Effect of prior depression diagnosis on bipolar disorder outcomes: A retrospective cohort study using a medical claims database.

IF 2 Q3 NEUROSCIENCES
Neuropsychopharmacology Reports Pub Date : 2024-09-01 Epub Date: 2024-07-02 DOI:10.1002/npr2.12457
Hitoshi Sakurai, Masayuki Nakashima, Takashi Tsuboi, Kenji Baba, Tadashi Nosaka, Koichiro Watanabe, Koji Kawakami
{"title":"Effect of prior depression diagnosis on bipolar disorder outcomes: A retrospective cohort study using a medical claims database.","authors":"Hitoshi Sakurai, Masayuki Nakashima, Takashi Tsuboi, Kenji Baba, Tadashi Nosaka, Koichiro Watanabe, Koji Kawakami","doi":"10.1002/npr2.12457","DOIUrl":null,"url":null,"abstract":"<p><strong>Background: </strong>Bipolar disorder often emerges from depressive episodes and is initially diagnosed as depression. This study aimed to explore the effects of a prior depression diagnosis on outcomes in patients diagnosed with bipolar disorder.</p><p><strong>Methods: </strong>This cohort study analyzed data of patients aged 18-64 years who received a new bipolar disorder diagnosis in Japan, using medical claims data from January 2005 to October 2020 provided by JMDC, Inc. The index month was defined as the time of the bipolar diagnosis. The study assessed the incidence of psychiatric hospitalization, all-cause hospitalization, and mortality, stratified by the presence of a preceding depression diagnosis and its duration (≥1 or <1 year). Hazard ratios (HRs) and p-values were estimated using Cox proportional hazards models, adjusted for potential confounders, and supported by log-rank tests.</p><p><strong>Results: </strong>Of the 5595 patients analyzed, 2460 had a history of depression, with 1049 experiencing it for over a year and 1411 for less than a year. HRs for psychiatric hospitalization, all hospitalizations, and death in patients with a history of depression versus those without were 0.92 (95% CI = 0.78-1.08, p = 0.30), 0.87 (95% CI = 0.78-0.98, p = 0.017), and 0.61 (95% CI = 0.33-1.12, p = 0.11), respectively. In patients with preceding depression ≥1 year versus <1 year, HRs were 0.89 (95% CI = 0.67-1.19, p = 0.43) for psychiatric hospitalization, 0.85 (95% CI = 0.71-1.00, p = 0.052) for all hospitalizations, and 0.25 (95% CI = 0.07-0.89, p = 0.03) for death.</p><p><strong>Conclusion: </strong>A prior history and duration of depression may not elevate psychiatric hospitalization risk after bipolar disorder diagnosis and might even correlate with reduced hospitalization and mortality rates.</p>","PeriodicalId":19137,"journal":{"name":"Neuropsychopharmacology Reports","volume":" ","pages":"591-598"},"PeriodicalIF":2.0000,"publicationDate":"2024-09-01","publicationTypes":"Journal Article","fieldsOfStudy":null,"isOpenAccess":false,"openAccessPdf":"https://www.ncbi.nlm.nih.gov/pmc/articles/PMC11544458/pdf/","citationCount":"0","resultStr":null,"platform":"Semanticscholar","paperid":null,"PeriodicalName":"Neuropsychopharmacology Reports","FirstCategoryId":"1085","ListUrlMain":"https://doi.org/10.1002/npr2.12457","RegionNum":0,"RegionCategory":null,"ArticlePicture":[],"TitleCN":null,"AbstractTextCN":null,"PMCID":null,"EPubDate":"2024/7/2 0:00:00","PubModel":"Epub","JCR":"Q3","JCRName":"NEUROSCIENCES","Score":null,"Total":0}
引用次数: 0

Abstract

Background: Bipolar disorder often emerges from depressive episodes and is initially diagnosed as depression. This study aimed to explore the effects of a prior depression diagnosis on outcomes in patients diagnosed with bipolar disorder.

