Kinetics of pro- and anti-inflammatory spike-specific cellular immune responses in long-term care facility residents after COVID-19 mRNA primary and booster vaccination: a prospective longitudinal study in Japan.

IF 5.6 2区 医学 Q1 GERIATRICS & GERONTOLOGY
Tomoyuki Kakugawa, Yusuke Mimura, Yuka Mimura-Kimura, Keiko Doi, Yuichi Ohteru, Hiroyuki Kakugawa, Keiji Oishi, Masahiro Kakugawa, Tsunahiko Hirano, Kazuto Matsunaga
{"title":"Kinetics of pro- and anti-inflammatory spike-specific cellular immune responses in long-term care facility residents after COVID-19 mRNA primary and booster vaccination: a prospective longitudinal study in Japan.","authors":"Tomoyuki Kakugawa, Yusuke Mimura, Yuka Mimura-Kimura, Keiko Doi, Yuichi Ohteru, Hiroyuki Kakugawa, Keiji Oishi, Masahiro Kakugawa, Tsunahiko Hirano, Kazuto Matsunaga","doi":"10.1186/s12979-024-00444-1","DOIUrl":null,"url":null,"abstract":"<p><strong>Background: </strong>The magnitude and durability of cell-mediated immunity in older and severely frail individuals following coronavirus disease 2019 (COVID-19) vaccination remain unclear. A controlled immune response could be the key to preventing severe COVID-19; however, it is uncertain whether vaccination induces an anti-inflammatory cellular immune response. To address these issues, a 48-week-long prospective longitudinal study was conducted. A total of 106 infection-naive participants (57 long-term care facility [LTCF] residents [median age; 89.0 years], 28 outpatients [median age; 72.0 years], and 21 healthcare workers [median age; 51.0 years]) provided peripheral blood mononuclear cell (PBMC) samples for the assessment of spike-specific PBMC responses before primary vaccination, 24 weeks after primary vaccination, and three months after booster vaccination. Cellular immune responses to severe acute respiratory syndrome coronavirus 2 spike protein were examined by measuring interferon (IFN)-γ, tumor necrosis factor (TNF), interleukin (IL)-2, IL-4, IL-6, and IL-10 levels secreted from the spike protein peptide-stimulated PBMCs of participants.</p><p><strong>Results: </strong>LTCF residents exhibited significantly lower IFN-γ, TNF, IL-2, and IL-6 levels than healthcare workers after the primary vaccination. Booster vaccination increased IL-2 and IL-6 levels in LTCF residents comparable to those in healthcare workers, whereas IFN-γ and TNF levels in LTCF residents remained significantly lower than those in healthcare workers. IL-10 levels were not significantly different from the initial values after primary vaccination but increased significantly after booster vaccination in all subgroups. Multivariate analysis showed that age was negatively associated with IFN-γ, TNF, IL-2, and IL-6 levels but not with IL-10 levels. The levels of pro-inflammatory cytokines, including IFN-γ, TNF, IL-2, and IL-6, were positively correlated with humoral immune responses, whereas IL-10 levels were not.</p><p><strong>Conclusions: </strong>Older and severely frail individuals may exhibit diminished spike-specific PBMC responses following COVID-19 vaccination compared to the general population. A single booster vaccination may not adequately enhance cell-mediated immunity in older and severely frail individuals to a level comparable to that in the general population. Furthermore, booster vaccination may induce not only a pro-inflammatory cellular immune response but also an anti-inflammatory cellular immune response, potentially mitigating detrimental hyperinflammation.</p>","PeriodicalId":51289,"journal":{"name":"Immunity & Ageing","volume":"21 1","pages":"41"},"PeriodicalIF":5.6000,"publicationDate":"2024-06-22","publicationTypes":"Journal Article","fieldsOfStudy":null,"isOpenAccess":false,"openAccessPdf":"https://www.ncbi.nlm.nih.gov/pmc/articles/PMC11193299/pdf/","citationCount":"0","resultStr":null,"platform":"Semanticscholar","paperid":null,"PeriodicalName":"Immunity & Ageing","FirstCategoryId":"3","ListUrlMain":"https://doi.org/10.1186/s12979-024-00444-1","RegionNum":2,"RegionCategory":"医学","ArticlePicture":[],"TitleCN":null,"AbstractTextCN":null,"PMCID":null,"EPubDate":"","PubModel":"","JCR":"Q1","JCRName":"GERIATRICS & GERONTOLOGY","Score":null,"Total":0}
引用次数: 0

Abstract

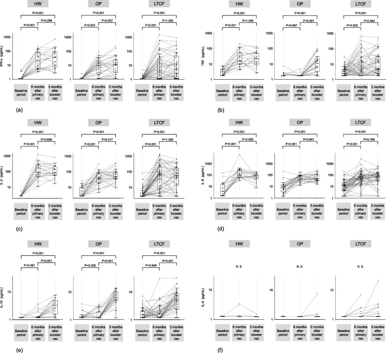
Background: The magnitude and durability of cell-mediated immunity in older and severely frail individuals following coronavirus disease 2019 (COVID-19) vaccination remain unclear. A controlled immune response could be the key to preventing severe COVID-19; however, it is uncertain whether vaccination induces an anti-inflammatory cellular immune response. To address these issues, a 48-week-long prospective longitudinal study was conducted. A total of 106 infection-naive participants (57 long-term care facility [LTCF] residents [median age; 89.0 years], 28 outpatients [median age; 72.0 years], and 21 healthcare workers [median age; 51.0 years]) provided peripheral blood mononuclear cell (PBMC) samples for the assessment of spike-specific PBMC responses before primary vaccination, 24 weeks after primary vaccination, and three months after booster vaccination. Cellular immune responses to severe acute respiratory syndrome coronavirus 2 spike protein were examined by measuring interferon (IFN)-γ, tumor necrosis factor (TNF), interleukin (IL)-2, IL-4, IL-6, and IL-10 levels secreted from the spike protein peptide-stimulated PBMCs of participants.

