Longitudinal associations between post-traumatic stress and post-traumatic growth among older adults 11 years after a disaster.

IF 6.1 2区 医学 Q1 PSYCHIATRY
Hiroyuki Hikichi, Kanako Taku, Jun Aida, Katsunori Kondo, Ichiro Kawchi
{"title":"Longitudinal associations between post-traumatic stress and post-traumatic growth among older adults 11 years after a disaster.","authors":"Hiroyuki Hikichi, Kanako Taku, Jun Aida, Katsunori Kondo, Ichiro Kawchi","doi":"10.1017/S2045796024000362","DOIUrl":null,"url":null,"abstract":"<p><strong>Aims: </strong>Previous studies have reported inconsistent findings regarding the association between post-traumatic stress (PTS) and post-traumatic growth (PTG). Three major issues could account for this inconsistency: (1) the lack of information about mental health problems before the disaster, (2) the concept of PTG is still under scrutiny for potentially being an illusionary perception of personal growth and (3) the overlooking of PTS comorbidities as time-dependent confounding factors. To address these issues, we explored the associations of PTS and PTG with trauma-related diseases and examined the association between PTS and PTG using marginal structural models to address time-dependent confounding, considering pre-disaster covariates, among older survivors of the 2011 Japan Earthquake and Tsunami.</p><p><strong>Methods: </strong>Seven months before the disaster, the baseline survey was implemented to ask older adults about their health in a city located 80 km west of the epicentre. After the disaster, we implemented follow-up surveys approximately every 3 years to collect information about PTS and comorbidities (depressive symptoms, smoking and drinking). We asked respondents about their PTG in the 2022 survey (<i>n</i> = 1,489 in the five-wave panel data).</p><p><strong>Results: </strong>PTG was protectively associated with functional disability (coefficient -0.47, 95% confidence interval (CI) -0.82, -0.12, <i>P</i> < 0.01) and cognitive decline assessed by trained investigators (coefficient -0.07, 95% CI -0.11, -0.03, <i>P</i> < 0.01) and physicians (coefficient -0.06, 95% CI -0.11, -0.02, <i>P</i> < 0.01), while PTS was not significantly associated with them. Severely affected PTS (binary variable) was associated with higher PTG scores, even after adjusting for depressive symptoms, smoking and drinking as time-dependent confounders (coefficient 0.35, 95% CI 0.24, 0.46, <i>P</i> < 0.01). We also found that an ordinal variable of the PTS score had an inverse U-shaped association with PTG.</p><p><strong>Conclusion: </strong>PTG and PTS were differentially associated with functional and cognitive disabilities. Thus, PTG might not simply be a cognitive bias among survivors with severe PTS. The results also indicated that the number of symptoms in PTS had an inverse U-shaped association with PTG. Our findings provided robust support for the theory of PTG, suggesting that moderate levels of psychological struggles (i.e., PTS) are essential for achieving PTG, whereas intense PTS may hinder the attainment of PTG. From a clinical perspective, interventions that encourage social support could be beneficial in achieving PTG by facilitating deliberate rumination.</p>","PeriodicalId":11787,"journal":{"name":"Epidemiology and Psychiatric Sciences","volume":"33 ","pages":"e33"},"PeriodicalIF":6.1000,"publicationDate":"2024-06-26","publicationTypes":"Journal Article","fieldsOfStudy":null,"isOpenAccess":false,"openAccessPdf":"https://www.ncbi.nlm.nih.gov/pmc/articles/PMC11362680/pdf/","citationCount":"0","resultStr":null,"platform":"Semanticscholar","paperid":null,"PeriodicalName":"Epidemiology and Psychiatric Sciences","FirstCategoryId":"3","ListUrlMain":"https://doi.org/10.1017/S2045796024000362","RegionNum":2,"RegionCategory":"医学","ArticlePicture":[],"TitleCN":null,"AbstractTextCN":null,"PMCID":null,"EPubDate":"","PubModel":"","JCR":"Q1","JCRName":"PSYCHIATRY","Score":null,"Total":0}
引用次数: 0

Abstract

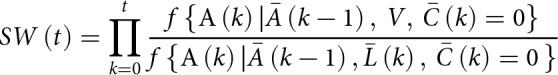
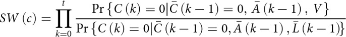
Aims: Previous studies have reported inconsistent findings regarding the association between post-traumatic stress (PTS) and post-traumatic growth (PTG). Three major issues could account for this inconsistency: (1) the lack of information about mental health problems before the disaster, (2) the concept of PTG is still under scrutiny for potentially being an illusionary perception of personal growth and (3) the overlooking of PTS comorbidities as time-dependent confounding factors. To address these issues, we explored the associations of PTS and PTG with trauma-related diseases and examined the association between PTS and PTG using marginal structural models to address time-dependent confounding, considering pre-disaster covariates, among older survivors of the 2011 Japan Earthquake and Tsunami.

