2024-06-12 DOI:10.5468/ogs.24035
Mi-Kyung Kim, Hyo Jin Park, Kyung Ju Lee
{"title":"Living lab modelling as a pilot study assessing the potential psychological health benefits of forest environment for cancer survivors.","authors":"Mi-Kyung Kim, Hyo Jin Park, Kyung Ju Lee","doi":"10.5468/ogs.24035","DOIUrl":null,"url":null,"abstract":"<p><strong>Objective: </strong>To evaluate the physiological and psychological changes in cancer survivors who engage in repeated forest therapy in a living environment.</p><p><strong>Methods: </strong>This study included stay-based forest therapy for female cancer survivors aged ≥40 years. The program was conducted in two cycles, each spanning 3 weeks and consisting of a 2-night, 3-day stay, followed by daily life integration. The cycles were repeated from July 2, 2022, to August 18, 2022. Participant assessment included standard physical health parameters and a questionnaire on general characteristics, lifestyle habits, stress levels, and health status.</p><p><strong>Results: </strong>Thirty-seven female cancer survivors participated in the forest healing program, 56.8% of whom had a history of breast cancer. The median body mass index (BMI) was 23.80 kg/m2 (range, 21.00-25.60). More than half of the patients reported mild-to-moderate fatigue, chronic pain, and mild-to-moderate depression (81%, 65%, and 73%, respectively). After two cycles of forest therapy, no significant differences were observed in terms of fatigue, pain, or BMI levels. However, significant improvements were found in quality of life measures, particularly the psychological quality of life (mean score 12.54 at baseline vs. 13.48 after cycle 2; P=0.007). Positive improvements were also observed in terms of stress (mean score 17.03 vs. 13.76; P=0.002) and depression (mean score 8.35 vs. 6.11; P=0.002) levels.</p><p><strong>Conclusion: </strong>Our forest-healing program demonstrated that nature-based therapies improve the mental health and quality of life of female cancer survivors, suggesting the need for further research on nature-based interventions to better support cancer survivors.</p>","PeriodicalId":37602,"journal":{"name":"Obstetrics and Gynecology Science","volume":" ","pages":"404-413"},"PeriodicalIF":1.9000,"publicationDate":"2024-07-01","publicationTypes":"Journal Article","fieldsOfStudy":null,"isOpenAccess":false,"openAccessPdf":"https://www.ncbi.nlm.nih.gov/pmc/articles/PMC11266852/pdf/","citationCount":"0","resultStr":null,"platform":"Semanticscholar","paperid":null,"PeriodicalName":"Obstetrics and Gynecology Science","FirstCategoryId":"1085","ListUrlMain":"https://doi.org/10.5468/ogs.24035","RegionNum":0,"RegionCategory":null,"ArticlePicture":[],"TitleCN":null,"AbstractTextCN":null,"PMCID":null,"EPubDate":"2024/6/12 0:00:00","PubModel":"Epub","JCR":"Q2","JCRName":"OBSTETRICS & GYNECOLOGY","Score":null,"Total":0}
引用次数: 0

Abstract

Objective: To evaluate the physiological and psychological changes in cancer survivors who engage in repeated forest therapy in a living environment.

Methods: This study included stay-based forest therapy for female cancer survivors aged ≥40 years. The program was conducted in two cycles, each spanning 3 weeks and consisting of a 2-night, 3-day stay, followed by daily life integration. The cycles were repeated from July 2, 2022, to August 18, 2022. Participant assessment included standard physical health parameters and a questionnaire on general characteristics, lifestyle habits, stress levels, and health status.

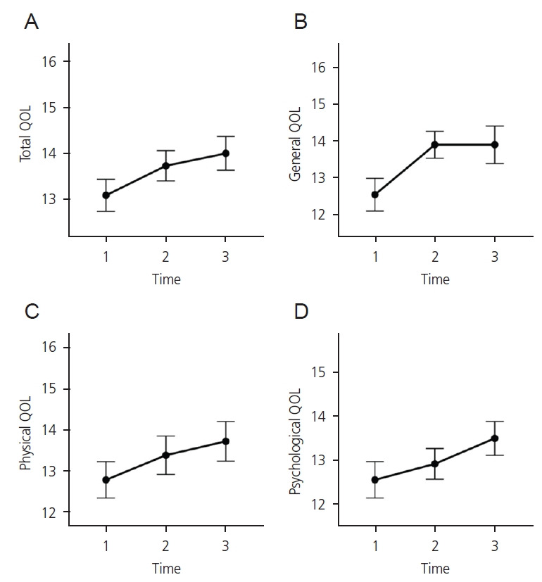
Results: Thirty-seven female cancer survivors participated in the forest healing program, 56.8% of whom had a history of breast cancer. The median body mass index (BMI) was 23.80 kg/m2 (range, 21.00-25.60). More than half of the patients reported mild-to-moderate fatigue, chronic pain, and mild-to-moderate depression (81%, 65%, and 73%, respectively). After two cycles of forest therapy, no significant differences were observed in terms of fatigue, pain, or BMI levels. However, significant improvements were found in quality of life measures, particularly the psychological quality of life (mean score 12.54 at baseline vs. 13.48 after cycle 2; P=0.007). Positive improvements were also observed in terms of stress (mean score 17.03 vs. 13.76; P=0.002) and depression (mean score 8.35 vs. 6.11; P=0.002) levels.

