Albumin-to-Globulin Ratio Combined with Neutrophil-to-Lymphocyte Ratio as a Prognostic Predictor in Multiple Myeloma with Renal Impairment.

IF 4.9 Q2 ONCOLOGY
Blood and Lymphatic Cancer-Targets and Therapy Pub Date : 2024-07-02 eCollection Date: 2024-01-01 DOI:10.2147/BLCTT.S468836
Yingzi Zhang, Xiajuan Yao, Yaoquan Zhang, Zhuyun Chen, Zhongke Qin, Ying Cai, Wenkai Xia, Hong Hu
{"title":"Albumin-to-Globulin Ratio Combined with Neutrophil-to-Lymphocyte Ratio as a Prognostic Predictor in Multiple Myeloma with Renal Impairment.","authors":"Yingzi Zhang, Xiajuan Yao, Yaoquan Zhang, Zhuyun Chen, Zhongke Qin, Ying Cai, Wenkai Xia, Hong Hu","doi":"10.2147/BLCTT.S468836","DOIUrl":null,"url":null,"abstract":"<p><strong>Background: </strong>The albumin-to-globulin ratio (AGR) and neutrophil-to-lymphocyte ratio (NLR) have been recently regarded as promising prognostic factors in various malignancies. The present study investigated the prognostic value of combining the AGR and NLR (ANS) for risk assessments in multiple myeloma (MM) with renal impairment (RI).</p><p><strong>Methods: </strong>From 2011 to 2018, 79 patients with MM and RI were enrolled in this study. Receiver operating curves (ROCs) were constructed to determine optimal AGR and NLR thresholds for predicting overall survival (OS) and progression-free survival (PFS) during follow up. The prognostic values of AGR, NLR, and ANS were evaluated with Cox regression and Kaplan-Meier methods. We also created a predictive nomogram for prognostic evaluations of OS and PFS, and the predictive accuracy was assessed with a concordance index (c-index).</p><p><strong>Results: </strong>The ROC curves analyses showed that the optimal cut-off levels were 2.27 for NLR and 1.57 for AGR. A high NLR and a high ANS were significantly associated with worse OS and PFS. However, a high NLR combined with a low AGR was associated with worse OS. Multivariate analyses demonstrated that both the NLR and ANS were independent predictors for both OS and PFS and that a low AGR was an independent predictor of a reduced OS. The nomogram accurately predicted OS (c-index: 0.785) and PFS (c-index: 0.786) in patients with MM and RI.</p><p><strong>Conclusion: </strong>ANS may serve as a potential prognostic biomarker in patients with MM and RI. The proposed nomograms may facilitate prognostic predictions for patients with MM and RI.</p>","PeriodicalId":42368,"journal":{"name":"Blood and Lymphatic Cancer-Targets and Therapy","volume":"14 ","pages":"49-62"},"PeriodicalIF":4.9000,"publicationDate":"2024-07-02","publicationTypes":"Journal Article","fieldsOfStudy":null,"isOpenAccess":false,"openAccessPdf":"https://www.ncbi.nlm.nih.gov/pmc/articles/PMC11227335/pdf/","citationCount":"0","resultStr":null,"platform":"Semanticscholar","paperid":null,"PeriodicalName":"Blood and Lymphatic Cancer-Targets and Therapy","FirstCategoryId":"1085","ListUrlMain":"https://doi.org/10.2147/BLCTT.S468836","RegionNum":0,"RegionCategory":null,"ArticlePicture":[],"TitleCN":null,"AbstractTextCN":null,"PMCID":null,"EPubDate":"2024/1/1 0:00:00","PubModel":"eCollection","JCR":"Q2","JCRName":"ONCOLOGY","Score":null,"Total":0}
引用次数: 0

Abstract

Background: The albumin-to-globulin ratio (AGR) and neutrophil-to-lymphocyte ratio (NLR) have been recently regarded as promising prognostic factors in various malignancies. The present study investigated the prognostic value of combining the AGR and NLR (ANS) for risk assessments in multiple myeloma (MM) with renal impairment (RI).

