Assessing the Risk of Heart Attack: A Bayesian Kernel Machine Regression Analysis of Heavy Metal Mixtures.

Boubakari Ibrahimou, Kazi Tanvir Hasan, Shelbie Burchfield, Hamisu Salihu, Yiliang Zhu, Getachew Dagne, Mario De La Rosa, Assefa Melesse, Roberto Lucchini, Zoran Bursac
{"title":"Assessing the Risk of Heart Attack: A Bayesian Kernel Machine Regression Analysis of Heavy Metal Mixtures.","authors":"Boubakari Ibrahimou, Kazi Tanvir Hasan, Shelbie Burchfield, Hamisu Salihu, Yiliang Zhu, Getachew Dagne, Mario De La Rosa, Assefa Melesse, Roberto Lucchini, Zoran Bursac","doi":"10.21203/rs.3.rs-4456611/v1","DOIUrl":null,"url":null,"abstract":"<p><strong>Background: </strong>The assessment of heavy metals' effects on human health is frequently limited to investigating one metal or a group of related metals. The effect of heavy metals mixture on heart attack is unknown.</p><p><strong>Methods: </strong>This study applied the Bayesian kernel machine regression model (BKMR) to the 2011-2016 National Health and Nutrition Examination Survey (NHANES) data to investigate the association between heavy metal mixture exposure with heart attack. 2972 participants over the age of 20 were included in the study.</p><p><strong>Results: </strong>Results indicate that heart attack patients have higher levels of cadmium and lead in the blood and cadmium, cobalt, and tin in the urine, while having lower levels of mercury, manganese, and selenium in the blood and manganese, barium, tungsten, and strontium in the urine. The estimated risk of heart attack showed a negative association of 0.0030 units when all the metals were at their 25<sup>th</sup> percentile compared to their 50<sup>th</sup> percentile and a positive association of 0.0285 units when all the metals were at their 75<sup>th</sup> percentile compared to their 50<sup>th</sup> percentile. The results suggest that heavy metal exposure, especially cadmium and lead, may increase the risk of heart attacks.</p><p><strong>Conclusions: </strong>This study suggests a possible association between heavy metal mixture exposure and heart attack and, additionally, demonstrates how the BKMR model can be used to investigate new combinations of exposures in future studies.</p>","PeriodicalId":94282,"journal":{"name":"Research square","volume":" ","pages":""},"PeriodicalIF":0.0000,"publicationDate":"2024-06-18","publicationTypes":"Journal Article","fieldsOfStudy":null,"isOpenAccess":false,"openAccessPdf":"https://www.ncbi.nlm.nih.gov/pmc/articles/PMC11213216/pdf/","citationCount":"0","resultStr":null,"platform":"Semanticscholar","paperid":null,"PeriodicalName":"Research square","FirstCategoryId":"1085","ListUrlMain":"https://doi.org/10.21203/rs.3.rs-4456611/v1","RegionNum":0,"RegionCategory":null,"ArticlePicture":[],"TitleCN":null,"AbstractTextCN":null,"PMCID":null,"EPubDate":"","PubModel":"","JCR":"","JCRName":"","Score":null,"Total":0}
引用次数: 0

Abstract

Background: The assessment of heavy metals' effects on human health is frequently limited to investigating one metal or a group of related metals. The effect of heavy metals mixture on heart attack is unknown.

Methods: This study applied the Bayesian kernel machine regression model (BKMR) to the 2011-2016 National Health and Nutrition Examination Survey (NHANES) data to investigate the association between heavy metal mixture exposure with heart attack. 2972 participants over the age of 20 were included in the study.