Methods: Seven months before the disaster, the baseline survey was implemented to ask older adults about their health in a city located 80 km west of the epicentre. After the disaster, we implemented follow-up surveys approximately every 3 years to collect information about PTS and comorbidities (depressive symptoms, smoking and drinking). We asked respondents about their PTG in the 2022 survey (n = 1,489 in the five-wave panel data).

Results: PTG was protectively associated with functional disability (coefficient -0.47, 95% confidence interval (CI) -0.82, -0.12, P < 0.01) and cognitive decline assessed by trained investigators (coefficient -0.07, 95% CI -0.11, -0.03, P < 0.01) and physicians (coefficient -0.06, 95% CI -0.11, -0.02, P < 0.01), while PTS was not significantly associated with them. Severely affected PTS (binary variable) was associated with higher PTG scores, even after adjusting for depressive symptoms, smoking and drinking as time-dependent confounders (coefficient 0.35, 95% CI 0.24, 0.46, P < 0.01). We also found that an ordinal variable of the PTS score had an inverse U-shaped association with PTG.

Conclusion: PTG and PTS were differentially associated with functional and cognitive disabilities. Thus, PTG might not simply be a cognitive bias among survivors with severe PTS. The results also indicated that the number of symptoms in PTS had an inverse U-shaped association with PTG. Our findings provided robust support for the theory of PTG, suggesting that moderate levels of psychological struggles (i.e., PTS) are essential for achieving PTG, whereas intense PTS may hinder the attainment of PTG. From a clinical perspective, interventions that encourage social support could be beneficial in achieving PTG by facilitating deliberate rumination.

Abstract Image

Abstract Image

Abstract Image

灾难发生 11 年后,老年人的创伤后压力与创伤后成长之间的纵向联系。
研究目的:以往的研究对创伤后应激反应(PTS)与创伤后成长(PTG)之间的关系得出了不一致的结论。造成这种不一致的原因主要有三个:(1) 缺乏有关灾前心理健康问题的信息;(2) 创伤后成长的概念仍在接受审查,因为它可能是对个人成长的一种错觉;(3) 忽视了创伤后应激反应合并症作为时间依赖性混杂因素的作用。为了解决这些问题,我们探讨了创伤后应激障碍和创伤后应激障碍与创伤相关疾病的关联,并使用边际结构模型研究了创伤后应激障碍和创伤后应激障碍之间的关联:灾前 7 个月,我们在震中以西 80 公里处的一个城市开展了基线调查,询问老年人的健康状况。灾后,我们大约每 3 年进行一次跟踪调查,收集有关创伤后应激障碍和合并症(抑郁症状、吸烟和饮酒)的信息。在2022年的调查中,我们询问了受访者的PTG情况(五波面板数据中的n=1,489):结果:PTG 与功能性残疾具有保护性相关性(系数 -0.47,95% 置信区间 (CI) -0.82,-0.12,P P P P 结论:PTG 和 PTS 与功能性残疾具有不同的相关性:PTG和PTS与功能性残疾和认知残疾的相关性不同。因此,在患有严重创伤后应激障碍的幸存者中,PTG 可能不仅仅是一种认知偏差。研究结果还表明,创伤后应激障碍的症状数量与 PTG 呈反 U 型关系。我们的研究结果为 PTG 理论提供了强有力的支持,表明中等程度的心理挣扎(即 PTS)对于实现 PTG 至关重要,而强烈的 PTS 可能会阻碍 PTG 的实现。从临床角度来看,鼓励社会支持的干预措施可以通过促进有意的反刍而有利于实现PTG。
本文章由计算机程序翻译,如有差异,请以英文原文为准。
求助全文
约1分钟内获得全文 求助全文
来源期刊
CiteScore
7.80
自引率
1.20%
发文量
121
审稿时长
>12 weeks
期刊介绍: Epidemiology and Psychiatric Sciences is a prestigious international, peer-reviewed journal that has been publishing in Open Access format since 2020. Formerly known as Epidemiologia e Psichiatria Sociale and established in 1992 by Michele Tansella, the journal prioritizes highly relevant and innovative research articles and systematic reviews in the areas of public mental health and policy, mental health services and system research, as well as epidemiological and social psychiatry. Join us in advancing knowledge and understanding in these critical fields.
×
引用
GB/T 7714-2015
复制
MLA
复制
APA
复制
导出至
BibTeX EndNote RefMan NoteFirst NoteExpress
×
提示
您的信息不完整,为了账户安全,请先补充。
现在去补充
×
提示
您因"违规操作"
具体请查看互助需知
我知道了
×
提示
确定
请完成安全验证×
copy
已复制链接
快去分享给好友吧!
我知道了
右上角分享
点击右上角分享
0
联系我们:info@booksci.cn Book学术提供免费学术资源搜索服务,方便国内外学者检索中英文文献。致力于提供最便捷和优质的服务体验。 Copyright © 2023 布克学术 All rights reserved.
京ICP备2023020795号-1
ghs 京公网安备 11010802042870号
Book学术文献互助
Book学术文献互助群
群 号:604180095
Book学术官方微信