The evaluation of a stepped care approach for early intervention of borderline personality disorder.

IF 2.7 2区 医学 Q1 PSYCHIATRY
Marialuisa Cavelti, Yasmine Blaha, Stefan Lerch, Christian Hertel, Thomas Berger, Corinna Reichl, Julian Koenig, Michael Kaess
{"title":"The evaluation of a stepped care approach for early intervention of borderline personality disorder.","authors":"Marialuisa Cavelti, Yasmine Blaha, Stefan Lerch, Christian Hertel, Thomas Berger, Corinna Reichl, Julian Koenig, Michael Kaess","doi":"10.1186/s40479-024-00256-1","DOIUrl":null,"url":null,"abstract":"<p><strong>Background: </strong>The current study evaluated the stepped care approach applied in AtR!Sk; a specialized outpatient clinic for adolescents with BPD features that offers a brief psychotherapeutic intervention (Cutting Down Program; CDP) to all patients, followed by a more intensive Dialectical Behavioral Therapy for Adolescents (DBT-A) for those whose symptoms persist.</p><p><strong>Methods: </strong>The sample consisted of 127 patients recruited from two AtR!Sk clinics. The number of BPD criteria, psychosocial functioning, severity of overall psychopathology, number of days with non-suicidal self-injury (NSSI; past month), and the number of suicide attempts (last 3 months) were assessed at clinic entry (T0), after CDP (T1), and at 1- and 2-year follow-up (T2, T3). Based on the T1 assessment (decision criteria for DBT-A: ≥ 3 BPD criteria & ZAN-BPD ≥ 6), participants were allocated into three groups; CDP only (n = 74), CDP + DBT-A (eligible and accepted; n = 36), CDP no DBT-A (eligible, but declined; n = 17).</p><p><strong>Results: </strong>CDP only showed significantly fewer BPD criteria (T2: β = 3.42, p < 0.001; T3: β = 1.97, p = 0.008), higher levels of psychosocial functioning (T2: β = -1.23, p < 0.001; T3: β = -1.66, p < 0.001), and lower severity of overall psychopathology (T2: β = 1.47, p < 0.001; T3: β = 1.43, p = 0.002) over two years compared with CDP no DBT-A, while no group differences were found with regard to NSSI and suicide attempts. There were no group differences between CDP + DBT-A and CDP no DBT-A, neither at T2 nor at T3.</p><p><strong>Discussion: </strong>The findings support the decision criterion for the offer of a more intense therapy after CDP. However, there was no evidence for the efficacy of additional DBT-A, which might be explained by insufficient statistical power in the current analysis.</p>","PeriodicalId":48586,"journal":{"name":"Borderline Personality Disorder and Emotion Dysregulation","volume":"11 1","pages":"12"},"PeriodicalIF":2.7000,"publicationDate":"2024-06-18","publicationTypes":"Journal Article","fieldsOfStudy":null,"isOpenAccess":false,"openAccessPdf":"https://www.ncbi.nlm.nih.gov/pmc/articles/PMC11184763/pdf/","citationCount":"0","resultStr":null,"platform":"Semanticscholar","paperid":null,"PeriodicalName":"Borderline Personality Disorder and Emotion Dysregulation","FirstCategoryId":"3","ListUrlMain":"https://doi.org/10.1186/s40479-024-00256-1","RegionNum":2,"RegionCategory":"医学","ArticlePicture":[],"TitleCN":null,"AbstractTextCN":null,"PMCID":null,"EPubDate":"","PubModel":"","JCR":"Q1","JCRName":"PSYCHIATRY","Score":null,"Total":0}
引用次数: 0

Abstract

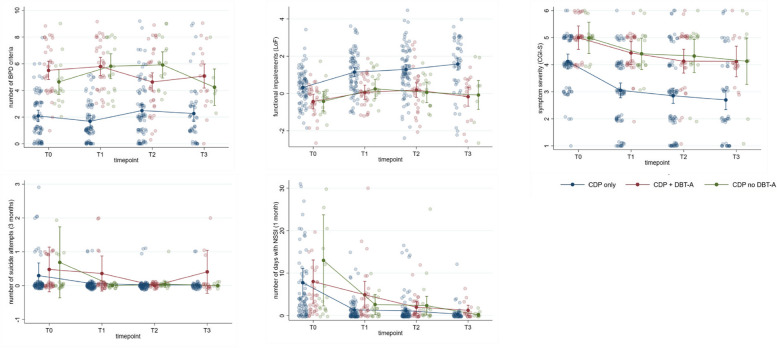
Background: The current study evaluated the stepped care approach applied in AtR!Sk; a specialized outpatient clinic for adolescents with BPD features that offers a brief psychotherapeutic intervention (Cutting Down Program; CDP) to all patients, followed by a more intensive Dialectical Behavioral Therapy for Adolescents (DBT-A) for those whose symptoms persist.