Methods: From 2011 to 2018, 79 patients with MM and RI were enrolled in this study. Receiver operating curves (ROCs) were constructed to determine optimal AGR and NLR thresholds for predicting overall survival (OS) and progression-free survival (PFS) during follow up. The prognostic values of AGR, NLR, and ANS were evaluated with Cox regression and Kaplan-Meier methods. We also created a predictive nomogram for prognostic evaluations of OS and PFS, and the predictive accuracy was assessed with a concordance index (c-index).

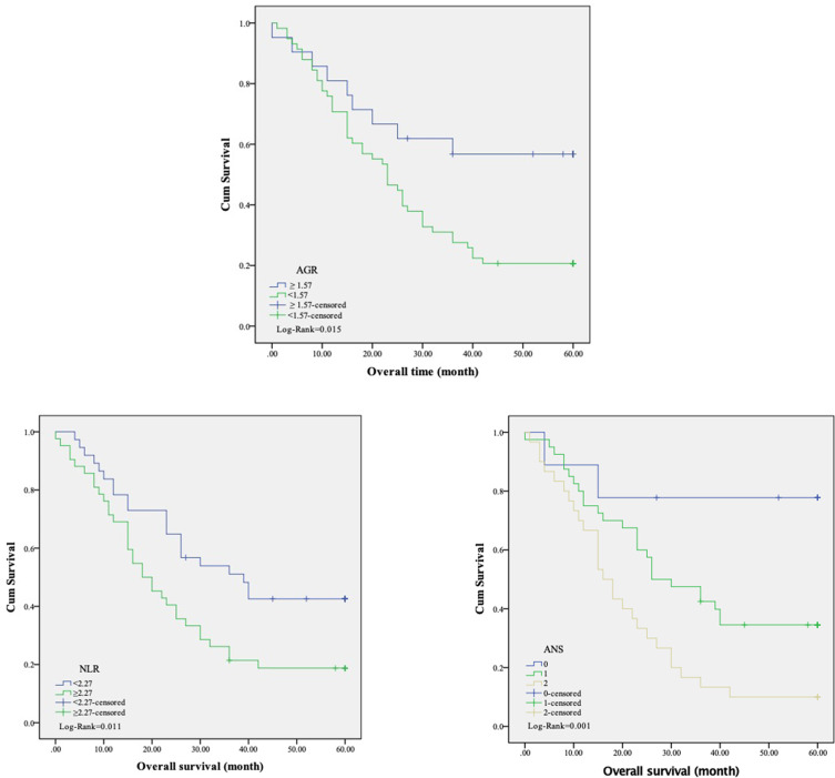
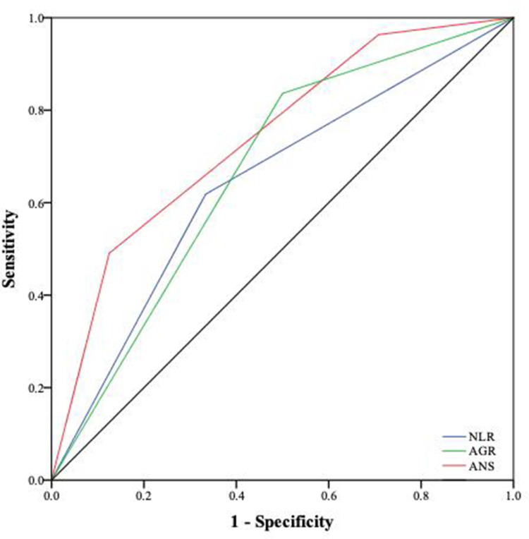
Results: The ROC curves analyses showed that the optimal cut-off levels were 2.27 for NLR and 1.57 for AGR. A high NLR and a high ANS were significantly associated with worse OS and PFS. However, a high NLR combined with a low AGR was associated with worse OS. Multivariate analyses demonstrated that both the NLR and ANS were independent predictors for both OS and PFS and that a low AGR was an independent predictor of a reduced OS. The nomogram accurately predicted OS (c-index: 0.785) and PFS (c-index: 0.786) in patients with MM and RI.

