SleepSync: Early Testing of a Personalised Sleep-Wake Management Smartphone Application for Improving Sleep and Cognitive Fitness in Defence Shift Workers.

IF 2.1 Q3 CLINICAL NEUROLOGY
Prerna Varma, Svetlana Postnova, Stuart Knock, Mark E Howard, Eugene Aidman, Shantha W M Rajaratnam, Tracey L Sletten
{"title":"SleepSync: Early Testing of a Personalised Sleep-Wake Management Smartphone Application for Improving Sleep and Cognitive Fitness in Defence Shift Workers.","authors":"Prerna Varma, Svetlana Postnova, Stuart Knock, Mark E Howard, Eugene Aidman, Shantha W M Rajaratnam, Tracey L Sletten","doi":"10.3390/clockssleep6020019","DOIUrl":null,"url":null,"abstract":"<p><p>Shift work, long work hours, and operational tasks contribute to sleep and circadian disruption in defence personnel, with profound impacts on cognition. To address this, a digital technology, the SleepSync app, was designed for use in defence. A pre-post design study was undertaken to examine whether four weeks app use improved sleep and cognitive fitness (high performance neurocognition) in a cohort of shift workers from the Royal Australian Air Force. In total, 13 of approximately 20 shift-working personnel from one base volunteered for the study. Sleep outcomes were assessed using the Insomnia Severity Index (ISI), the Patient-Reported Outcomes Measurement Information System (PROMIS), Sleep Disturbance and Sleep-Related Impairment Scales, the Glasgow Sleep Effort Scale, the Sleep Hygiene Index, and mental health was assessed using the Depression, Anxiety, and Stress Scale-21. Sustained attention was measured using the 3-min Psychomotor Vigilance Task (PVT) and controlled response using the NBack. Results showed significant improvements in insomnia (ISI scores 10.31 at baseline and 7.50 after app use), sleep-related impairments (SRI T-scores 53.03 at baseline to 46.75 post-app use), and healthy sleep practices (SHI scores 21.61 at baseline to 18.83 post-app use; all <i>p</i> < 0.001). Trends for improvement were recorded for depression. NBack incorrect responses reduced significantly (9.36 at baseline; reduced by -3.87 at last week of app use, <i>p</i> < 0.001), but no other objective measures improved. These findings suggest that SleepSync may improve sleep and positively enhance cognitive fitness but warrants further investigation in large samples. Randomised control trials with other cohorts of defence personnel are needed to confirm the utility of this intervention in defence settings.</p>","PeriodicalId":33568,"journal":{"name":"Clocks & Sleep","volume":"6 2","pages":"267-280"},"PeriodicalIF":2.1000,"publicationDate":"2024-05-29","publicationTypes":"Journal Article","fieldsOfStudy":null,"isOpenAccess":false,"openAccessPdf":"https://www.ncbi.nlm.nih.gov/pmc/articles/PMC11203003/pdf/","citationCount":"0","resultStr":null,"platform":"Semanticscholar","paperid":null,"PeriodicalName":"Clocks & Sleep","FirstCategoryId":"1085","ListUrlMain":"https://doi.org/10.3390/clockssleep6020019","RegionNum":0,"RegionCategory":null,"ArticlePicture":[],"TitleCN":null,"AbstractTextCN":null,"PMCID":null,"EPubDate":"","PubModel":"","JCR":"Q3","JCRName":"CLINICAL NEUROLOGY","Score":null,"Total":0}
引用次数: 0

