Risk Factors for Artificial Urinary Sphincter Explantation and Erosion in Male Nonneurological Patients.

IF 2.1 3区 医学 Q3 UROLOGY & NEPHROLOGY
International Neurourology Journal Pub Date : 2024-06-01 Epub Date: 2024-06-30 DOI:10.5213/inj.2448086.043
Alice Pitout, Pierre Lecoanet, Charles Mazeaud, Victor Gaillard, Baptiste Poussot, Thibault Tricard, Christian Saussine, Thibaut Brierre, Xavier Game, Florian Beraud, Xavier Biardeau, Franck Bruyere, Damien Robin, Mehdi El-Akri, Daniel Chevallier, Tiffany Cousin, Grégoire Capon, Jean-Nicolas Cornu, Hugo Dupuis, Hervé Monsaint, Nicolas Hermieu, Jean-François Hermieu, Priscilla Léon, Benoit Peyronnet, Imad Bentellis
{"title":"Risk Factors for Artificial Urinary Sphincter Explantation and Erosion in Male Nonneurological Patients.","authors":"Alice Pitout, Pierre Lecoanet, Charles Mazeaud, Victor Gaillard, Baptiste Poussot, Thibault Tricard, Christian Saussine, Thibaut Brierre, Xavier Game, Florian Beraud, Xavier Biardeau, Franck Bruyere, Damien Robin, Mehdi El-Akri, Daniel Chevallier, Tiffany Cousin, Grégoire Capon, Jean-Nicolas Cornu, Hugo Dupuis, Hervé Monsaint, Nicolas Hermieu, Jean-François Hermieu, Priscilla Léon, Benoit Peyronnet, Imad Bentellis","doi":"10.5213/inj.2448086.043","DOIUrl":null,"url":null,"abstract":"<p><strong>Purpose: </strong>This study was performed to assess the risk factors for artificial urinary sphincter (AUS) explantation in a large multicenter cohort.</p><p><strong>Methods: </strong>We retrospectively reviewed the medical records for all 1,233 implantations of the AMS-800 AUS device in male nonneurological patients from 2005 to 2020 across 13 French centers. Patients with neurological conditions were excluded from the study. To identify factors associated with explantation-free survival, survival analysis was performed. Explantation was defined as the complete removal of the device, whereas revision referred to the replacement of the device or its components.</p><p><strong>Results: </strong>The study included 1,107 patients, of whom 281 underwent AUS explantation. The median survival without explantation was 83 months. The leading causes of explantation were infection and erosion. Univariate analysis revealed several significant risk factors for explantation: age above 75 years (34.6% in the explanted group vs. 25.8% in the nonexplanted group, P=0.007), history of radiotherapy (43.5% vs. 31.3%, P=0.001), and anticoagulant use (15% vs. 8.6%, P<0.001). In logistic regression analysis, the only significant risk factor was previous radiotherapy (odds ratio [OR], 2.05; P<0.05). Cox proportional hazards analysis revealed 2 factors associated with earlier explantation: transcorporal cuff implantation (hazard ratio [HR], 2.67; P=0.01) and the annual caseload of the center (HR, 1.08; P=0.02). When specifically examining explantation due to erosion, radiotherapy was the sole factor significantly associated with the risk of erosion (OR, 2.47; P<0.05) as well as earlier erosion (HR, 1.90; P=0.039).</p><p><strong>Conclusion: </strong>In this series, conducted in a real-world setting across multiple centers with different volumes and levels of expertise, the median survival without AUS explantation was 83 months. This study confirms that radiotherapy represents the primary independent risk factor for AUS erosion in male nonneurological patients.</p>","PeriodicalId":14466,"journal":{"name":"International Neurourology Journal","volume":"28 2","pages":"147-155"},"PeriodicalIF":2.1000,"publicationDate":"2024-06-01","publicationTypes":"Journal Article","fieldsOfStudy":null,"isOpenAccess":false,"openAccessPdf":"https://www.ncbi.nlm.nih.gov/pmc/articles/PMC11222826/pdf/","citationCount":"0","resultStr":null,"platform":"Semanticscholar","paperid":null,"PeriodicalName":"International Neurourology Journal","FirstCategoryId":"3","ListUrlMain":"https://doi.org/10.5213/inj.2448086.043","RegionNum":3,"RegionCategory":"医学","ArticlePicture":[],"TitleCN":null,"AbstractTextCN":null,"PMCID":null,"EPubDate":"2024/6/30 0:00:00","PubModel":"Epub","JCR":"Q3","JCRName":"UROLOGY & NEPHROLOGY","Score":null,"Total":0}
引用次数: 0

Abstract

Purpose: This study was performed to assess the risk factors for artificial urinary sphincter (AUS) explantation in a large multicenter cohort.

