Hypofractionated radiation therapy combined with androgen deprivation therapy for clinically node-positive prostate cancer.

Radiation oncology journal Pub Date : 2024-06-01 Epub Date: 2024-06-25 DOI:10.3857/roj.2024.00080
Tae Hoon Lee, Hongryull Pyo, Gyu Sang Yoo, Seong Soo Jeon, Seong Il Seo, Byong Chang Jeong, Hwang Gyun Jeon, Hyun Hwan Sung, Minyong Kang, Wan Song, Jae Hoon Chung, Bong Kyung Bae, Won Park
{"title":"Hypofractionated radiation therapy combined with androgen deprivation therapy for clinically node-positive prostate cancer.","authors":"Tae Hoon Lee, Hongryull Pyo, Gyu Sang Yoo, Seong Soo Jeon, Seong Il Seo, Byong Chang Jeong, Hwang Gyun Jeon, Hyun Hwan Sung, Minyong Kang, Wan Song, Jae Hoon Chung, Bong Kyung Bae, Won Park","doi":"10.3857/roj.2024.00080","DOIUrl":null,"url":null,"abstract":"<p><strong>Purpose: </strong>This study aimed to analyze the treatment outcomes of combined definitive radiation therapy (RT) and androgen deprivation therapy (ADT) for clinically node-positive prostate cancer.</p><p><strong>Materials and methods: </strong>Medical records of 60 patients with clinically suspected metastatic lymph nodes on radiological examination were retrospectively analyzed. Eight patients (13.3%) were suspected to have metastatic common iliac or para-aortic lymph nodes. All patients underwent definitive RT with a dose fractionation of 70 Gy in 28 fractions. ADT was initiated 2-3 months before RT and continued for at least 2 years. Biochemical failure rate (BFR), clinical failure rate (CFR), overall survival (OS), and prostate cancer-specific survival (PCSS) were calculated, and genitourinary and gastrointestinal adverse events were recorded.</p><p><strong>Results: </strong>The median follow-up period was 5.47 years. The 5-year BFR, CFR, OS, and PCSS rates were 19.1%, 11.3%, 89.0%, and 98.2%, respectively. The median duration of ADT was 2.30 years. BFR and CFR increased after 3 years, and 11 out of 14 biochemical failures occurred after the cessation of ADT. Grade 2 and beyond late genitourinary and gastrointestinal toxicity rates were 5.0% and 13.3%, respectively. However, only two grade 3 adverse events were reported, and no grade 4-5 adverse events were reported. Patients with non-regional lymph node metastases did not have worse BFR, CFR, or adverse event rates.</p><p><strong>Conclusion: </strong>This study reported the efficacy and tolerable toxicity of hypofractionated definitive RT combined with ADT for clinically node-positive prostate cancer. Additionally, selected patients with adjacent non-regional lymph node metastases might be able to undergo definitive RT combined with ADT.</p>","PeriodicalId":94184,"journal":{"name":"Radiation oncology journal","volume":"42 2","pages":"139-147"},"PeriodicalIF":0.0000,"publicationDate":"2024-06-01","publicationTypes":"Journal Article","fieldsOfStudy":null,"isOpenAccess":false,"openAccessPdf":"https://www.ncbi.nlm.nih.gov/pmc/articles/PMC11215505/pdf/","citationCount":"0","resultStr":null,"platform":"Semanticscholar","paperid":null,"PeriodicalName":"Radiation oncology journal","FirstCategoryId":"1085","ListUrlMain":"https://doi.org/10.3857/roj.2024.00080","RegionNum":0,"RegionCategory":null,"ArticlePicture":[],"TitleCN":null,"AbstractTextCN":null,"PMCID":null,"EPubDate":"2024/6/25 0:00:00","PubModel":"Epub","JCR":"","JCRName":"","Score":null,"Total":0}
引用次数: 0

Abstract

Purpose: This study aimed to analyze the treatment outcomes of combined definitive radiation therapy (RT) and androgen deprivation therapy (ADT) for clinically node-positive prostate cancer.

