AI-enabled Cardiac Chambers Volumetry and Calcified Plaque Characterization in Coronary Artery Calcium (CAC) Scans (AI-CAC) Significantly Improves on Agatston CAC Score for Predicting All Cardiovascular Events: The Multi-Ethnic Study of Atherosclerosis.

Morteza Naghavi, Anthony Reeves, Kyle Atlas, Chenyu Zhang, Thomas Atlas, Claudia Henschke, David Yankelevitz, Matthew Budoff, Dong Li, Sion Roy, Khurram Nasir, Jagat Narula, Ioannis Kakadiaris, Sabee Molloi, Zahi Fayad, David Maron, Michael McConnell, Kim Williams, Daniel Levy, Nathan Wong
{"title":"AI-enabled Cardiac Chambers Volumetry and Calcified Plaque Characterization in Coronary Artery Calcium (CAC) Scans (AI-CAC) Significantly Improves on Agatston CAC Score for Predicting All Cardiovascular Events: The Multi-Ethnic Study of Atherosclerosis.","authors":"Morteza Naghavi, Anthony Reeves, Kyle Atlas, Chenyu Zhang, Thomas Atlas, Claudia Henschke, David Yankelevitz, Matthew Budoff, Dong Li, Sion Roy, Khurram Nasir, Jagat Narula, Ioannis Kakadiaris, Sabee Molloi, Zahi Fayad, David Maron, Michael McConnell, Kim Williams, Daniel Levy, Nathan Wong","doi":"10.21203/rs.3.rs-4433105/v1","DOIUrl":null,"url":null,"abstract":"<p><strong>Background: </strong>Coronary artery calcium (CAC) scans contain valuable information beyond the Agatston Score which is currently reported for predicting coronary heart disease (CHD) only. We examined whether new artificial intelligence (AI) algorithms applied to CAC scans may provide significant improvement in prediction of all cardiovascular disease (CVD) events in addition to CHD, including heart failure, atrial fibrillation, stroke, resuscitated cardiac arrest, and all CVD-related deaths.</p><p><strong>Methods: </strong>We applied AI-enabled automated cardiac chambers volumetry and automated calcified plaque characterization to CAC scans (AI-CAC) of 5830 individuals (52.2% women, age 61.7±10.2 years) without known CVD that were previously obtained for CAC scoring at the baseline examination of the Multi-Ethnic Study of Atherosclerosis (MESA). We used 15-year outcomes data and assessed discrimination using the time-dependent area under the curve (AUC) for AI-CAC versus the Agatston Score.</p><p><strong>Results: </strong>During 15 years of follow-up, 1773 CVD events accrued. The AUC at 1-, 5-, 10-, and 15-year follow up for AI-CAC vs Agatston Score was (0.784 vs 0.701), (0.771 vs. 0.709), (0.789 vs.0.712) and (0.816 vs. 0.729) (p<0.0001 for all), respectively. The category-free Net Reclassification Index of AI-CAC vs. Agatston Score at 1-, 5-, 10-, and 15-year follow up was 0.31, 0.24, 0.29 and 0.29 (p<.0001 for all), respectively. AI-CAC plaque characteristics including number, location, and density of plaque plus number of vessels significantly improved NRI for CAC 1-100 cohort vs. Agatston Score (0.342).</p><p><strong>Conclusion: </strong>In this multi-ethnic longitudinal population study, AI-CAC significantly and consistently improved the prediction of all CVD events over 15 years compared with the Agatston score.</p>","PeriodicalId":94282,"journal":{"name":"Research square","volume":" ","pages":""},"PeriodicalIF":0.0000,"publicationDate":"2024-06-20","publicationTypes":"Journal Article","fieldsOfStudy":null,"isOpenAccess":false,"openAccessPdf":"https://www.ncbi.nlm.nih.gov/pmc/articles/PMC11213177/pdf/","citationCount":"0","resultStr":null,"platform":"Semanticscholar","paperid":null,"PeriodicalName":"Research square","FirstCategoryId":"1085","ListUrlMain":"https://doi.org/10.21203/rs.3.rs-4433105/v1","RegionNum":0,"RegionCategory":null,"ArticlePicture":[],"TitleCN":null,"AbstractTextCN":null,"PMCID":null,"EPubDate":"","PubModel":"","JCR":"","JCRName":"","Score":null,"Total":0}
引用次数: 0

Abstract

Background: Coronary artery calcium (CAC) scans contain valuable information beyond the Agatston Score which is currently reported for predicting coronary heart disease (CHD) only. We examined whether new artificial intelligence (AI) algorithms applied to CAC scans may provide significant improvement in prediction of all cardiovascular disease (CVD) events in addition to CHD, including heart failure, atrial fibrillation, stroke, resuscitated cardiac arrest, and all CVD-related deaths.