Methods: We retrospectively reviewed the medical records for all 1,233 implantations of the AMS-800 AUS device in male nonneurological patients from 2005 to 2020 across 13 French centers. Patients with neurological conditions were excluded from the study. To identify factors associated with explantation-free survival, survival analysis was performed. Explantation was defined as the complete removal of the device, whereas revision referred to the replacement of the device or its components.

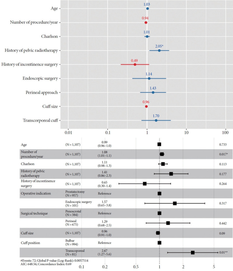
Results: The study included 1,107 patients, of whom 281 underwent AUS explantation. The median survival without explantation was 83 months. The leading causes of explantation were infection and erosion. Univariate analysis revealed several significant risk factors for explantation: age above 75 years (34.6% in the explanted group vs. 25.8% in the nonexplanted group, P=0.007), history of radiotherapy (43.5% vs. 31.3%, P=0.001), and anticoagulant use (15% vs. 8.6%, P<0.001). In logistic regression analysis, the only significant risk factor was previous radiotherapy (odds ratio [OR], 2.05; P<0.05). Cox proportional hazards analysis revealed 2 factors associated with earlier explantation: transcorporal cuff implantation (hazard ratio [HR], 2.67; P=0.01) and the annual caseload of the center (HR, 1.08; P=0.02). When specifically examining explantation due to erosion, radiotherapy was the sole factor significantly associated with the risk of erosion (OR, 2.47; P<0.05) as well as earlier erosion (HR, 1.90; P=0.039).

Conclusion: In this series, conducted in a real-world setting across multiple centers with different volumes and levels of expertise, the median survival without AUS explantation was 83 months. This study confirms that radiotherapy represents the primary independent risk factor for AUS erosion in male nonneurological patients.

Abstract Image

Abstract Image

Abstract Image

非神经内科男性患者人工尿道括约肌剥离和腐蚀的风险因素。
目的:本研究旨在评估大型多中心队列中人工尿道括约肌(AUS)切除的风险因素:我们回顾性审查了 2005 年至 2020 年法国 13 个中心所有 1233 例非神经系统男性患者的 AMS-800 AUS 装置植入病历。研究排除了患有神经系统疾病的患者。为了确定与无移植存活率相关的因素,研究人员进行了存活率分析。切除是指完全移除装置,而翻修是指更换装置或其组件:研究共纳入了 1,107 名患者,其中 281 人接受了 AUS 取出手术。未切除装置的中位生存期为 83 个月。切除的主要原因是感染和侵蚀。单变量分析揭示了几个重要的置换风险因素:75 岁以上(置换组 34.6% 对未置换组 25.8%,P=0.007)、放疗史(43.5% 对 31.3%,P=0.001)和使用抗凝剂(15% 对 8.6%,P=0.001):本系列研究是在现实世界中不同规模和专业水平的多个中心进行的,在未进行 AUS 切除术的情况下,中位生存期为 83 个月。这项研究证实,放疗是男性非神经系统患者发生 AUS 侵蚀的主要独立风险因素。
本文章由计算机程序翻译,如有差异,请以英文原文为准。
求助全文
约1分钟内获得全文 求助全文
来源期刊
International Neurourology Journal
International Neurourology Journal UROLOGY & NEPHROLOGY-
CiteScore
4.40
自引率
21.70%
发文量
41
审稿时长
4 weeks
期刊介绍: The International Neurourology Journal (Int Neurourol J, INJ) is a quarterly international journal that publishes high-quality research papers that provide the most significant and promising achievements in the fields of clinical neurourology and fundamental science. Specifically, fundamental science includes the most influential research papers from all fields of science and technology, revolutionizing what physicians and researchers practicing the art of neurourology worldwide know. Thus, we welcome valuable basic research articles to introduce cutting-edge translational research of fundamental sciences to clinical neurourology. In the editorials, urologists will present their perspectives on these articles. The original mission statement of the INJ was published on October 12, 1997. INJ provides authors a fast review of their work and makes a decision in an average of three to four weeks of receiving submissions. If accepted, articles are posted online in fully citable form. Supplementary issues will be published interim to quarterlies, as necessary, to fully allow berth to accept and publish relevant articles.
×
引用
GB/T 7714-2015
复制
MLA
复制
APA
复制
导出至
BibTeX EndNote RefMan NoteFirst NoteExpress
×
提示
您的信息不完整,为了账户安全,请先补充。
现在去补充
×
提示
您因"违规操作"
具体请查看互助需知
我知道了
×
提示
确定
请完成安全验证×
copy
已复制链接
快去分享给好友吧!
我知道了
右上角分享
点击右上角分享
0
联系我们:info@booksci.cn Book学术提供免费学术资源搜索服务,方便国内外学者检索中英文文献。致力于提供最便捷和优质的服务体验。 Copyright © 2023 布克学术 All rights reserved.
京ICP备2023020795号-1
ghs 京公网安备 11010802042870号
Book学术文献互助
Book学术文献互助群
群 号:604180095
Book学术官方微信