Neuroprotective Effects of Zinc Oxide Nanoparticles in a Rotenone-Induced Mouse Model of Parkinson's Disease.

Q1 Pharmacology, Toxicology and Pharmaceutics
Nanotheranostics Pub Date : 2024-06-08 eCollection Date: 2024-01-01 DOI:10.7150/ntno.95863
Yasmeen Khafajah, Mariam Shaheen, Dania El Natour, Maxime Merheb, Rachel Matar, Jamilah Borjac
{"title":"Neuroprotective Effects of Zinc Oxide Nanoparticles in a Rotenone-Induced Mouse Model of Parkinson's Disease.","authors":"Yasmeen Khafajah, Mariam Shaheen, Dania El Natour, Maxime Merheb, Rachel Matar, Jamilah Borjac","doi":"10.7150/ntno.95863","DOIUrl":null,"url":null,"abstract":"<p><p><b>Goals of the investigation:</b> This work aimed to evaluate the neuroprotective effects of zinc oxide (ZnO) nanoparticles in an experimental mouse model of rotenone-induced PD and investigate the therapeutic effects of ZnO, cobalt ferrite nanoparticles, and their combination. <b>Methods:</b> The levels of dopamine, norepinephrine, epinephrine, and serotonin were assessed using ELISA in the control and experimental model of PD mice. The dopa-decarboxylase expression level was assayed by real-time PCR. The expression level of tyrosine hydroxylase (TH) was assessed by western blot analysis. <b>Results:</b> Our data showed that levels of dopamine decreased in PD mice compared to normal. ZnO NP increased dopamine levels in normal and PD mice (37.5% and 29.5%; respectively, compared to untreated mice). However, ZnO NP did not cause any change in norepinephrine and epinephrine levels either in normal or in PD mice. Levels of serotonin decreased by 64.0%, and 51.1% in PD mice treated with cobalt ferrite and dual ZnO- cobalt ferrite NPs; respectively, when compared to PD untreated mice. The mRNA levels of dopa-decarboxylase increased in both normal and PD mice treated with ZnO NP. Its level decreased when using cobalt ferrite NP and the dual ZnO-cobalt ferrite NP when compared to untreated PD mice. A significant decrease in TH expression by 0.25, 0.68, and 0.62 folds was observed in normal mice treated with ZnO, cobalt ferrite, and the dual ZnO-cobalt ferrite NP as compared to normal untreated mice. In PD mice, ZnO administration caused a non-significant 0.15-fold decrease in TH levels while both cobalt ferrite and the dual ZnO-cobalt ferrite NP administration caused a significant 0.3 and 0.4-fold decrease respectively when compared to untreated PD mice. <b>Principal conclusion</b>: This study reveals that ZnO NPs may be utilized as a potential intervention to elevate dopamine levels to aid in PD treatment.</p>","PeriodicalId":36934,"journal":{"name":"Nanotheranostics","volume":"8 4","pages":"497-505"},"PeriodicalIF":0.0000,"publicationDate":"2024-06-08","publicationTypes":"Journal Article","fieldsOfStudy":null,"isOpenAccess":false,"openAccessPdf":"https://www.ncbi.nlm.nih.gov/pmc/articles/PMC11217785/pdf/","citationCount":"0","resultStr":null,"platform":"Semanticscholar","paperid":null,"PeriodicalName":"Nanotheranostics","FirstCategoryId":"1085","ListUrlMain":"https://doi.org/10.7150/ntno.95863","RegionNum":0,"RegionCategory":null,"ArticlePicture":[],"TitleCN":null,"AbstractTextCN":null,"PMCID":null,"EPubDate":"2024/1/1 0:00:00","PubModel":"eCollection","JCR":"Q1","JCRName":"Pharmacology, Toxicology and Pharmaceutics","Score":null,"Total":0}
引用次数: 0