Conclusion: Our forest-healing program demonstrated that nature-based therapies improve the mental health and quality of life of female cancer survivors, suggesting the need for further research on nature-based interventions to better support cancer survivors.

Abstract Image

Abstract Image

将生活实验室模型作为一项试点研究,评估森林环境对癌症幸存者心理健康的潜在益处。
目的:评估在生活环境中反复进行森林疗法的癌症幸存者的生理和心理变化:评估在生活环境中反复进行森林疗法的癌症幸存者的生理和心理变化:本研究为年龄≥40 岁的女性癌症幸存者提供了基于住宿的森林疗法。该项目分两个周期进行,每个周期为期 3 周,包括 2 夜 3 天的住宿,以及随后的日常生活整合。从 2022 年 7 月 2 日到 2022 年 8 月 18 日重复进行。对参与者的评估包括标准身体健康参数以及关于一般特征、生活习惯、压力水平和健康状况的调查问卷:37名女性癌症幸存者参加了森林疗养计划,其中56.8%曾患乳腺癌。体重指数(BMI)中位数为 23.80 kg/m2(范围为 21.00-25.60)。半数以上的患者报告有轻度至中度疲劳、慢性疼痛和轻度至中度抑郁(分别为 81%、65% 和 73%)。经过两个周期的森林疗法后,在疲劳、疼痛或体重指数水平方面没有观察到显著差异。不过,在生活质量方面,尤其是心理生活质量方面,发现有明显改善(基线时的平均得分为 12.54,第二周期后为 13.48;P=0.007)。在压力(平均分 17.03 vs. 13.76;P=0.002)和抑郁(平均分 8.35 vs. 6.11;P=0.002)水平方面也观察到了积极的改善:我们的森林疗养计划表明,以自然为基础的疗法可以改善女性癌症幸存者的心理健康和生活质量,这表明有必要进一步研究以自然为基础的干预措施,为癌症幸存者提供更好的支持。
本文章由计算机程序翻译,如有差异,请以英文原文为准。
求助全文
约1分钟内获得全文 求助全文
来源期刊
Obstetrics and Gynecology Science
Obstetrics and Gynecology Science Medicine-Obstetrics and Gynecology
CiteScore
3.80
自引率
15.80%
发文量
58
审稿时长
16 weeks
期刊介绍: Obstetrics & Gynecology Science (NLM title: Obstet Gynecol Sci) is an international peer-review journal that published basic, translational, clinical research, and clinical practice guideline to promote women’s health and prevent obstetric and gynecologic disorders. The journal has an international editorial board and is published in English on the 15th day of every other month. Submitted manuscripts should not contain previously published material and should not be under consideration for publication elsewhere. The journal has been publishing articles since 1958. The aim of the journal is to publish original articles, reviews, case reports, short communications, letters to the editor, and video articles that have the potential to change the practices in women''s health care. The journal’s main focus is the diagnosis, treatment, prediction, and prevention of obstetric and gynecologic disorders. Because the life expectancy of Korean and Asian women is increasing, the journal''s editors are particularly interested in the health of elderly women in these population groups. The journal also publishes articles about reproductive biology, stem cell research, and artificial intelligence research for women; additionally, it provides insights into the physiology and mechanisms of obstetric and gynecologic diseases.
×
引用
GB/T 7714-2015
复制
MLA
复制
APA
复制
导出至
BibTeX EndNote RefMan NoteFirst NoteExpress
×
提示
您的信息不完整,为了账户安全,请先补充。
现在去补充
×
提示
您因"违规操作"
具体请查看互助需知
我知道了
×
提示
确定
请完成安全验证×
copy
已复制链接
快去分享给好友吧!
我知道了
右上角分享
点击右上角分享
0
联系我们:info@booksci.cn Book学术提供免费学术资源搜索服务,方便国内外学者检索中英文文献。致力于提供最便捷和优质的服务体验。 Copyright © 2023 布克学术 All rights reserved.
京ICP备2023020795号-1
ghs 京公网安备 11010802042870号
Book学术文献互助
Book学术文献互助群
群 号:604180095
Book学术官方微信