Methods: This cohort study analyzed data of patients aged 18-64 years who received a new bipolar disorder diagnosis in Japan, using medical claims data from January 2005 to October 2020 provided by JMDC, Inc. The index month was defined as the time of the bipolar diagnosis. The study assessed the incidence of psychiatric hospitalization, all-cause hospitalization, and mortality, stratified by the presence of a preceding depression diagnosis and its duration (≥1 or <1 year). Hazard ratios (HRs) and p-values were estimated using Cox proportional hazards models, adjusted for potential confounders, and supported by log-rank tests.

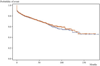
Results: Of the 5595 patients analyzed, 2460 had a history of depression, with 1049 experiencing it for over a year and 1411 for less than a year. HRs for psychiatric hospitalization, all hospitalizations, and death in patients with a history of depression versus those without were 0.92 (95% CI = 0.78-1.08, p = 0.30), 0.87 (95% CI = 0.78-0.98, p = 0.017), and 0.61 (95% CI = 0.33-1.12, p = 0.11), respectively. In patients with preceding depression ≥1 year versus <1 year, HRs were 0.89 (95% CI = 0.67-1.19, p = 0.43) for psychiatric hospitalization, 0.85 (95% CI = 0.71-1.00, p = 0.052) for all hospitalizations, and 0.25 (95% CI = 0.07-0.89, p = 0.03) for death.

Conclusion: A prior history and duration of depression may not elevate psychiatric hospitalization risk after bipolar disorder diagnosis and might even correlate with reduced hospitalization and mortality rates.

Abstract Image

Abstract Image

Abstract Image

既往抑郁症诊断对双相情感障碍结果的影响:一项利用医疗索赔数据库进行的回顾性队列研究。
背景:双相情感障碍通常由抑郁发作引起,最初被诊断为抑郁症。本研究旨在探讨先前的抑郁症诊断对双相情感障碍患者治疗结果的影响:这项队列研究利用 JMDC 公司提供的 2005 年 1 月至 2020 年 10 月期间的医疗索赔数据,分析了在日本接受双相情感障碍新诊断的 18-64 岁患者的数据。指数月被定义为诊断出躁郁症的时间。研究评估了精神病住院率、全因住院率和死亡率,并根据之前是否有抑郁症诊断及其持续时间(≥1 或 结果)进行了分层:在接受分析的 5595 名患者中,2460 人有抑郁症病史,其中 1049 人的抑郁症病史超过一年,1411 人的抑郁症病史不足一年。有抑郁症病史的患者与无抑郁症病史的患者相比,精神科住院、所有住院和死亡的HR值分别为0.92(95% CI = 0.78-1.08,P = 0.30)、0.87(95% CI = 0.78-0.98,P = 0.017)和0.61(95% CI = 0.33-1.12,P = 0.11)。曾患抑郁症≥1 年的患者与结论:既往抑郁史和抑郁持续时间可能不会增加双相情感障碍确诊后的精神科住院风险,甚至可能与住院率和死亡率的降低相关。
本文章由计算机程序翻译,如有差异,请以英文原文为准。
求助全文
约1分钟内获得全文 求助全文
来源期刊
Neuropsychopharmacology Reports
Neuropsychopharmacology Reports Psychology-Clinical Psychology
CiteScore
3.60
自引率
4.00%
发文量
75
审稿时长
14 weeks
×
引用
GB/T 7714-2015
复制
MLA
复制
APA
复制
导出至
BibTeX EndNote RefMan NoteFirst NoteExpress
×
提示
您的信息不完整,为了账户安全,请先补充。
现在去补充
×
提示
您因"违规操作"
具体请查看互助需知
我知道了
×
提示
确定
请完成安全验证×
copy
已复制链接
快去分享给好友吧!
我知道了
右上角分享
点击右上角分享
0
联系我们:info@booksci.cn Book学术提供免费学术资源搜索服务,方便国内外学者检索中英文文献。致力于提供最便捷和优质的服务体验。 Copyright © 2023 布克学术 All rights reserved.
京ICP备2023020795号-1
ghs 京公网安备 11010802042870号
Book学术文献互助
Book学术文献互助群
群 号:604180095
Book学术官方微信