Fertility outcomes in women undergoing Assisted Reproductive Treatments after COVID-19 vaccination: A prospective cohort study.

IF 2.2 Q2 OBSTETRICS & GYNECOLOGY
Ruma Satwik, Abha Majumdar, Shweta Mittal, Neeti Tiwari, Gaurav Majumdar
{"title":"Fertility outcomes in women undergoing Assisted Reproductive Treatments after COVID-19 vaccination: A prospective cohort study.","authors":"Ruma Satwik, Abha Majumdar, Shweta Mittal, Neeti Tiwari, Gaurav Majumdar","doi":"10.22074/ijfs.2023.1990869.1444","DOIUrl":null,"url":null,"abstract":"<p><strong>Background: </strong>Vaccination against Coronavirus-19 disease (COVID-19) was widely administered from 2021 onwards. There is little information on how this vaccine affected fertility after assisted-reproductive-technology (ART). The aim of this study therefore was to determine if COVID-19 vaccination or time-since-vaccination influenced ART outcomes.</p><p><strong>Materials and methods: </strong>In this prospective cohort study, 502 oocyte-retrieval-cycles and 582 subsequent embryo- transfer-cycles were grouped based on COVID-19 vaccine status of the female partner into those with no-exposure, 1-dose and ≥2-dose exposure. Within the exposed cohort, time-since-last-vaccination to embryotransfer- cycle (T<sub>tr</sub>) was calculated in days. Main outcomes were mean-total-utilizable-embryos, mean-oocyteutilization- rates and cumulative-ongoing-pregnancy-rates per oocyte-retrieval-cycle, and ongoing-pregnancy and pregnancy-loss-rates per embryo-transfer cycle. The Beta-coefficient (ß) was calculated using linear regression for mean-total-utilizable-embryos and mean-oocyte-utilization-rates and adjusted-odds-ratio (OR) was calculated for cumulative-ongoing-pregnancy-rates, ongoing-pregnancy and pregnancy-loss-rates using binomial logistic regression. Influence of T<sub>(tr)</sub> on embryo-transfer outcomes was estimated using receiver-operator-curve (ROC) analysis and cut-offs determined that influenced embryo-transfer outcomes.</p><p><strong>Results: </strong>Mean-total-utilizable-embryos and mean-oocyte-utilization-rate per oocyte-retrieval-cycle in no-exposure, 1-dose and ≥2 dose were 2.7 ± 1.8 vs. 2.5 ± 1.9 vs. 2.7 ± 2.0, P=0.78, (ß=0.42, 95% confidence-interval (CI)=0.15 to 0.69) and 21.2 ± 13.2 vs. 25.1 ± 19.0 vs. 26.7 ± 18.8, P=0.08, (ß=3.94, 95% CI=1.26 to 6.23) respectively. Ongoing-pregnancy-rates and pregnancy-loss-rates per embryo-transfer-cycle were 27.3% vs. 24.4% vs. 32.5% (aOR=1.38, 95% CI=0.3-5.6, P=0.52), and 13.6% vs. 13.4% vs. 15.2%, (aOR=0.97, 95% CI=0.18-5.2, P=0.97) respectively. Cumulative-ongoing-pregnancy-rates per oocyte-retrieval-cycle were 36.5% vs. 34.5% vs. 35.5% (aOR=1.53, 95% CI=0.57 to 4.07, P=0.35). Median T<sub>(tr)</sub> was 146 days (IQR: 80-220). T<sub>(tr)</sub> negatively affected ongoing pregnancy rates for intervals <60 days (AUC=0.59, 95% CI=0.54-0.66, P<0.01). For T<sub>(tr)</sub> >60 vs. <60 days, the aOR for ongoing-pregnancy-per-embryo-transfer-cycle was 2.85 (95% CI=1.50-5.46, P<0.01).</p><p><strong>Conclusion: </strong>Covid-19 vaccination does not negatively influence embryological-outcomes or cumulative-ongoing-pregnancies after ART-treatments. Duration since vaccination may have a weak negative effect on embryo-transfer-outcomes performed within 60 days.</p>","PeriodicalId":14080,"journal":{"name":"International Journal of Fertility & Sterility","volume":"18 3","pages":"207-214"},"PeriodicalIF":2.2000,"publicationDate":"2024-06-09","publicationTypes":"Journal Article","fieldsOfStudy":null,"isOpenAccess":false,"openAccessPdf":"https://www.ncbi.nlm.nih.gov/pmc/articles/PMC11245583/pdf/","citationCount":"0","resultStr":null,"platform":"Semanticscholar","paperid":null,"PeriodicalName":"International Journal of Fertility & Sterility","FirstCategoryId":"1085","ListUrlMain":"https://doi.org/10.22074/ijfs.2023.1990869.1444","RegionNum":0,"RegionCategory":null,"ArticlePicture":[],"TitleCN":null,"AbstractTextCN":null,"PMCID":null,"EPubDate":"","PubModel":"","JCR":"Q2","JCRName":"OBSTETRICS & GYNECOLOGY","Score":null,"Total":0}
引用次数: 0

