Assessment of antinociceptive property of Cynara scolymus L. and possible mechanism of action in the formalin and writhing models of nociception in mice.

IF 3.1 3区 医学 Q2 CLINICAL NEUROLOGY
Pegah Yaghooti, Samad Alimoahmmadi
{"title":"Assessment of antinociceptive property of <i>Cynara scolymus</i> L. and possible mechanism of action in the formalin and writhing models of nociception in mice.","authors":"Pegah Yaghooti, Samad Alimoahmmadi","doi":"10.3344/kjp.23355","DOIUrl":null,"url":null,"abstract":"<p><strong>Background: </strong><i>Cynara scolymus</i> has bioactive constituents and has been used for therapeutic actions. The present study was undertaken to investigate the mechanisms underlying pain-relieving effects of the hydroethanolic extract of C. scolymus (HECS).</p><p><strong>Methods: </strong>The antinociceptive activity of HECS was assessed through formalin and acetic acid-induced writhing tests at doses of 50, 100 and 200 mg/kg intraperitoneally. Additionally, naloxone (non-selective opioid receptors antagonist, 2 mg/kg), atropine (non-selective muscarinic receptors antagonist, 1 mg/kg), chlorpheniramine (histamine HH<sub>1</sub>-receptor antagonist, 20 mg/kg), cimetidine (histamine H<sub>2</sub>-receptor antagonist, 12.5 mg/kg), flumazenil (GABA<sub>A</sub>/BDZ receptor antagonist, 5 mg/kg) and cyproheptadine (serotonin receptor antagonist, 4 mg/kg) were used to determine the systis implicated in HECS-induced analgesia. Impact of HECS on locomotor activity was executed by open-field test. Determination of total phenolic content (TPC) and total flavonoid content (TFC) was done. Evaluation of antioxidant activity was conducted iploying 2,2-diphenyl-1-picrylhydrazyl (DPPH) free radical scavenging assay.</p><p><strong>Results: </strong>HECS (50, 100 and 200 mg/kg) significantly indicated dose dependent antinociceptive activity against pain-related behavior induced by formalin and acetic acid (<i>P</i> < 0.001). Pretreatment with naloxone, atropine and flumazenil significantly reversed HECS-induced analgesia. Antinociceptive effect of HECS riained unaffected by chlorpheniramine, cimetidine and cyproheptadine. Locomotor activity was not affected by HECS. TPC and TFC of HECS were 59.49 ± 5.57 mgGAE/g dry extract and 93.39 ± 17.16 mgRE/g dry extract, respectively. DPPH free radical scavenging activity (IC<sub>50</sub>) of HECS was 161.32 ± 0.03 μg/mL.</p><p><strong>Conclusions: </strong>HECS possesses antinociceptive activity which is mediated via opioidergic, cholinergic and GABAergic pathways.</p>","PeriodicalId":56252,"journal":{"name":"Korean Journal of Pain","volume":" ","pages":"218-232"},"PeriodicalIF":3.1000,"publicationDate":"2024-07-01","publicationTypes":"Journal Article","fieldsOfStudy":null,"isOpenAccess":false,"openAccessPdf":"https://www.ncbi.nlm.nih.gov/pmc/articles/PMC11220375/pdf/","citationCount":"0","resultStr":null,"platform":"Semanticscholar","paperid":null,"PeriodicalName":"Korean Journal of Pain","FirstCategoryId":"3","ListUrlMain":"https://doi.org/10.3344/kjp.23355","RegionNum":3,"RegionCategory":"医学","ArticlePicture":[],"TitleCN":null,"AbstractTextCN":null,"PMCID":null,"EPubDate":"","PubModel":"","JCR":"Q2","JCRName":"CLINICAL NEUROLOGY","Score":null,"Total":0}
引用次数: 0

Abstract

Background: Cynara scolymus has bioactive constituents and has been used for therapeutic actions. The present study was undertaken to investigate the mechanisms underlying pain-relieving effects of the hydroethanolic extract of C. scolymus (HECS).

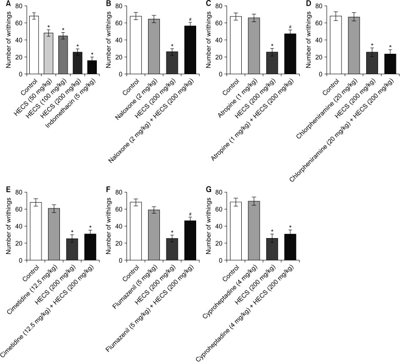
Methods: The antinociceptive activity of HECS was assessed through formalin and acetic acid-induced writhing tests at doses of 50, 100 and 200 mg/kg intraperitoneally. Additionally, naloxone (non-selective opioid receptors antagonist, 2 mg/kg), atropine (non-selective muscarinic receptors antagonist, 1 mg/kg), chlorpheniramine (histamine HH1-receptor antagonist, 20 mg/kg), cimetidine (histamine H2-receptor antagonist, 12.5 mg/kg), flumazenil (GABAA/BDZ receptor antagonist, 5 mg/kg) and cyproheptadine (serotonin receptor antagonist, 4 mg/kg) were used to determine the systis implicated in HECS-induced analgesia. Impact of HECS on locomotor activity was executed by open-field test. Determination of total phenolic content (TPC) and total flavonoid content (TFC) was done. Evaluation of antioxidant activity was conducted iploying 2,2-diphenyl-1-picrylhydrazyl (DPPH) free radical scavenging assay.