Abstract

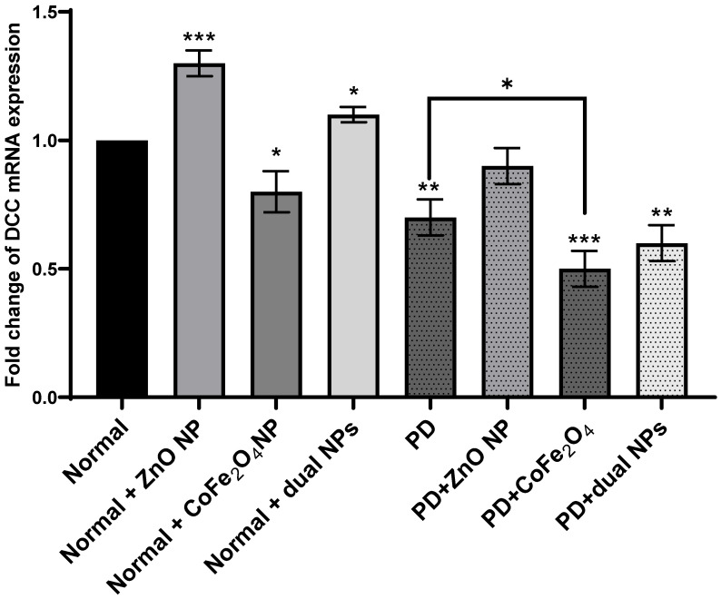
Goals of the investigation: This work aimed to evaluate the neuroprotective effects of zinc oxide (ZnO) nanoparticles in an experimental mouse model of rotenone-induced PD and investigate the therapeutic effects of ZnO, cobalt ferrite nanoparticles, and their combination. Methods: The levels of dopamine, norepinephrine, epinephrine, and serotonin were assessed using ELISA in the control and experimental model of PD mice. The dopa-decarboxylase expression level was assayed by real-time PCR. The expression level of tyrosine hydroxylase (TH) was assessed by western blot analysis. Results: Our data showed that levels of dopamine decreased in PD mice compared to normal. ZnO NP increased dopamine levels in normal and PD mice (37.5% and 29.5%; respectively, compared to untreated mice). However, ZnO NP did not cause any change in norepinephrine and epinephrine levels either in normal or in PD mice. Levels of serotonin decreased by 64.0%, and 51.1% in PD mice treated with cobalt ferrite and dual ZnO- cobalt ferrite NPs; respectively, when compared to PD untreated mice. The mRNA levels of dopa-decarboxylase increased in both normal and PD mice treated with ZnO NP. Its level decreased when using cobalt ferrite NP and the dual ZnO-cobalt ferrite NP when compared to untreated PD mice. A significant decrease in TH expression by 0.25, 0.68, and 0.62 folds was observed in normal mice treated with ZnO, cobalt ferrite, and the dual ZnO-cobalt ferrite NP as compared to normal untreated mice. In PD mice, ZnO administration caused a non-significant 0.15-fold decrease in TH levels while both cobalt ferrite and the dual ZnO-cobalt ferrite NP administration caused a significant 0.3 and 0.4-fold decrease respectively when compared to untreated PD mice. Principal conclusion: This study reveals that ZnO NPs may be utilized as a potential intervention to elevate dopamine levels to aid in PD treatment.

Abstract Image

Abstract Image

Abstract Image

氧化锌纳米粒子在罗替尼诱导的帕金森病小鼠模型中的神经保护作用
调查目标:本研究旨在评估氧化锌(ZnO)纳米颗粒在鱼藤酮诱导的帕金森病小鼠实验模型中的神经保护作用,并探讨氧化锌、钴铁氧体纳米颗粒及其组合的治疗效果。研究方法用酶联免疫吸附法评估对照组和实验组多巴胺、去甲肾上腺素、肾上腺素和血清素的水平。通过实时 PCR 检测多巴脱羧酶的表达水平。酪氨酸羟化酶(TH)的表达水平通过免疫印迹分析进行评估。结果显示我们的数据显示,与正常小鼠相比,帕金森病小鼠的多巴胺水平有所下降。氧化锌氮氧化物可提高正常小鼠和帕金森病小鼠的多巴胺水平(与未处理的小鼠相比,分别提高了 37.5% 和 29.5%)。然而,氧化锌氮氧化物并未导致正常小鼠和帕金森病小鼠的去甲肾上腺素和肾上腺素水平发生任何变化。与未接受治疗的帕金森病小鼠相比,接受过钴铁氧体和氧化锌-钴铁氧体双重 NP 治疗的帕金森病小鼠的血清素水平分别下降了 64.0% 和 51.1%。使用氧化锌 NP 治疗的正常小鼠和帕金森病小鼠的多巴脱羧酶 mRNA 水平都有所提高。与未治疗的帕金森病小鼠相比,使用钴铁氧体 NP 和氧化锌-钴铁氧体双重 NP 时,多巴脱羧酶的 mRNA 水平下降。与未接受治疗的正常小鼠相比,接受氧化锌、钴铁氧体和氧化锌-钴铁氧体双重 NP 治疗的正常小鼠的 TH 表达量分别明显下降了 0.25、0.68 和 0.62 倍。与未经治疗的帕金森病小鼠相比,在帕金森病小鼠中施用氧化锌会导致 TH 水平下降 0.15 倍,但并不显著;而施用钴铁氧体和氧化锌-钴铁氧体双重 NP 会导致 TH 水平分别显著下降 0.3 倍和 0.4 倍。主要结论:本研究揭示了氧化锌氮氧化物可作为一种潜在的干预措施来提高多巴胺水平,从而帮助治疗帕金森病。
本文章由计算机程序翻译,如有差异,请以英文原文为准。
求助全文
约1分钟内获得全文 求助全文
来源期刊
Nanotheranostics
Nanotheranostics Pharmacology, Toxicology and Pharmaceutics-Pharmacology, Toxicology and Pharmaceutics (miscellaneous)
CiteScore
10.40
自引率
0.00%
发文量
37
审稿时长
12 weeks
×
引用
GB/T 7714-2015
复制
MLA
复制
APA
复制
导出至
BibTeX EndNote RefMan NoteFirst NoteExpress
×
提示
您的信息不完整,为了账户安全,请先补充。
现在去补充
×
提示
您因"违规操作"
具体请查看互助需知
我知道了
×
提示
确定
请完成安全验证×
copy
已复制链接
快去分享给好友吧!
我知道了
右上角分享
点击右上角分享
0
联系我们:info@booksci.cn Book学术提供免费学术资源搜索服务,方便国内外学者检索中英文文献。致力于提供最便捷和优质的服务体验。 Copyright © 2023 布克学术 All rights reserved.
京ICP备2023020795号-1
ghs 京公网安备 11010802042870号
Book学术文献互助
Book学术文献互助群
群 号:604180095
Book学术官方微信