Abstract

Background: Vaccination against Coronavirus-19 disease (COVID-19) was widely administered from 2021 onwards. There is little information on how this vaccine affected fertility after assisted-reproductive-technology (ART). The aim of this study therefore was to determine if COVID-19 vaccination or time-since-vaccination influenced ART outcomes.

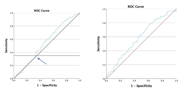
Materials and methods: In this prospective cohort study, 502 oocyte-retrieval-cycles and 582 subsequent embryo- transfer-cycles were grouped based on COVID-19 vaccine status of the female partner into those with no-exposure, 1-dose and ≥2-dose exposure. Within the exposed cohort, time-since-last-vaccination to embryotransfer- cycle (Ttr) was calculated in days. Main outcomes were mean-total-utilizable-embryos, mean-oocyteutilization- rates and cumulative-ongoing-pregnancy-rates per oocyte-retrieval-cycle, and ongoing-pregnancy and pregnancy-loss-rates per embryo-transfer cycle. The Beta-coefficient (ß) was calculated using linear regression for mean-total-utilizable-embryos and mean-oocyte-utilization-rates and adjusted-odds-ratio (OR) was calculated for cumulative-ongoing-pregnancy-rates, ongoing-pregnancy and pregnancy-loss-rates using binomial logistic regression. Influence of T(tr) on embryo-transfer outcomes was estimated using receiver-operator-curve (ROC) analysis and cut-offs determined that influenced embryo-transfer outcomes.

Results: Mean-total-utilizable-embryos and mean-oocyte-utilization-rate per oocyte-retrieval-cycle in no-exposure, 1-dose and ≥2 dose were 2.7 ± 1.8 vs. 2.5 ± 1.9 vs. 2.7 ± 2.0, P=0.78, (ß=0.42, 95% confidence-interval (CI)=0.15 to 0.69) and 21.2 ± 13.2 vs. 25.1 ± 19.0 vs. 26.7 ± 18.8, P=0.08, (ß=3.94, 95% CI=1.26 to 6.23) respectively. Ongoing-pregnancy-rates and pregnancy-loss-rates per embryo-transfer-cycle were 27.3% vs. 24.4% vs. 32.5% (aOR=1.38, 95% CI=0.3-5.6, P=0.52), and 13.6% vs. 13.4% vs. 15.2%, (aOR=0.97, 95% CI=0.18-5.2, P=0.97) respectively. Cumulative-ongoing-pregnancy-rates per oocyte-retrieval-cycle were 36.5% vs. 34.5% vs. 35.5% (aOR=1.53, 95% CI=0.57 to 4.07, P=0.35). Median T(tr) was 146 days (IQR: 80-220). T(tr) negatively affected ongoing pregnancy rates for intervals <60 days (AUC=0.59, 95% CI=0.54-0.66, P<0.01). For T(tr) >60 vs. <60 days, the aOR for ongoing-pregnancy-per-embryo-transfer-cycle was 2.85 (95% CI=1.50-5.46, P<0.01).

Conclusion: Covid-19 vaccination does not negatively influence embryological-outcomes or cumulative-ongoing-pregnancies after ART-treatments. Duration since vaccination may have a weak negative effect on embryo-transfer-outcomes performed within 60 days.