Results: LTCF residents exhibited significantly lower IFN-γ, TNF, IL-2, and IL-6 levels than healthcare workers after the primary vaccination. Booster vaccination increased IL-2 and IL-6 levels in LTCF residents comparable to those in healthcare workers, whereas IFN-γ and TNF levels in LTCF residents remained significantly lower than those in healthcare workers. IL-10 levels were not significantly different from the initial values after primary vaccination but increased significantly after booster vaccination in all subgroups. Multivariate analysis showed that age was negatively associated with IFN-γ, TNF, IL-2, and IL-6 levels but not with IL-10 levels. The levels of pro-inflammatory cytokines, including IFN-γ, TNF, IL-2, and IL-6, were positively correlated with humoral immune responses, whereas IL-10 levels were not.

Conclusions: Older and severely frail individuals may exhibit diminished spike-specific PBMC responses following COVID-19 vaccination compared to the general population. A single booster vaccination may not adequately enhance cell-mediated immunity in older and severely frail individuals to a level comparable to that in the general population. Furthermore, booster vaccination may induce not only a pro-inflammatory cellular immune response but also an anti-inflammatory cellular immune response, potentially mitigating detrimental hyperinflammation.

Abstract Image

Abstract Image

Abstract Image

日本一项前瞻性纵向研究:COVID-19 mRNA 初次接种和加强接种后长期护理机构居民促炎和抗炎尖峰特异性细胞免疫反应动力学。
背景:接种2019年冠状病毒病(COVID-19)疫苗后,老年人和严重虚弱者的细胞介导免疫的程度和持久性仍不清楚。受控的免疫反应可能是预防严重 COVID-19 的关键;然而,目前还不确定接种疫苗是否会诱导抗炎细胞免疫反应。为了解决这些问题,我们开展了一项为期 48 周的前瞻性纵向研究。共有 106 名未受感染的参与者(57 名长期护理设施[LTCF]居民[中位年龄;89.0 岁]、28 名门诊患者[中位年龄;72.0 岁]和 21 名医护人员[中位年龄;51.0 岁])提供了外周血单核细胞 (PBMC) 样本,用于评估接种初级疫苗前、初级疫苗接种 24 周后和加强免疫 3 个月后的尖峰特异性 PBMC 反应。通过测量参与者的尖峰蛋白肽刺激的 PBMC 中分泌的干扰素 (IFN)-γ、肿瘤坏死因子 (TNF)、白细胞介素 (IL)-2、IL-4、IL-6 和 IL-10 水平,对严重急性呼吸系统综合征冠状病毒 2 尖峰蛋白的细胞免疫反应进行了检测:结果:接种初级疫苗后,LTCF 居民的 IFN-γ、TNF、IL-2 和 IL-6 水平明显低于医护人员。加强接种使 LTCF 居民的 IL-2 和 IL-6 水平上升,与医护人员相当,而 LTCF 居民的 IFN-γ 和 TNF 水平仍明显低于医护人员。IL-10水平在初次接种后与初始值无明显差异,但在所有亚组中在加强接种后均明显升高。多变量分析显示,年龄与 IFN-γ、TNF、IL-2 和 IL-6 水平呈负相关,但与 IL-10 水平无关。促炎细胞因子(包括 IFN-γ、TNF、IL-2 和 IL-6)的水平与体液免疫反应呈正相关,而 IL-10 的水平则不相关:结论:与普通人群相比,老年人和严重虚弱者接种 COVID-19 疫苗后可能会出现尖峰特异性 PBMC 反应减弱。单次加强免疫可能无法将老年和严重虚弱者的细胞介导免疫力提高到与普通人群相当的水平。此外,加强免疫不仅能诱导促炎症细胞免疫反应,还能诱导抗炎症细胞免疫反应,从而减轻有害的高炎症反应。
本文章由计算机程序翻译,如有差异,请以英文原文为准。
求助全文
约1分钟内获得全文 求助全文
来源期刊
Immunity & Ageing
Immunity & Ageing GERIATRICS & GERONTOLOGY-IMMUNOLOGY
CiteScore
10.20
自引率
3.80%
发文量
55
期刊介绍: Immunity & Ageing is a specialist open access journal that was first published in 2004. The journal focuses on the impact of ageing on immune systems, the influence of aged immune systems on organismal well-being and longevity, age-associated diseases with immune etiology, and potential immune interventions to increase health span. All articles published in Immunity & Ageing are indexed in the following databases: Biological Abstracts, BIOSIS, CAS, Citebase, DOAJ, Embase, Google Scholar, Journal Citation Reports/Science Edition, OAIster, PubMed, PubMed Central, Science Citation Index Expanded, SCImago, Scopus, SOCOLAR, and Zetoc.
×
引用
GB/T 7714-2015
复制
MLA
复制
APA
复制
导出至
BibTeX EndNote RefMan NoteFirst NoteExpress
×
提示
您的信息不完整,为了账户安全,请先补充。
现在去补充
×
提示
您因"违规操作"
具体请查看互助需知
我知道了
×
提示
确定
请完成安全验证×
copy
已复制链接
快去分享给好友吧!
我知道了
右上角分享
点击右上角分享
0
联系我们:info@booksci.cn Book学术提供免费学术资源搜索服务,方便国内外学者检索中英文文献。致力于提供最便捷和优质的服务体验。 Copyright © 2023 布克学术 All rights reserved.
京ICP备2023020795号-1
ghs 京公网安备 11010802042870号
Book学术文献互助
Book学术文献互助群
群 号:604180095
Book学术官方微信