Impact of Focal Muscle Vibration on Flaccid Upper Limb Motor Paralysis following Acute Brain Disease: A Case Study.

IF 0.9 Q4 CLINICAL NEUROLOGY
Case Reports in Neurological Medicine Pub Date : 2024-06-25 eCollection Date: 2024-01-01 DOI:10.1155/2024/2469074
Hirotaka Saito, Haruka Kobayashi, Kodai Oba, Yosuke Hamaya
{"title":"Impact of Focal Muscle Vibration on Flaccid Upper Limb Motor Paralysis following Acute Brain Disease: A Case Study.","authors":"Hirotaka Saito, Haruka Kobayashi, Kodai Oba, Yosuke Hamaya","doi":"10.1155/2024/2469074","DOIUrl":null,"url":null,"abstract":"<p><p>Focal muscle vibration (FMV) is increasingly being recognized as a rehabilitative therapy for enhancing motor function in central nervous system (CNS) diseases, particularly in patients with fine motor control deficits stemming from CNS damage. Brain lesions from these diseases disrupt the motor networks, necessitating novel rehabilitation strategies. By applying vibrations to muscles, FMV stimulates sensory fibers to induce cortical activity and kinesthetic illusions. While initial studies have highlighted FMV's role in reducing spasticity, recent evidence points to its potential in treating motor paralysis. However, prior research has been limited by the lack of acute-phase studies and a focus on patients with minimal muscle contraction capability. This report aimed to explore FMV's efficacy on upper limb motor function in patients with flaccid motor paralysis immediately after acute CNS diseases. We report the case of a septuagenarian male with a brain abscess in the right parietal lobe, leading to flaccid motor paralysis. Rehabilitation included 28 sessions of occupational and physical therapy that incorporated FMV. Significant improvements were observed in upper extremity function, with moderate to very large effect sizes, while lower limb function showed lesser improvement without adverse effects. This case suggests the utility of FMV in enhancing upper-limb motor function after acute CNS injuries, potentially serving as a supplementary therapy for spontaneous recovery. This report contributes to emerging evidence on FMV's benefits in acute flaccid motor paralysis, expanding the documented therapeutic scope.</p>","PeriodicalId":9615,"journal":{"name":"Case Reports in Neurological Medicine","volume":"2024 ","pages":"2469074"},"PeriodicalIF":0.9000,"publicationDate":"2024-06-25","publicationTypes":"Journal Article","fieldsOfStudy":null,"isOpenAccess":false,"openAccessPdf":"https://www.ncbi.nlm.nih.gov/pmc/articles/PMC11219211/pdf/","citationCount":"0","resultStr":null,"platform":"Semanticscholar","paperid":null,"PeriodicalName":"Case Reports in Neurological Medicine","FirstCategoryId":"1085","ListUrlMain":"https://doi.org/10.1155/2024/2469074","RegionNum":0,"RegionCategory":null,"ArticlePicture":[],"TitleCN":null,"AbstractTextCN":null,"PMCID":null,"EPubDate":"2024/1/1 0:00:00","PubModel":"eCollection","JCR":"Q4","JCRName":"CLINICAL NEUROLOGY","Score":null,"Total":0}
引用次数: 0

Abstract

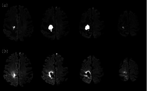
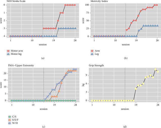
Focal muscle vibration (FMV) is increasingly being recognized as a rehabilitative therapy for enhancing motor function in central nervous system (CNS) diseases, particularly in patients with fine motor control deficits stemming from CNS damage. Brain lesions from these diseases disrupt the motor networks, necessitating novel rehabilitation strategies. By applying vibrations to muscles, FMV stimulates sensory fibers to induce cortical activity and kinesthetic illusions. While initial studies have highlighted FMV's role in reducing spasticity, recent evidence points to its potential in treating motor paralysis. However, prior research has been limited by the lack of acute-phase studies and a focus on patients with minimal muscle contraction capability. This report aimed to explore FMV's efficacy on upper limb motor function in patients with flaccid motor paralysis immediately after acute CNS diseases. We report the case of a septuagenarian male with a brain abscess in the right parietal lobe, leading to flaccid motor paralysis. Rehabilitation included 28 sessions of occupational and physical therapy that incorporated FMV. Significant improvements were observed in upper extremity function, with moderate to very large effect sizes, while lower limb function showed lesser improvement without adverse effects. This case suggests the utility of FMV in enhancing upper-limb motor function after acute CNS injuries, potentially serving as a supplementary therapy for spontaneous recovery. This report contributes to emerging evidence on FMV's benefits in acute flaccid motor paralysis, expanding the documented therapeutic scope.

Abstract Image

Abstract Image

Abstract Image

病灶肌肉振动对急性脑病后弛缓性上肢运动麻痹的影响:病例研究
病灶肌肉振动(FMV)越来越被视为一种康复疗法,可增强中枢神经系统(CNS)疾病患者的运动功能,尤其是中枢神经系统受损导致精细运动控制功能障碍的患者。这些疾病引起的脑损伤会破坏运动网络,因此需要新的康复策略。通过对肌肉施加振动,调频伏特可刺激感觉纤维,诱发大脑皮层活动和运动错觉。虽然最初的研究强调了调频伏特在减轻痉挛方面的作用,但最近的证据表明它在治疗运动性瘫痪方面具有潜力。然而,之前的研究由于缺乏急性期研究和只关注肌肉收缩能力极弱的患者而受到限制。本报告旨在探讨 FMV 对急性中枢神经系统疾病后即刻出现弛缓性运动麻痹的患者上肢运动功能的疗效。我们报告了一例七旬男性患者的病例,该患者因右侧顶叶脑脓肿而导致弛缓性运动麻痹。康复治疗包括 28 个疗程的职业疗法和物理疗法,其中纳入了调频变压器。患者的上肢功能得到了明显改善,疗效达到中等至非常大,而下肢功能改善较小,但无不良反应。该病例表明,调强核磁共振可用于增强急性中枢神经系统损伤后的上肢运动功能,有可能成为自发恢复的辅助疗法。本报告为 FMV 在急性弛缓性运动麻痹中的益处提供了新的证据,扩大了有据可查的治疗范围。
本文章由计算机程序翻译,如有差异,请以英文原文为准。
求助全文
约1分钟内获得全文 求助全文
来源期刊
自引率
0.00%
发文量
26
审稿时长
11 weeks
×
引用
GB/T 7714-2015
复制
MLA
复制
APA
复制
导出至
BibTeX EndNote RefMan NoteFirst NoteExpress
×
提示
您的信息不完整,为了账户安全,请先补充。
现在去补充
×
提示
您因"违规操作"
具体请查看互助需知
我知道了
×
提示
确定
请完成安全验证×
copy
已复制链接
快去分享给好友吧!
我知道了
右上角分享
点击右上角分享
0
联系我们:info@booksci.cn Book学术提供免费学术资源搜索服务,方便国内外学者检索中英文文献。致力于提供最便捷和优质的服务体验。 Copyright © 2023 布克学术 All rights reserved.
京ICP备2023020795号-1
ghs 京公网安备 11010802042870号
Book学术文献互助
Book学术文献互助群
群 号:604180095
Book学术官方微信