Methods: The sample consisted of 127 patients recruited from two AtR!Sk clinics. The number of BPD criteria, psychosocial functioning, severity of overall psychopathology, number of days with non-suicidal self-injury (NSSI; past month), and the number of suicide attempts (last 3 months) were assessed at clinic entry (T0), after CDP (T1), and at 1- and 2-year follow-up (T2, T3). Based on the T1 assessment (decision criteria for DBT-A: ≥ 3 BPD criteria & ZAN-BPD ≥ 6), participants were allocated into three groups; CDP only (n = 74), CDP + DBT-A (eligible and accepted; n = 36), CDP no DBT-A (eligible, but declined; n = 17).

Results: CDP only showed significantly fewer BPD criteria (T2: β = 3.42, p < 0.001; T3: β = 1.97, p = 0.008), higher levels of psychosocial functioning (T2: β = -1.23, p < 0.001; T3: β = -1.66, p < 0.001), and lower severity of overall psychopathology (T2: β = 1.47, p < 0.001; T3: β = 1.43, p = 0.002) over two years compared with CDP no DBT-A, while no group differences were found with regard to NSSI and suicide attempts. There were no group differences between CDP + DBT-A and CDP no DBT-A, neither at T2 nor at T3.

Discussion: The findings support the decision criterion for the offer of a more intense therapy after CDP. However, there was no evidence for the efficacy of additional DBT-A, which might be explained by insufficient statistical power in the current analysis.

Abstract Image

对边缘型人格障碍早期干预的阶梯式护理方法进行评估。
研究背景本研究评估了AtR!Sk采用的阶梯式护理方法;这是一家专门针对具有BPD特征的青少年的门诊诊所,为所有患者提供简短的心理治疗干预(减压计划;CDP),然后为症状持续存在的患者提供更密集的青少年辩证行为疗法(DBT-A):样本包括从两家 AtR!Sk 诊所招募的 127 名患者。分别在患者入院时(T0)、CDP治疗后(T1)、随访1年和2年时(T2、T3)对其BPD标准数量、社会心理功能、整体精神病理学严重程度、非自杀性自伤(NSSI,过去一个月)天数以及自杀未遂次数(过去3个月)进行了评估。根据T1评估(DBT-A的决定标准:≥3项BPD标准和ZAN-BPD≥6项),参与者被分为三组:仅CDP组(n = 74)、CDP + DBT-A组(符合条件并接受;n = 36)、CDP无DBT-A组(符合条件但拒绝;n = 17):结果:仅有 CDP 显示出明显较少的 BPD 标准(T2:β = 3.42,P 讨论):研究结果支持在 CDP 后提供强度更大的治疗的决策标准。然而,没有证据表明额外的 DBT-A 有疗效,这可能是由于当前分析的统计能力不足。
本文章由计算机程序翻译,如有差异,请以英文原文为准。
求助全文
约1分钟内获得全文 求助全文
来源期刊
CiteScore
6.00
自引率
9.80%
发文量
30
审稿时长
28 weeks
期刊介绍: Borderline Personality Disorder and Emotion Dysregulation provides a platform for researchers and clinicians interested in borderline personality disorder (BPD) as a currently highly challenging psychiatric disorder. Emotion dysregulation is at the core of BPD but also stands on its own as a major pathological component of the underlying neurobiology of various other psychiatric disorders. The journal focuses on the psychological, social and neurobiological aspects of emotion dysregulation as well as epidemiology, phenomenology, pathophysiology, treatment, neurobiology, genetics, and animal models of BPD.
×
引用
GB/T 7714-2015
复制
MLA
复制
APA
复制
导出至
BibTeX EndNote RefMan NoteFirst NoteExpress
×
提示
您的信息不完整,为了账户安全,请先补充。
现在去补充
×
提示
您因"违规操作"
具体请查看互助需知
我知道了
×
提示
确定
请完成安全验证×
copy
已复制链接
快去分享给好友吧!
我知道了
右上角分享
点击右上角分享
0
联系我们:info@booksci.cn Book学术提供免费学术资源搜索服务,方便国内外学者检索中英文文献。致力于提供最便捷和优质的服务体验。 Copyright © 2023 布克学术 All rights reserved.
京ICP备2023020795号-1
ghs 京公网安备 11010802042870号
Book学术文献互助
Book学术文献互助群
群 号:604180095
Book学术官方微信