Ocular Vestibular-Evoked Myogenic Potential Assists in the Differentiation of Multiple System Atrophy From Parkinson's Disease.

IF 2.8 4区 医学 Q2 CLINICAL NEUROLOGY
Journal of Movement Disorders Pub Date : 2024-10-01 Epub Date: 2024-07-09 DOI:10.14802/jmd.24120
Keun-Tae Kim, Kyoungwon Baik, Sun-Uk Lee, Euyhyun Park, Chan-Nyoung Lee, Tonghoon Woo, Yukang Kim, Seoui Kwag, Hyunsoh Park, Ji-Soo Kim
{"title":"Ocular Vestibular-Evoked Myogenic Potential Assists in the Differentiation of Multiple System Atrophy From Parkinson's Disease.","authors":"Keun-Tae Kim, Kyoungwon Baik, Sun-Uk Lee, Euyhyun Park, Chan-Nyoung Lee, Tonghoon Woo, Yukang Kim, Seoui Kwag, Hyunsoh Park, Ji-Soo Kim","doi":"10.14802/jmd.24120","DOIUrl":null,"url":null,"abstract":"<p><strong>Objective: </strong>Vestibular-evoked myogenic potentials (VEMPs) can help in assessing otolithic neural pathway in the brainstem, which may also contribute to the cardiovascular autonomic function. Parkinson's disease (PD) is associated with altered VEMP responses; however, the associations between VEMP abnormalities and multiple system atrophy (MSA) remain unknown. Therefore, we compared the extent of otolith dysfunction using ocular (oVEMP) and cervical VEMPs between patients with MSA and PD.</p><p><strong>Methods: </strong>We analyzed the clinical features, VEMP, and head-up tilt table test (HUT) findings using the Finometer in 24 patients with MSA and 52 with de novo PD who had undergone neurotologic evaluation at a referral-based university hospital in South Korea from January 2021 to March 2023.</p><p><strong>Results: </strong>MSA was associated with bilateral oVEMP abnormalities (odds ratio [95% confidence interval] = 9.19 [1.77-47.76], p = 0.008). The n1-p1 amplitude was negatively correlated with the Unified Multiple System Atrophy Rating Scale I-II score in patients with MSA (r = -0.571, p = 0.033), whereas it did not correlate with the Movement Disorder Society-Unified Parkinson's Disease Rating Scale-III score in patients with PD (r = -0.051, p = 0.687). The n1 latency was negatively correlated with maximum changes in systolic blood pressure within 15 s during HUT in patients with PD (r = -0.335, p = 0.040) but not in those with MSA (r = 0.277, p = 0.299).</p><p><strong>Conclusion: </strong>Bilaterally abnormal oVEMP responses may indicate the extent of brainstem dysfunction in MSA. oVEMP reflects the integrity of otolith-autonomic interplay, reliably assists in differentiating between MSA and PD, and helps infer clinical decline.</p>","PeriodicalId":16372,"journal":{"name":"Journal of Movement Disorders","volume":" ","pages":"398-407"},"PeriodicalIF":2.8000,"publicationDate":"2024-10-01","publicationTypes":"Journal Article","fieldsOfStudy":null,"isOpenAccess":false,"openAccessPdf":"https://www.ncbi.nlm.nih.gov/pmc/articles/PMC11540541/pdf/","citationCount":"0","resultStr":null,"platform":"Semanticscholar","paperid":null,"PeriodicalName":"Journal of Movement Disorders","FirstCategoryId":"3","ListUrlMain":"https://doi.org/10.14802/jmd.24120","RegionNum":4,"RegionCategory":"医学","ArticlePicture":[],"TitleCN":null,"AbstractTextCN":null,"PMCID":null,"EPubDate":"2024/7/9 0:00:00","PubModel":"Epub","JCR":"Q2","JCRName":"CLINICAL NEUROLOGY","Score":null,"Total":0}
引用次数: 0

Abstract

Objective: Vestibular-evoked myogenic potentials (VEMPs) can help in assessing otolithic neural pathway in the brainstem, which may also contribute to the cardiovascular autonomic function. Parkinson's disease (PD) is associated with altered VEMP responses; however, the associations between VEMP abnormalities and multiple system atrophy (MSA) remain unknown. Therefore, we compared the extent of otolith dysfunction using ocular (oVEMP) and cervical VEMPs between patients with MSA and PD.