Methods: We applied AI-enabled automated cardiac chambers volumetry and automated calcified plaque characterization to CAC scans (AI-CAC) of 5830 individuals (52.2% women, age 61.7±10.2 years) without known CVD that were previously obtained for CAC scoring at the baseline examination of the Multi-Ethnic Study of Atherosclerosis (MESA). We used 15-year outcomes data and assessed discrimination using the time-dependent area under the curve (AUC) for AI-CAC versus the Agatston Score.

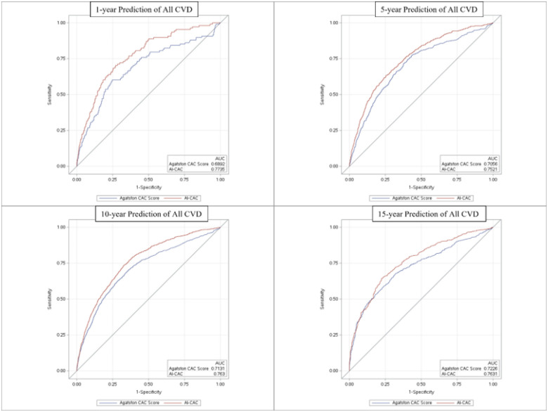
Results: During 15 years of follow-up, 1773 CVD events accrued. The AUC at 1-, 5-, 10-, and 15-year follow up for AI-CAC vs Agatston Score was (0.784 vs 0.701), (0.771 vs. 0.709), (0.789 vs.0.712) and (0.816 vs. 0.729) (p<0.0001 for all), respectively. The category-free Net Reclassification Index of AI-CAC vs. Agatston Score at 1-, 5-, 10-, and 15-year follow up was 0.31, 0.24, 0.29 and 0.29 (p<.0001 for all), respectively. AI-CAC plaque characteristics including number, location, and density of plaque plus number of vessels significantly improved NRI for CAC 1-100 cohort vs. Agatston Score (0.342).

Conclusion: In this multi-ethnic longitudinal population study, AI-CAC significantly and consistently improved the prediction of all CVD events over 15 years compared with the Agatston score.

Abstract Image

Abstract Image

Abstract Image

AI-enabled Cardiac Chambers Volumetry and Calcified Plaque Characterization in Coronary Artery Calcium (CAC) Scans (AI-CAC) Significantly Improves on Agatston CAC Score for Predicting All Cardiovascular Events:多种族动脉粥样硬化研究》。
背景:冠状动脉钙化(CAC)扫描所包含的宝贵信息超出了阿加斯顿评分(Agatston Score),目前报告的阿加斯顿评分仅用于预测冠心病(CHD)。我们研究了应用于 CAC 扫描的新型人工智能(AI)算法是否能显著改善除冠心病以外的所有心血管疾病(CVD)事件的预测,包括心力衰竭、心房颤动、中风、心脏骤停复苏以及所有与 CVD 相关的死亡。方法我们将人工智能支持的自动心腔容积测量和自动钙化斑块特征描述应用于CAC扫描(AI-CAC),扫描对象为5830名无已知心血管疾病的患者(52.2%为女性,年龄为61.7±10.2岁),这些患者之前在多种族动脉粥样硬化研究(MESA)的基线检查中获得了CAC评分。我们使用了 15 年的结果数据,并使用随时间变化的曲线下面积 (AUC) 评估了 AI-CAC 与 Agatston 评分的区分度。结果:在 15 年的随访期间,共发生了 1773 起心血管疾病事件。随访1年、5年、10年和15年期间,AI-CAC与Agatston评分的曲线下面积分别为(0.784 vs. 0.701)、(0.771 vs. 0.709)、(0.789 vs. 0.712)和(0.816 vs. 0.729)(p结论:在这项多种族纵向人群研究中,与阿加斯顿评分相比,AI-CAC 能显著且持续地提高 15 年内所有心血管疾病事件的预测能力。
本文章由计算机程序翻译,如有差异,请以英文原文为准。
求助全文
约1分钟内获得全文 求助全文
来源期刊
自引率
0.00%
发文量
0
×
引用
GB/T 7714-2015
复制
MLA
复制
APA
复制
导出至
BibTeX EndNote RefMan NoteFirst NoteExpress
×
提示
您的信息不完整,为了账户安全,请先补充。
现在去补充
×
提示
您因"违规操作"
具体请查看互助需知
我知道了
×
提示
确定
请完成安全验证×
copy
已复制链接
快去分享给好友吧!
我知道了
右上角分享
点击右上角分享
0
联系我们:info@booksci.cn Book学术提供免费学术资源搜索服务,方便国内外学者检索中英文文献。致力于提供最便捷和优质的服务体验。 Copyright © 2023 布克学术 All rights reserved.
京ICP备2023020795号-1
ghs 京公网安备 11010802042870号
Book学术文献互助
Book学术文献互助群
群 号:604180095
Book学术官方微信