Abstract Image

Abstract Image

接种 COVID-19 疫苗后接受辅助生殖治疗的妇女的生育结果:前瞻性队列研究
背景:自 2021 年起,冠状病毒-19 疾病(COVID-19)疫苗被广泛接种。关于该疫苗如何影响辅助生殖技术(ART)后的生育能力的信息很少。因此,本研究旨在确定 COVID-19 疫苗接种或接种后的时间是否会影响 ART 的结果:在这项前瞻性队列研究中,根据女性伴侣的 COVID-19 疫苗接种情况,将 502 个卵母细胞提取周期和 582 个随后的胚胎移植周期分为未接种、接种 1 剂和≥2 剂。在暴露组群中,从最后一次接种疫苗到胚胎移植周期的时间(Ttr)以天为单位计算。主要结果为每个卵母细胞提取周期的平均可利用胚胎总数、平均卵母细胞利用率和累积持续妊娠率,以及每个胚胎移植周期的持续妊娠率和妊娠损失率。使用线性回归法计算平均可利用胚胎总数和平均卵细胞利用率的贝塔系数(ß),使用二项式逻辑回归法计算累计持续妊娠率、持续妊娠率和妊娠失败率的调整比例(OR)。利用接收器-操作者-曲线(ROC)分析估计了T(tr)对胚胎移植结果的影响,并确定了影响胚胎移植结果的临界值:结果:无暴露、1剂量和≥2剂量的每个卵母细胞提取周期的平均可利用胚胎总数和平均卵母细胞利用率分别为2.7 ± 1.8 vs. 2.5 ± 1.9 vs. 2.7 ± 2.0,P=0.78。0, P=0.78, (ß=0.42, 95% confidence-interval (CI)=0.15 to 0.69) and 21.2 ± 13.2 vs. 25.1 ± 19.0 vs. 26.7 ± 18.8, P=0.08, (ß=3.94, 95% CI=1.26 to 6.23)。每个胚胎移植周期的持续妊娠率和妊娠损失率分别为 27.3% vs. 24.4% vs. 32.5% (aOR=1.38, 95% CI=0.3-5.6, P=0.52)和 13.6% vs. 13.4% vs. 15.2%, (aOR=0.97, 95% CI=0.18-5.2, P=0.97)。每个卵母细胞取回周期的累积持续妊娠率分别为 36.5% vs. 34.5% vs. 35.5%(aOR=1.53,95% CI=0.57~4.07,P=0.35)。中位 T(tr)为 146 天(IQR:80-220)。T(tr)对间隔(tr)大于 60 天的持续妊娠率与间隔(tr)小于 60 天的持续妊娠率有负面影响。 结论:接种 Covid-19 疫苗不会对持续妊娠率产生负面影响:接种 Covid-19 疫苗不会对 ART 治疗后的胚胎学结果或累积持续妊娠率产生负面影响。接种疫苗后的持续时间可能会对 60 天内的胚胎移植结果产生微弱的负面影响。
本文章由计算机程序翻译,如有差异,请以英文原文为准。
求助全文
约1分钟内获得全文 求助全文
来源期刊
CiteScore
4.20
自引率
0.00%
发文量
68
审稿时长
>12 weeks
期刊介绍: International Journal of Fertility & Sterility is a quarterly English publication of Royan Institute . The aim of the journal is to disseminate information through publishing the most recent scientific research studies on Fertility and Sterility and other related topics. Int J Fertil Steril has been certified by Ministry of Culture and Islamic Guidance in 2007 and was accredited as a scientific and research journal by HBI (Health and Biomedical Information) Journal Accreditation Commission in 2008. Int J Fertil Steril is an Open Access journal.
×
引用
GB/T 7714-2015
复制
MLA
复制
APA
复制
导出至
BibTeX EndNote RefMan NoteFirst NoteExpress
×
提示
您的信息不完整,为了账户安全,请先补充。
现在去补充
×
提示
您因"违规操作"
具体请查看互助需知
我知道了
×
提示
确定
请完成安全验证×
copy
已复制链接
快去分享给好友吧!
我知道了
右上角分享
点击右上角分享
0
联系我们:info@booksci.cn Book学术提供免费学术资源搜索服务,方便国内外学者检索中英文文献。致力于提供最便捷和优质的服务体验。 Copyright © 2023 布克学术 All rights reserved.
京ICP备2023020795号-1
ghs 京公网安备 11010802042870号
Book学术文献互助
Book学术文献互助群
群 号:604180095
Book学术官方微信