Conclusion: ANS may serve as a potential prognostic biomarker in patients with MM and RI. The proposed nomograms may facilitate prognostic predictions for patients with MM and RI.

Abstract Image

Abstract Image

Abstract Image

白蛋白与球蛋白比值结合中性粒细胞与淋巴细胞比值作为肾功能受损的多发性骨髓瘤的预后预测指标
背景:白蛋白与球蛋白比值(AGR)和中性粒细胞与淋巴细胞比值(NLR)最近被认为是各种恶性肿瘤的有希望的预后因素。本研究探讨了结合AGR和NLR(ANS)对伴有肾功能损害(RI)的多发性骨髓瘤(MM)进行风险评估的预后价值:2011年至2018年,79名MM合并RI患者参与了这项研究。构建了接收者操作曲线(ROC),以确定预测随访期间总生存期(OS)和无进展生存期(PFS)的最佳AGR和NLR阈值。用 Cox 回归法和 Kaplan-Meier 法评估了 AGR、NLR 和 ANS 的预后价值。我们还创建了一个预测OS和PFS预后评估的提名图,并用一致性指数(c-index)评估了预测的准确性:ROC曲线分析表明,NLR和AGR的最佳临界值分别为2.27和1.57。高 NLR 和高 ANS 与较差的 OS 和 PFS 显著相关。然而,高 NLR 和低 AGR 与较差的 OS 相关。多变量分析表明,NLR和ANS是预测OS和PFS的独立指标,而低AGR则是预测OS降低的独立指标。该提名图能准确预测 MM 和 RI 患者的 OS(c 指数:0.785)和 PFS(c 指数:0.786):结论:ANS可作为MM和RI患者的潜在预后生物标志物。结论:ANS可作为MM和RI患者的潜在预后生物标志物,所提出的提名图有助于对MM和RI患者进行预后预测。
本文章由计算机程序翻译,如有差异,请以英文原文为准。
求助全文
约1分钟内获得全文 求助全文
来源期刊
自引率
7.10%
发文量
16
审稿时长
16 weeks
期刊介绍: Blood and Lymphatic Cancer: Targets and Therapy is an international, peer reviewed, open access journal focusing on blood and lymphatic cancer research, identification of therapeutic targets, and the optimal use of preventative and integrated treatment interventions to achieve improved outcomes, enhanced survival, and quality of life for the cancer patient. Specific topics covered in the journal include: Epidemiology, detection and screening Cellular research and biomarkers Identification of biotargets and agents with novel mechanisms of action Optimal clinical use of existing anticancer agents, including combination therapies Radiation, surgery, bone marrow transplantation Palliative care Patient adherence, quality of life, satisfaction Health economic evaluations.
×
引用
GB/T 7714-2015
复制
MLA
复制
APA
复制
导出至
BibTeX EndNote RefMan NoteFirst NoteExpress
×
提示
您的信息不完整,为了账户安全,请先补充。
现在去补充
×
提示
您因"违规操作"
具体请查看互助需知
我知道了
×
提示
确定
请完成安全验证×
copy
已复制链接
快去分享给好友吧!
我知道了
右上角分享
点击右上角分享
0
联系我们:info@booksci.cn Book学术提供免费学术资源搜索服务,方便国内外学者检索中英文文献。致力于提供最便捷和优质的服务体验。 Copyright © 2023 布克学术 All rights reserved.
京ICP备2023020795号-1
ghs 京公网安备 11010802042870号
Book学术文献互助
Book学术文献互助群
群 号:604180095
Book学术官方微信