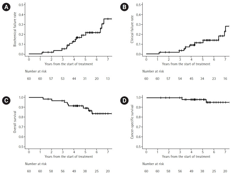
Materials and methods: Medical records of 60 patients with clinically suspected metastatic lymph nodes on radiological examination were retrospectively analyzed. Eight patients (13.3%) were suspected to have metastatic common iliac or para-aortic lymph nodes. All patients underwent definitive RT with a dose fractionation of 70 Gy in 28 fractions. ADT was initiated 2-3 months before RT and continued for at least 2 years. Biochemical failure rate (BFR), clinical failure rate (CFR), overall survival (OS), and prostate cancer-specific survival (PCSS) were calculated, and genitourinary and gastrointestinal adverse events were recorded.

Results: The median follow-up period was 5.47 years. The 5-year BFR, CFR, OS, and PCSS rates were 19.1%, 11.3%, 89.0%, and 98.2%, respectively. The median duration of ADT was 2.30 years. BFR and CFR increased after 3 years, and 11 out of 14 biochemical failures occurred after the cessation of ADT. Grade 2 and beyond late genitourinary and gastrointestinal toxicity rates were 5.0% and 13.3%, respectively. However, only two grade 3 adverse events were reported, and no grade 4-5 adverse events were reported. Patients with non-regional lymph node metastases did not have worse BFR, CFR, or adverse event rates.

Conclusion: This study reported the efficacy and tolerable toxicity of hypofractionated definitive RT combined with ADT for clinically node-positive prostate cancer. Additionally, selected patients with adjacent non-regional lymph node metastases might be able to undergo definitive RT combined with ADT.

Abstract Image

Abstract Image

低分次放射治疗结合雄激素剥夺疗法治疗临床结节阳性前列腺癌。
目的:本研究旨在分析确定性放疗(RT)和雄激素剥夺疗法(ADT)联合治疗临床结节阳性前列腺癌的疗效:回顾性分析了60例经放射学检查临床疑似淋巴结转移患者的病历。8名患者(13.3%)被怀疑有髂总淋巴结或主动脉旁淋巴结转移。所有患者都接受了明确的 RT 治疗,剂量为 70 Gy,分 28 次进行。ADT 在 RT 前 2-3 个月开始,持续至少 2 年。计算生化失败率(BFR)、临床失败率(CFR)、总生存率(OS)和前列腺癌特异性生存率(PCSS),并记录泌尿生殖系统和胃肠道不良事件:中位随访时间为5.47年。5年BFR、CFR、OS和PCSS率分别为19.1%、11.3%、89.0%和98.2%。ADT 的中位持续时间为 2.30 年。BFR和CFR在3年后有所增加,14例生化失败中有11例发生在ADT停止后。2级及以上的晚期泌尿生殖系统和胃肠道毒性发生率分别为5.0%和13.3%。不过,仅报告了两例3级不良事件,未报告4-5级不良事件。非区域性淋巴结转移患者的BFR、CFR或不良事件发生率并没有降低:本研究报告了低分次明确RT联合ADT治疗临床结节阳性前列腺癌的疗效和可耐受毒性。此外,一些邻近非区域淋巴结转移的患者也可以接受明确RT联合ADT治疗。
本文章由计算机程序翻译,如有差异,请以英文原文为准。
求助全文
约1分钟内获得全文 求助全文
来源期刊
CiteScore
3.80
自引率
0.00%
发文量
0
×
引用
GB/T 7714-2015
复制
MLA
复制
APA
复制
导出至
BibTeX EndNote RefMan NoteFirst NoteExpress
×
提示
您的信息不完整,为了账户安全,请先补充。
现在去补充
×
提示
您因"违规操作"
具体请查看互助需知
我知道了
×
提示
确定
请完成安全验证×
copy
已复制链接
快去分享给好友吧!
我知道了
右上角分享
点击右上角分享
0
联系我们:info@booksci.cn Book学术提供免费学术资源搜索服务,方便国内外学者检索中英文文献。致力于提供最便捷和优质的服务体验。 Copyright © 2023 布克学术 All rights reserved.
京ICP备2023020795号-1
ghs 京公网安备 11010802042870号
Book学术文献互助
Book学术文献互助群
群 号:604180095
Book学术官方微信