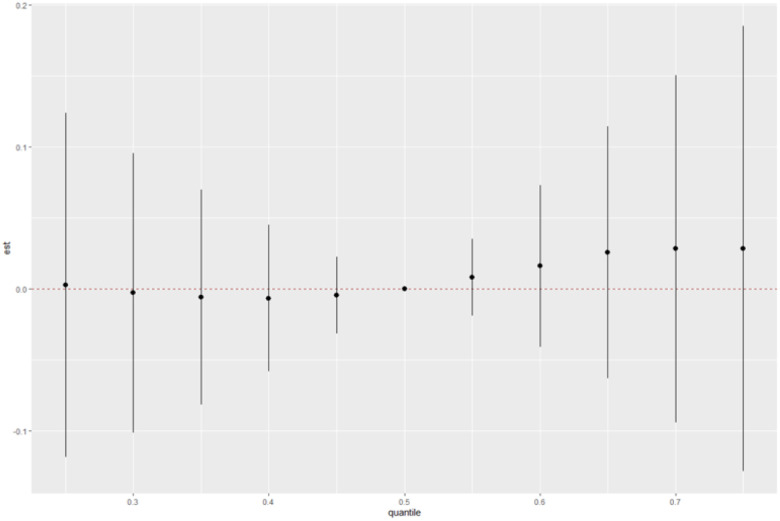
Results: Results indicate that heart attack patients have higher levels of cadmium and lead in the blood and cadmium, cobalt, and tin in the urine, while having lower levels of mercury, manganese, and selenium in the blood and manganese, barium, tungsten, and strontium in the urine. The estimated risk of heart attack showed a negative association of 0.0030 units when all the metals were at their 25th percentile compared to their 50th percentile and a positive association of 0.0285 units when all the metals were at their 75th percentile compared to their 50th percentile. The results suggest that heavy metal exposure, especially cadmium and lead, may increase the risk of heart attacks.

Conclusions: This study suggests a possible association between heavy metal mixture exposure and heart attack and, additionally, demonstrates how the BKMR model can be used to investigate new combinations of exposures in future studies.

Abstract Image

Abstract Image

Abstract Image

评估心脏病发作风险:重金属混合物的贝叶斯核机器回归分析》。
背景:重金属对人体健康影响的评估通常仅限于调查一种金属或一组相关金属。重金属混合物对心脏病发作的影响尚不清楚。研究方法本研究将贝叶斯核机器回归模型(BKMR)应用于 2011-2016 年美国国家健康与营养调查(NHANES)数据,以调查重金属混合物暴露与心脏病发作之间的关联。研究共纳入了 2972 名 20 岁以上的参与者。研究结果结果表明,心脏病患者血液中的镉和铅以及尿液中的镉、钴和锡含量较高,而血液中的汞、锰和硒以及尿液中的锰、钡、钨和锶含量较低。当所有金属含量处于第 25 百分位数时,心脏病发作的估计风险与第 50 百分位数相比呈 0.0030 个单位的负相关;当所有金属含量处于第 75 百分位数时,心脏病发作的估计风险与第 50 百分位数相比呈 0.0285 个单位的正相关。结果表明,接触重金属,尤其是镉和铅,可能会增加心脏病发作的风险。结论该研究表明,重金属混合物暴露与心脏病发作之间可能存在关联,此外,该研究还展示了如何在未来的研究中使用 BKMR 模型来调查新的暴露组合。
本文章由计算机程序翻译,如有差异,请以英文原文为准。
求助全文
约1分钟内获得全文 求助全文
来源期刊
自引率
0.00%
发文量
0
×
引用
GB/T 7714-2015
复制
MLA
复制
APA
复制
导出至
BibTeX EndNote RefMan NoteFirst NoteExpress
×
提示
您的信息不完整,为了账户安全,请先补充。
现在去补充
×
提示
您因"违规操作"
具体请查看互助需知
我知道了
×
提示
确定
请完成安全验证×
copy
已复制链接
快去分享给好友吧!
我知道了
右上角分享
点击右上角分享
0
联系我们:info@booksci.cn Book学术提供免费学术资源搜索服务,方便国内外学者检索中英文文献。致力于提供最便捷和优质的服务体验。 Copyright © 2023 布克学术 All rights reserved.
京ICP备2023020795号-1
ghs 京公网安备 11010802042870号
Book学术文献互助
Book学术文献互助群
群 号:604180095
Book学术官方微信