Diagnostic performance of the O-RADS MRI system for magnetic resonance imaging in discriminating benign and malignant adnexal lesions: a systematic review, meta-analysis, and meta-regression.

IF 1.7 4区 医学 Q3 RADIOLOGY, NUCLEAR MEDICINE & MEDICAL IMAGING
Diagnostic and interventional radiology Pub Date : 2025-04-28 Epub Date: 2024-07-08 DOI:10.4274/dir.2024.242784
Gülsüm Kılıçkap
{"title":"Diagnostic performance of the O-RADS MRI system for magnetic resonance imaging in discriminating benign and malignant adnexal lesions: a systematic review, meta-analysis, and meta-regression.","authors":"Gülsüm Kılıçkap","doi":"10.4274/dir.2024.242784","DOIUrl":null,"url":null,"abstract":"<p><strong>Purpose: </strong>After the introduction of the Ovarian-Adnexal Reporting and Data System (O-RADS) for magnetic resonance imaging (MRI), several studies with diverse characteristics have been published to assess its diagnostic performance. This systematic review and meta-analysis aimed to assess the diagnostic performance of O-RADS MRI scoring for adnexal masses, accounting for the risk of selection bias.</p><p><strong>Methods: </strong>The PubMed, Scopus, Web of Science, and Cochrane databases were searched for eligible studies. Borderline or malignant lesions were considered malignant. All O-RADS MRI scores ≥4 were considered positive. The quality of the studies was assessed using the Quality Assessment of Diagnostic Accuracy Studies-2 tool. The pooled sensitivity, specificity, and likelihood ratio (LR) values were calculated, considering the risk of selection bias.</p><p><strong>Results: </strong>Fifteen eligible studies were found, and five of them had a high risk of selection bias. Between-study heterogeneity was low-to-moderate for sensitivity but substantial for specificity (I2 values were 35.5% and 64.7%, respectively). The pooled sensitivity was significantly lower in the studies with a low risk of bias compared with those with a high risk of bias (93.0% and 97.5%, respectively; <i>P</i> = 0.043), whereas the pooled specificity was not different (90.4% for the overall population). The negative and positive LRs were 0.08 [95% confidence interval (CI) 0.05–0.11] and 10.0 (95% CI 7.7–12.9), respectively, for the studies with low risk of bias and 0.03 (95% CI 0.01–0.10) and 10.3 (95% CI 3.8–28.3), respectively, for those with high risk of bias.</p><p><strong>Conclusion: </strong>The overall diagnostic performance of the O-RADS system is very high, particularly for ruling out borderline/malignant lesions, but with a moderate ruling-in potential. Studies with a high risk of selection bias lead to an overestimation of sensitivity.</p><p><strong>Clinical significance: </strong>The O-RADS system demonstrates considerable diagnostic performance, particularly in ruling out borderline or malignant lesions, and should routinely be used in practice. The high between-study heterogeneity observed for specificity suggests the need for improvement in the consistent characterization of the benign lesions to reduce false positive rates.</p>","PeriodicalId":11341,"journal":{"name":"Diagnostic and interventional radiology","volume":" ","pages":"171-179"},"PeriodicalIF":1.7000,"publicationDate":"2025-04-28","publicationTypes":"Journal Article","fieldsOfStudy":null,"isOpenAccess":false,"openAccessPdf":"https://www.ncbi.nlm.nih.gov/pmc/articles/PMC12057528/pdf/","citationCount":"0","resultStr":null,"platform":"Semanticscholar","paperid":null,"PeriodicalName":"Diagnostic and interventional radiology","FirstCategoryId":"3","ListUrlMain":"https://doi.org/10.4274/dir.2024.242784","RegionNum":4,"RegionCategory":"医学","ArticlePicture":[],"TitleCN":null,"AbstractTextCN":null,"PMCID":null,"EPubDate":"2024/7/8 0:00:00","PubModel":"Epub","JCR":"Q3","JCRName":"RADIOLOGY, NUCLEAR MEDICINE & MEDICAL IMAGING","Score":null,"Total":0}
引用次数: 0

Abstract

Purpose: After the introduction of the Ovarian-Adnexal Reporting and Data System (O-RADS) for magnetic resonance imaging (MRI), several studies with diverse characteristics have been published to assess its diagnostic performance. This systematic review and meta-analysis aimed to assess the diagnostic performance of O-RADS MRI scoring for adnexal masses, accounting for the risk of selection bias.

Methods: The PubMed, Scopus, Web of Science, and Cochrane databases were searched for eligible studies. Borderline or malignant lesions were considered malignant. All O-RADS MRI scores ≥4 were considered positive. The quality of the studies was assessed using the Quality Assessment of Diagnostic Accuracy Studies-2 tool. The pooled sensitivity, specificity, and likelihood ratio (LR) values were calculated, considering the risk of selection bias.

