Evaluating the Commutability of Reference Materials for α-Fetoprotein: Accurate Value Assignment With Multiple Systems and Trueness Verification.

IF 3.9 2区 医学 Q1 MEDICAL LABORATORY TECHNOLOGY
Annals of Laboratory Medicine Pub Date : 2024-11-01 Epub Date: 2024-07-02 DOI:10.3343/alm.2023.0447
Jianping Zhang, Jing Zhao, Qingtao Wang, Rui Zhang, Yuhong Yue
{"title":"Evaluating the Commutability of Reference Materials for α-Fetoprotein: Accurate Value Assignment With Multiple Systems and Trueness Verification.","authors":"Jianping Zhang, Jing Zhao, Qingtao Wang, Rui Zhang, Yuhong Yue","doi":"10.3343/alm.2023.0447","DOIUrl":null,"url":null,"abstract":"<p><strong>Background: </strong>The accurate measurement of α-fetoprotein (AFP) is critical for clinical diagnosis. However, different AFP immunoassays may yield different results. Appropriate AFP reference materials (RMs) were selected and assigned accurate values for applications with external quality assessment (EQA) programs to standardize AFP measurements.</p><p><strong>Methods: </strong>Forty individual clinical samples and six different concentrations of candidate RMs (Can-RMs, L1-L6) were prepared by the Beijing Center for Clinical Laboratories. The Can-RMs were assigned target values by performing five immunoassays, using WHO International Standard 72/225 as a calibrator, and sent to 45 clinical laboratories in Beijing for AFP measurements. The commutability of all RMs was assessed based on CLSI and the International Federation of Clinical Chemistry and Laboratory Medicine (IFCC) approaches. Analytical performance was assessed for compliance based on accuracy (total error, TE), trueness (bias), and precision (CV).</p><p><strong>Results: </strong>The Can-RMs were commutable for all immunoassays using the CLSI approach and for 6 of 10 assay combinations using the IFCC approach. RMs diluted in WHO RM 72/225 were commutable among all assays with the CLSI approach, except for serum matrix (Autolumo vs. Roche analyzer) and diluted water matrix (Abbott vs. Roche/Mindray analyzer), whereas some inconclusive and non-commutable results were found using the IFCC approach. The average pass rates based on the TE, bias, and CV were 91%, 81%, and 95%, respectively.</p><p><strong>Conclusions: </strong>The commutability of the RMs differed between both evaluation approaches. The Can-RMs exhibited good commutability with the CLSI approach, suggesting their suitability for use with that approach as commutable EQA materials with assigned values and for monitoring the performance of AFP measurements.</p>","PeriodicalId":8421,"journal":{"name":"Annals of Laboratory Medicine","volume":" ","pages":"507-517"},"PeriodicalIF":3.9000,"publicationDate":"2024-11-01","publicationTypes":"Journal Article","fieldsOfStudy":null,"isOpenAccess":false,"openAccessPdf":"https://www.ncbi.nlm.nih.gov/pmc/articles/PMC11375202/pdf/","citationCount":"0","resultStr":null,"platform":"Semanticscholar","paperid":null,"PeriodicalName":"Annals of Laboratory Medicine","FirstCategoryId":"3","ListUrlMain":"https://doi.org/10.3343/alm.2023.0447","RegionNum":2,"RegionCategory":"医学","ArticlePicture":[],"TitleCN":null,"AbstractTextCN":null,"PMCID":null,"EPubDate":"2024/7/2 0:00:00","PubModel":"Epub","JCR":"Q1","JCRName":"MEDICAL LABORATORY TECHNOLOGY","Score":null,"Total":0}
引用次数: 0

Abstract

Background: The accurate measurement of α-fetoprotein (AFP) is critical for clinical diagnosis. However, different AFP immunoassays may yield different results. Appropriate AFP reference materials (RMs) were selected and assigned accurate values for applications with external quality assessment (EQA) programs to standardize AFP measurements.

Methods: Forty individual clinical samples and six different concentrations of candidate RMs (Can-RMs, L1-L6) were prepared by the Beijing Center for Clinical Laboratories. The Can-RMs were assigned target values by performing five immunoassays, using WHO International Standard 72/225 as a calibrator, and sent to 45 clinical laboratories in Beijing for AFP measurements. The commutability of all RMs was assessed based on CLSI and the International Federation of Clinical Chemistry and Laboratory Medicine (IFCC) approaches. Analytical performance was assessed for compliance based on accuracy (total error, TE), trueness (bias), and precision (CV).