Methods: We analyzed the clinical features, VEMP, and head-up tilt table test (HUT) findings using the Finometer in 24 patients with MSA and 52 with de novo PD who had undergone neurotologic evaluation at a referral-based university hospital in South Korea from January 2021 to March 2023.

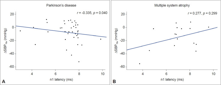
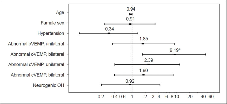
Results: MSA was associated with bilateral oVEMP abnormalities (odds ratio [95% confidence interval] = 9.19 [1.77-47.76], p = 0.008). The n1-p1 amplitude was negatively correlated with the Unified Multiple System Atrophy Rating Scale I-II score in patients with MSA (r = -0.571, p = 0.033), whereas it did not correlate with the Movement Disorder Society-Unified Parkinson's Disease Rating Scale-III score in patients with PD (r = -0.051, p = 0.687). The n1 latency was negatively correlated with maximum changes in systolic blood pressure within 15 s during HUT in patients with PD (r = -0.335, p = 0.040) but not in those with MSA (r = 0.277, p = 0.299).

Conclusion: Bilaterally abnormal oVEMP responses may indicate the extent of brainstem dysfunction in MSA. oVEMP reflects the integrity of otolith-autonomic interplay, reliably assists in differentiating between MSA and PD, and helps infer clinical decline.

Abstract Image

Abstract Image

Abstract Image

眼前庭诱发电位有助于区分多系统萎缩和帕金森病。
前庭诱发肌源性电位(VEMP)有助于评估脑干的耳石神经通路,该通路也可能参与心血管自主神经功能。帕金森病(PD)与眩晕诱发电位反应的改变有关;然而,眩晕诱发电位异常与多系统萎缩(MSA)之间的关系仍然未知。因此,我们使用眼部(oVEMP)和颈部 VEMP(cVEMP)比较了 MSA 和帕金森病之间耳石功能障碍的程度。我们使用 Finometer 分析了 24 名 MSA 患者和 52 名新发 PD 患者的临床特征、VEMP 和抬头倾斜台试验(HUT)结果,这些患者于 2021 年 1 月至 2023 年 3 月期间在韩国一家大学转诊医院接受了神经学评估。MSA 与双侧 oVEMP 异常有关(几率比 [95% 置信区间] = 9.19 [1.77-47.76],p=0.008)。MSA 患者的 n1-p1 振幅与统一多系统萎缩量表 I-II 评分呈负相关(r=-0.571,p=0.在帕金森病患者中,n1潜伏期与HUT期间15秒内收缩压的最大变化呈负相关(r=-0.335,p=0.040),而在MSA患者中则不相关(r=0.277,p=0.299)。总之,双侧异常的 oVEMP 反应可能表明 MSA 患者脑干功能障碍的程度。oVEMP 反映了耳石--自主神经相互作用的完整性,有助于可靠地区分 MSA 和 PD,并有助于推断临床衰退。
本文章由计算机程序翻译,如有差异,请以英文原文为准。
求助全文
约1分钟内获得全文 求助全文
来源期刊
Journal of Movement Disorders
Journal of Movement Disorders CLINICAL NEUROLOGY-
CiteScore
2.50
自引率
5.10%
发文量
49
审稿时长
12 weeks
×
引用
GB/T 7714-2015
复制
MLA
复制
APA
复制
导出至
BibTeX EndNote RefMan NoteFirst NoteExpress
×
提示
您的信息不完整,为了账户安全,请先补充。
现在去补充
×
提示
您因"违规操作"
具体请查看互助需知
我知道了
×
提示
确定
请完成安全验证×
copy
已复制链接
快去分享给好友吧!
我知道了
右上角分享
点击右上角分享
0
联系我们:info@booksci.cn Book学术提供免费学术资源搜索服务,方便国内外学者检索中英文文献。致力于提供最便捷和优质的服务体验。 Copyright © 2023 布克学术 All rights reserved.
京ICP备2023020795号-1
ghs 京公网安备 11010802042870号
Book学术文献互助
Book学术文献互助群
群 号:604180095
Book学术官方微信