The monocyte-to-high-density lipoprotein-cholesterol ratio at diagnosis is associated with cerebrovascular accident during follow-up in patients with antineutrophil cytoplasmic antibody-associated vasculitis.

IF 3 Q3 RHEUMATOLOGY
Journal of Rheumatic Diseases Pub Date : 2024-07-01 Epub Date: 2024-03-12 DOI:10.4078/jrd.2024.0001
Jang Woo Ha, Sung Soo Ahn, Jason Jungsik Song, Yong-Beom Park, Sang-Won Lee
{"title":"The monocyte-to-high-density lipoprotein-cholesterol ratio at diagnosis is associated with cerebrovascular accident during follow-up in patients with antineutrophil cytoplasmic antibody-associated vasculitis.","authors":"Jang Woo Ha, Sung Soo Ahn, Jason Jungsik Song, Yong-Beom Park, Sang-Won Lee","doi":"10.4078/jrd.2024.0001","DOIUrl":null,"url":null,"abstract":"<p><strong>Objective: </strong>In this study, the association between the monocyte-to-high-density lipoprotein cholesterol ratio (MHR) at diagnosis and poor outcomes of atherosclerosis-related antineutrophil cytoplasmic antibody-associated vasculitis (AAV) during follow-up in patients with AAV was investigated.</p><p><strong>Methods: </strong>This retrospective study included 138 patients diagnosed with AAV. Their comprehensive medical records were meticulously reviewed. All-cause mortality, cerebrovascular accident (CVA), and acute coronary syndrome (ACS) were evaluated as atherosclerosis-related poor outcomes of AAV. MHR was obtained by dividing monocyte counts (/mm3) by high-density lipoprotein cholesterol (mg/dL) levels.</p><p><strong>Results: </strong>The median age of the 138 patients was 58.3 years with 44 being male (31.9%). Among the 138 patients, 11 (8.0%) died, and 11 (8.0%) and 9 (6.5%) had CVA, and ACS, respectively. MHR at diagnosis was significantly correlated with the Birmingham vasculitis activity score, erythrocyte sedimentation rate, and C-reactive protein at diagnosis. Among the three poor outcomes of AAV, only CVA during follow-up was significantly associated with MHR at diagnosis, and thus, only CVA was considered an atherosclerosis-related poor outcome of AAV. In the multivariable Cox hazards model analysis, MHR (hazard ratio [HR] 1.195) and serum albumin (HR 0.203) at diagnosis were independently associated with CVA during follow-up. Additionally, patients with MHR at diagnosis ≥3.0 exhibited a significantly higher risk for CVA and lower cumulative CVA-free survival rate than those with MHR at diagnosis <3.0.</p><p><strong>Conclusion: </strong>This study is the first to demonstrate clinical implications of MHR suggesting that MHR at diagnosis is significantly and independently associated with CVA during follow-up in patients with AAV.</p>","PeriodicalId":56161,"journal":{"name":"Journal of Rheumatic Diseases","volume":"31 3","pages":"151-159"},"PeriodicalIF":3.0000,"publicationDate":"2024-07-01","publicationTypes":"Journal Article","fieldsOfStudy":null,"isOpenAccess":false,"openAccessPdf":"https://www.ncbi.nlm.nih.gov/pmc/articles/PMC11215250/pdf/","citationCount":"0","resultStr":null,"platform":"Semanticscholar","paperid":null,"PeriodicalName":"Journal of Rheumatic Diseases","FirstCategoryId":"1085","ListUrlMain":"https://doi.org/10.4078/jrd.2024.0001","RegionNum":0,"RegionCategory":null,"ArticlePicture":[],"TitleCN":null,"AbstractTextCN":null,"PMCID":null,"EPubDate":"2024/3/12 0:00:00","PubModel":"Epub","JCR":"Q3","JCRName":"RHEUMATOLOGY","Score":null,"Total":0}
引用次数: 0

Abstract

Objective: In this study, the association between the monocyte-to-high-density lipoprotein cholesterol ratio (MHR) at diagnosis and poor outcomes of atherosclerosis-related antineutrophil cytoplasmic antibody-associated vasculitis (AAV) during follow-up in patients with AAV was investigated.

Methods: This retrospective study included 138 patients diagnosed with AAV. Their comprehensive medical records were meticulously reviewed. All-cause mortality, cerebrovascular accident (CVA), and acute coronary syndrome (ACS) were evaluated as atherosclerosis-related poor outcomes of AAV. MHR was obtained by dividing monocyte counts (/mm3) by high-density lipoprotein cholesterol (mg/dL) levels.