Results: HECS (50, 100 and 200 mg/kg) significantly indicated dose dependent antinociceptive activity against pain-related behavior induced by formalin and acetic acid (P < 0.001). Pretreatment with naloxone, atropine and flumazenil significantly reversed HECS-induced analgesia. Antinociceptive effect of HECS riained unaffected by chlorpheniramine, cimetidine and cyproheptadine. Locomotor activity was not affected by HECS. TPC and TFC of HECS were 59.49 ± 5.57 mgGAE/g dry extract and 93.39 ± 17.16 mgRE/g dry extract, respectively. DPPH free radical scavenging activity (IC50) of HECS was 161.32 ± 0.03 μg/mL.

Conclusions: HECS possesses antinociceptive activity which is mediated via opioidergic, cholinergic and GABAergic pathways.

Abstract Image

Abstract Image

Abstract Image

在福尔马林小鼠痛觉模型和蠕动小鼠痛觉模型中评估 Cynara scolymus L. 的抗痛觉特性和可能的作用机制。
背景:茜草具有生物活性成分,并被用于治疗。本研究旨在探讨茜草水乙醇提取物(HECS)的镇痛作用机制:方法:腹腔注射 50、100 和 200 毫克/千克的剂量,通过福尔马林和醋酸引起的蠕动试验评估 HECS 的抗痛觉活性。此外,纳洛酮(非选择性阿片受体拮抗剂,2 毫克/千克)、阿托品(非选择性毒蕈碱受体拮抗剂,1 毫克/千克)、氯苯那敏(组胺 HH1 受体拮抗剂,20 毫克/千克)、西咪替丁(组胺 H2 受体拮抗剂,12.5 毫克/千克)、氟马西尼(GABAA/BDZ 受体拮抗剂,5 毫克/千克)和环丙氯吡啶(5-羟色胺受体拮抗剂,4 毫克/千克),以确定与 HECS 诱导的镇痛有关的系统。HECS对运动活动的影响是通过开场试验进行的。测定总酚含量(TPC)和总黄酮含量(TFC)。采用 2,2-二苯基-1-苦基肼(DPPH)自由基清除试验评估抗氧化活性:HECS(50、100 和 200 mg/kg)对福尔马林和醋酸诱导的疼痛相关行为具有明显的剂量依赖性抗痛觉活性(P < 0.001)。纳洛酮、阿托品和氟马西尼的预处理可明显逆转 HECS 诱导的镇痛作用。氯苯那敏、西咪替丁和环丙庚啶对 HECS 的镇痛效果没有影响。运动活动不受 HECS 的影响。HECS 的 TPC 和 TFC 分别为 59.49 ± 5.57 mgGAE/g 干提取物和 93.39 ± 17.16 mgRE/g 干提取物。HECS 的 DPPH 自由基清除活性(IC50)为 161.32 ± 0.03 μg/mL:结论:HECS 具有抗痛觉活性,这种活性是通过阿片能、胆碱能和 GABA 能途径介导的。
本文章由计算机程序翻译,如有差异,请以英文原文为准。
求助全文
约1分钟内获得全文 求助全文
来源期刊
Korean Journal of Pain
Korean Journal of Pain Medicine-Anesthesiology and Pain Medicine
CiteScore
5.40
自引率
7.10%
发文量
57
审稿时长
16 weeks
期刊介绍: Korean Journal of Pain (Korean J Pain, KJP) is the official journal of the Korean Pain Society, founded in 1986. It has been published since 1988. It publishes peer reviewed original articles related to all aspects of pain, including clinical and basic research, patient care, education, and health policy. It has been published quarterly in English since 2009 (on the first day of January, April, July, and October). In addition, it has also become the official journal of the International Spinal Pain Society since 2016. The mission of the Journal is to improve the care of patients in pain by providing a forum for clinical researchers, basic scientists, clinicians, and other health professionals. The circulation number per issue is 50.
×
引用
GB/T 7714-2015
复制
MLA
复制
APA
复制
导出至
BibTeX EndNote RefMan NoteFirst NoteExpress
×
提示
您的信息不完整,为了账户安全,请先补充。
现在去补充
×
提示
您因"违规操作"
具体请查看互助需知
我知道了
×
提示
确定
请完成安全验证×
copy
已复制链接
快去分享给好友吧!
我知道了
右上角分享
点击右上角分享
0
联系我们:info@booksci.cn Book学术提供免费学术资源搜索服务,方便国内外学者检索中英文文献。致力于提供最便捷和优质的服务体验。 Copyright © 2023 布克学术 All rights reserved.
京ICP备2023020795号-1
ghs 京公网安备 11010802042870号
Book学术文献互助
Book学术文献互助群
群 号:604180095
Book学术官方微信