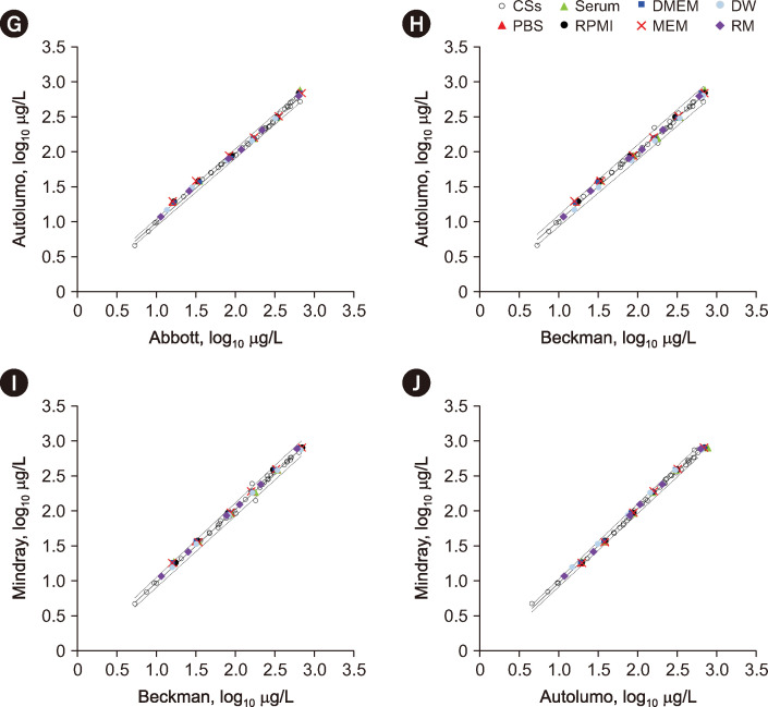
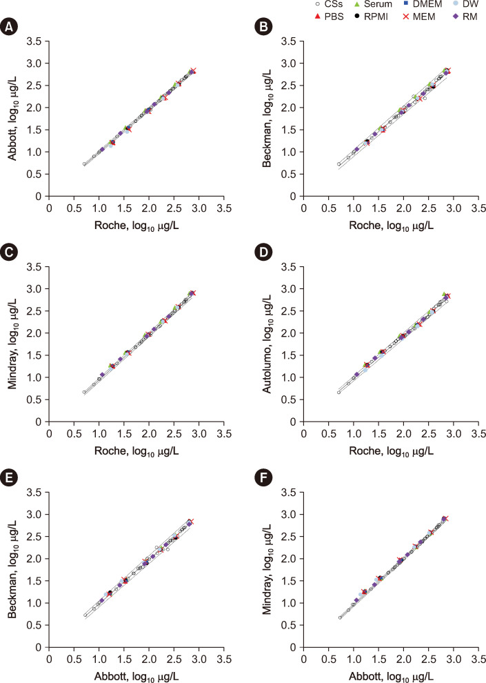
Results: The Can-RMs were commutable for all immunoassays using the CLSI approach and for 6 of 10 assay combinations using the IFCC approach. RMs diluted in WHO RM 72/225 were commutable among all assays with the CLSI approach, except for serum matrix (Autolumo vs. Roche analyzer) and diluted water matrix (Abbott vs. Roche/Mindray analyzer), whereas some inconclusive and non-commutable results were found using the IFCC approach. The average pass rates based on the TE, bias, and CV were 91%, 81%, and 95%, respectively.

Conclusions: The commutability of the RMs differed between both evaluation approaches. The Can-RMs exhibited good commutability with the CLSI approach, suggesting their suitability for use with that approach as commutable EQA materials with assigned values and for monitoring the performance of AFP measurements.

Abstract Image

Abstract Image

Abstract Image

评估α-胎儿蛋白标准物质的互换性:多系统精确定值与真实性验证。
背景:准确测量α-胎儿蛋白(AFP)对临床诊断至关重要。然而,不同的 AFP 免疫测定方法可能得出不同的结果。我们选择了适当的 AFP 参考物质(RM),并为其分配了准确的数值,以应用于外部质量评估(EQA)计划,从而实现 AFP 测量的标准化:方法:北京临床检验中心制备了 40 份临床样本和 6 种不同浓度的候选参考物质(Can-RMs,L1-L6)。以世卫组织国际标准 72/225 为校准物,通过五种免疫测定方法为 Can-RMs 分配目标值,并将其送至北京 45 家临床实验室进行 AFP 测量。根据 CLSI 和国际临床化学和检验医学联合会 (IFCC) 的方法评估了所有 RM 的互换性。根据准确度(总误差,TE)、真实度(偏差)和精密度(CV)对分析性能的符合性进行了评估:结果:采用 CLSI 方法,Can-RMs 可用于所有免疫测定;采用 IFCC 方法,Can-RMs 可用于 10 种测定组合中的 6 种。采用CLSI方法时,除血清基质(Autolumo与罗氏分析仪对比)和稀释水基质(雅培与罗氏/明德分析仪对比)外,所有化验中经WHO RM 72/225稀释的RM均可通用,而采用IFCC方法时,则发现了一些不确定和不可通用的结果。基于 TE、偏差和 CV 的平均通过率分别为 91%、81% 和 95%:结论:两种评估方法的清除量可互换性各不相同。Can-RMs在CLSI方法中表现出良好的可互换性,这表明它们适合与该方法一起使用,作为具有指定值的可互换EQA材料,并用于监测AFP测量的性能。
本文章由计算机程序翻译,如有差异,请以英文原文为准。
求助全文
约1分钟内获得全文 求助全文
来源期刊
Annals of Laboratory Medicine
Annals of Laboratory Medicine MEDICAL LABORATORY TECHNOLOGY-
CiteScore
8.30
自引率
12.20%
发文量
100
审稿时长
6-12 weeks
期刊介绍: Annals of Laboratory Medicine is the official journal of Korean Society for Laboratory Medicine. The journal title has been recently changed from the Korean Journal of Laboratory Medicine (ISSN, 1598-6535) from the January issue of 2012. The JCR 2017 Impact factor of Ann Lab Med was 1.916.
×
引用
GB/T 7714-2015
复制
MLA
复制
APA
复制
导出至
BibTeX EndNote RefMan NoteFirst NoteExpress
×
提示
您的信息不完整,为了账户安全,请先补充。
现在去补充
×
提示
您因"违规操作"
具体请查看互助需知
我知道了
×
提示
确定
请完成安全验证×
copy
已复制链接
快去分享给好友吧!
我知道了
右上角分享
点击右上角分享
0
联系我们:info@booksci.cn Book学术提供免费学术资源搜索服务,方便国内外学者检索中英文文献。致力于提供最便捷和优质的服务体验。 Copyright © 2023 布克学术 All rights reserved.
京ICP备2023020795号-1
ghs 京公网安备 11010802042870号
Book学术文献互助
Book学术文献互助群
群 号:604180095
Book学术官方微信