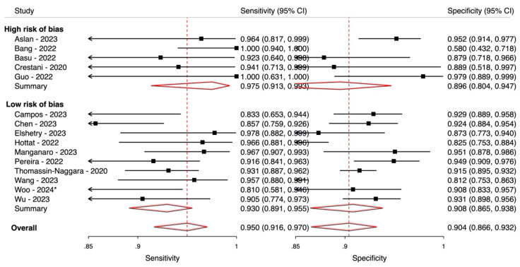
Results: Fifteen eligible studies were found, and five of them had a high risk of selection bias. Between-study heterogeneity was low-to-moderate for sensitivity but substantial for specificity (I2 values were 35.5% and 64.7%, respectively). The pooled sensitivity was significantly lower in the studies with a low risk of bias compared with those with a high risk of bias (93.0% and 97.5%, respectively; P = 0.043), whereas the pooled specificity was not different (90.4% for the overall population). The negative and positive LRs were 0.08 [95% confidence interval (CI) 0.05–0.11] and 10.0 (95% CI 7.7–12.9), respectively, for the studies with low risk of bias and 0.03 (95% CI 0.01–0.10) and 10.3 (95% CI 3.8–28.3), respectively, for those with high risk of bias.

Conclusion: The overall diagnostic performance of the O-RADS system is very high, particularly for ruling out borderline/malignant lesions, but with a moderate ruling-in potential. Studies with a high risk of selection bias lead to an overestimation of sensitivity.

Clinical significance: The O-RADS system demonstrates considerable diagnostic performance, particularly in ruling out borderline or malignant lesions, and should routinely be used in practice. The high between-study heterogeneity observed for specificity suggests the need for improvement in the consistent characterization of the benign lesions to reduce false positive rates.

Abstract Image

Abstract Image

Abstract Image

用于磁共振成像的 O-RADS MRI 系统在鉴别良性和恶性附件病变方面的诊断性能:系统综述、荟萃分析和荟萃回归。
目的:在磁共振成像(MRI)引入卵巢-附件报告和数据系统(O-RADS)后,发表了几项具有不同特点的研究来评估其诊断性能。本系统综述和荟萃分析旨在评估O-RADS磁共振成像评分对附件肿块的诊断性能,同时考虑选择偏倚的风险:方法:在 PubMed、Scopus、Web of Science 和 Cochrane 数据库中搜索符合条件的研究。边缘病变或恶性病变被视为恶性病变。所有O-RADS MRI评分≥4分的均视为阳性。研究质量采用诊断准确性研究质量评估-2(Quality Assessment of Diagnostic Accuracy Studies-2)工具进行评估。考虑到选择偏倚的风险,计算了汇总的敏感性、特异性和似然比(LR)值:结果:共找到 15 项符合条件的研究,其中 5 项研究的选择偏倚风险较高。在敏感性方面,研究间的异质性为低到中等,但在特异性方面,研究间的异质性很大(I2 值分别为 35.5% 和 64.7%)。与高偏倚风险的研究相比,低偏倚风险研究的汇总灵敏度明显较低(分别为 93.0% 和 97.5%;P = 0.043),而汇总特异性则没有差异(总体为 90.4%)。低偏倚风险研究的阴性和阳性 LR 分别为 0.08 [95% 置信区间 (CI) 0.05-0.11] 和 10.0 (95% CI 7.7-12.9),高偏倚风险研究的阴性和阳性 LR 分别为 0.03 (95% CI 0.01-0.10) 和 10.3 (95% CI 3.8-28.3):O-RADS系统的总体诊断性能非常高,尤其是在排除边缘/恶性病变方面,但排除病变的可能性适中。临床意义:临床意义:O-RADS 系统具有相当高的诊断性能,尤其是在排除边缘或恶性病变方面,应在实践中常规使用。在特异性方面观察到的研究间高度异质性表明,有必要改进对良性病变的一致定性,以降低假阳性率。
本文章由计算机程序翻译,如有差异,请以英文原文为准。
求助全文
约1分钟内获得全文 求助全文
来源期刊
Diagnostic and interventional radiology
Diagnostic and interventional radiology Medicine-Radiology, Nuclear Medicine and Imaging
自引率
4.80%
发文量
0
期刊介绍: Diagnostic and Interventional Radiology (Diagn Interv Radiol) is the open access, online-only official publication of Turkish Society of Radiology. It is published bimonthly and the journal’s publication language is English. The journal is a medium for original articles, reviews, pictorial essays, technical notes related to all fields of diagnostic and interventional radiology.
×
引用
GB/T 7714-2015
复制
MLA
复制
APA
复制
导出至
BibTeX EndNote RefMan NoteFirst NoteExpress
×
提示
您的信息不完整,为了账户安全,请先补充。
现在去补充
×
提示
您因"违规操作"
具体请查看互助需知
我知道了
×
提示
确定
请完成安全验证×
copy
已复制链接
快去分享给好友吧!
我知道了
右上角分享
点击右上角分享
0
联系我们:info@booksci.cn Book学术提供免费学术资源搜索服务,方便国内外学者检索中英文文献。致力于提供最便捷和优质的服务体验。 Copyright © 2023 布克学术 All rights reserved.
京ICP备2023020795号-1
ghs 京公网安备 11010802042870号
Book学术文献互助
Book学术文献互助群
群 号:604180095
Book学术官方微信