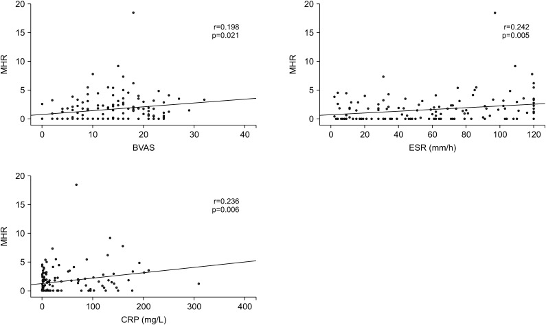
Results: The median age of the 138 patients was 58.3 years with 44 being male (31.9%). Among the 138 patients, 11 (8.0%) died, and 11 (8.0%) and 9 (6.5%) had CVA, and ACS, respectively. MHR at diagnosis was significantly correlated with the Birmingham vasculitis activity score, erythrocyte sedimentation rate, and C-reactive protein at diagnosis. Among the three poor outcomes of AAV, only CVA during follow-up was significantly associated with MHR at diagnosis, and thus, only CVA was considered an atherosclerosis-related poor outcome of AAV. In the multivariable Cox hazards model analysis, MHR (hazard ratio [HR] 1.195) and serum albumin (HR 0.203) at diagnosis were independently associated with CVA during follow-up. Additionally, patients with MHR at diagnosis ≥3.0 exhibited a significantly higher risk for CVA and lower cumulative CVA-free survival rate than those with MHR at diagnosis <3.0.

Conclusion: This study is the first to demonstrate clinical implications of MHR suggesting that MHR at diagnosis is significantly and independently associated with CVA during follow-up in patients with AAV.

Abstract Image

Abstract Image

Abstract Image

抗中性粒细胞胞浆抗体相关性血管炎患者确诊时的单核细胞与高密度脂蛋白胆固醇比率与随访期间的脑血管意外有关。
研究目的本研究探讨了单核细胞与高密度脂蛋白胆固醇比值(MHR)与动脉粥样硬化相关抗中性粒细胞胞浆抗体相关性脉管炎(AAV)患者随访期间不良预后之间的关系:这项回顾性研究纳入了 138 名确诊为 AAV 的患者。方法:这项回顾性研究纳入了 138 名确诊为 AAV 的患者,对他们的全面病历进行了仔细审查。全因死亡率、脑血管意外(CVA)和急性冠状动脉综合征(ACS)被评估为 AAV 的动脉粥样硬化相关不良后果。单核细胞计数(/mm3)除以高密度脂蛋白胆固醇(mg/dL)水平得出MHR:138 名患者的中位年龄为 58.3 岁,男性 44 人(31.9%)。138 名患者中有 11 人(8.0%)死亡,11 人(8.0%)和 9 人(6.5%)分别患有 CVA 和 ACS。诊断时的 MHR 与伯明翰血管炎活动评分、红细胞沉降率和诊断时的 C 反应蛋白明显相关。在 AAV 的三种不良结局中,只有随访期间的 CVA 与诊断时的 MHR 显著相关,因此只有 CVA 被认为是 AAV 的动脉粥样硬化相关不良结局。在多变量 Cox 危险模型分析中,诊断时的 MHR(危险比 [HR] 1.195)和血清白蛋白(HR 0.203)与随访期间的 CVA 独立相关。此外,诊断时 MHR ≥ 3.0 的患者发生 CVA 的风险明显高于诊断时 MHR ≥ 3.0 的患者,且无 CVA 的累积生存率低于诊断时 MHR ≥ 3.0 的患者:本研究首次证明了 MHR 的临床意义,表明诊断时的 MHR 与 AAV 患者随访期间的 CVA 显著且独立相关。
本文章由计算机程序翻译,如有差异,请以英文原文为准。
求助全文
约1分钟内获得全文 求助全文
来源期刊
CiteScore
2.30
自引率
5.00%
发文量
39
×
引用
GB/T 7714-2015
复制
MLA
复制
APA
复制
导出至
BibTeX EndNote RefMan NoteFirst NoteExpress
×
提示
您的信息不完整,为了账户安全,请先补充。
现在去补充
×
提示
您因"违规操作"
具体请查看互助需知
我知道了
×
提示
确定
请完成安全验证×
copy
已复制链接
快去分享给好友吧!
我知道了
右上角分享
点击右上角分享
0
联系我们:info@booksci.cn Book学术提供免费学术资源搜索服务,方便国内外学者检索中英文文献。致力于提供最便捷和优质的服务体验。 Copyright © 2023 布克学术 All rights reserved.
京ICP备2023020795号-1
ghs 京公网安备 11010802042870号
Book学术文献互助
Book学术文献互助群
群 号:604180095
Book学术官方微信