Abstract

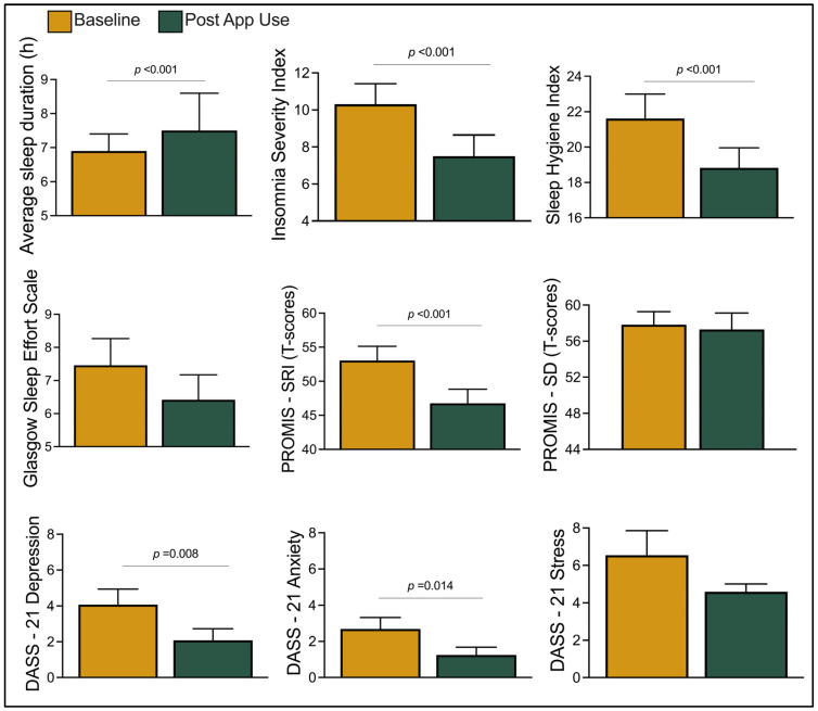
Shift work, long work hours, and operational tasks contribute to sleep and circadian disruption in defence personnel, with profound impacts on cognition. To address this, a digital technology, the SleepSync app, was designed for use in defence. A pre-post design study was undertaken to examine whether four weeks app use improved sleep and cognitive fitness (high performance neurocognition) in a cohort of shift workers from the Royal Australian Air Force. In total, 13 of approximately 20 shift-working personnel from one base volunteered for the study. Sleep outcomes were assessed using the Insomnia Severity Index (ISI), the Patient-Reported Outcomes Measurement Information System (PROMIS), Sleep Disturbance and Sleep-Related Impairment Scales, the Glasgow Sleep Effort Scale, the Sleep Hygiene Index, and mental health was assessed using the Depression, Anxiety, and Stress Scale-21. Sustained attention was measured using the 3-min Psychomotor Vigilance Task (PVT) and controlled response using the NBack. Results showed significant improvements in insomnia (ISI scores 10.31 at baseline and 7.50 after app use), sleep-related impairments (SRI T-scores 53.03 at baseline to 46.75 post-app use), and healthy sleep practices (SHI scores 21.61 at baseline to 18.83 post-app use; all p < 0.001). Trends for improvement were recorded for depression. NBack incorrect responses reduced significantly (9.36 at baseline; reduced by -3.87 at last week of app use, p < 0.001), but no other objective measures improved. These findings suggest that SleepSync may improve sleep and positively enhance cognitive fitness but warrants further investigation in large samples. Randomised control trials with other cohorts of defence personnel are needed to confirm the utility of this intervention in defence settings.

Abstract Image

SleepSync:个性化睡眠-觉醒管理智能手机应用程序的早期测试,以改善国防轮班工人的睡眠和认知健康。
轮班工作、长时间工作和操作任务会导致国防人员的睡眠和昼夜节律紊乱,对认知能力产生深远影响。为了解决这个问题,我们设计了一种数字技术--SleepSync 应用程序,供国防人员使用。我们进行了一项前后期设计研究,以考察使用该应用程序四周后,澳大利亚皇家空军轮班人员的睡眠和认知能力(高性能神经认知)是否得到改善。在一个基地约 20 名轮班工作人员中,共有 13 人自愿参加了这项研究。睡眠结果采用失眠严重程度指数(ISI)、患者报告结果测量信息系统(PROMIS)、睡眠干扰和睡眠相关损害量表、格拉斯哥睡眠努力量表、睡眠卫生指数进行评估,心理健康采用抑郁、焦虑和压力量表-21进行评估。持续注意力通过 3 分钟精神运动警觉任务(PVT)进行测量,控制反应通过 NBack 进行测量。结果显示,失眠(基线时的 ISI 分数为 10.31,使用应用程序后为 7.50)、睡眠相关障碍(基线时的 SRI T 分数为 53.03,使用应用程序后为 46.75)和健康睡眠习惯(基线时的 SHI 分数为 21.61,使用应用程序后为 18.83;所有 p <0.001)均有明显改善。在抑郁方面也出现了改善趋势。NBack 错误反应明显减少(基线时为 9.36;使用应用程序的最后一周减少了-3.87,p < 0.001),但其他客观指标没有改善。这些研究结果表明,SleepSync 可以改善睡眠并积极提高认知能力,但还需要在大样本中进行进一步研究。需要在其他国防人员群体中进行随机对照试验,以确认这种干预措施在国防环境中的效用。
本文章由计算机程序翻译,如有差异,请以英文原文为准。
求助全文
约1分钟内获得全文 求助全文
来源期刊
Clocks & Sleep
Clocks & Sleep Multiple-
CiteScore
4.40
自引率
0.00%
发文量
0
审稿时长
7 weeks
×
引用
GB/T 7714-2015
复制
MLA
复制
APA
复制
导出至
BibTeX EndNote RefMan NoteFirst NoteExpress
×
提示
您的信息不完整,为了账户安全,请先补充。
现在去补充
×
提示
您因"违规操作"
具体请查看互助需知
我知道了
×
提示
确定
请完成安全验证×
copy
已复制链接
快去分享给好友吧!
我知道了
右上角分享
点击右上角分享
0
联系我们:info@booksci.cn Book学术提供免费学术资源搜索服务,方便国内外学者检索中英文文献。致力于提供最便捷和优质的服务体验。 Copyright © 2023 布克学术 All rights reserved.
京ICP备2023020795号-1
ghs 京公网安备 11010802042870号
Book学术文献互助
Book学术文献互助群
群 号:604180095
Book学术官方微信