Testing for Alcohol Responsiveness in Familial Essential Tremor.

IF 2.1 Q2 CLINICAL NEUROLOGY
Tremor and Other Hyperkinetic Movements Pub Date : 2024-06-11 eCollection Date: 2024-01-01 DOI:10.5334/tohm.923
Cheryl S J Everlo, Marina A J Tijssen, A M Madelein Van Der Stouwe
{"title":"Testing for Alcohol Responsiveness in Familial Essential Tremor.","authors":"Cheryl S J Everlo, Marina A J Tijssen, A M Madelein Van Der Stouwe","doi":"10.5334/tohm.923","DOIUrl":null,"url":null,"abstract":"<p><strong>Background: </strong>Essential tremor (ET) is the most common movement disorder in adults and is considered to be highly heritable. A reduction of the tremor amplitude after alcohol consumption is reported in approximately half of the patients. In this study, we describe the alcohol response in our familial ET cohort by employing an alcohol responsivity test designed by Knudsen et al. outside its original research group for the first time.</p><p><strong>Methods: </strong>We recruited families with at least three trembling family members and confirmed ET diagnoses. During the in-hospital alcohol responsivity test, tremor was measured using Archimedes spirals before alcohol consumption (T0), one hour after alcohol intake (T1), and the next morning (T2). The spirals were rated by two independent raters using the Bain Findley scale. The average of these two scores was calculated as the Archimedes Spiral Rating (ASR) for each time point.</p><p><strong>Results: </strong>Twenty-four confirmed ET patients were included for analysis. The median ASR at T0 (5.0) and T2 (4.75) were significantly higher than the median ASR at T1 (3.25) (both p < 0.001). In 67% of patients, a difference in ASR between T0 and T1 (dASR) ≥ 2 pointed towards an improvement of tremor after consuming alcohol.</p><p><strong>Discussion: </strong>We confirmed that the alcohol responsiveness test of Knudsen et al. is useful in determining objective alcohol responsivity. We established a significantly reduced ASR after alcohol consumption in 67% of familial ET patients in our cohort. In the future, a larger population is needed to establish whether familial aggregation of alcohol responsivity occurs in essential tremor patients.</p><p><strong>Highlights: </strong>The test designed by Knudsen et al. effectively established objective alcohol responsiveness outside its original research group.We found an objective alcohol response in 67% of our familial ET cohort.Subjective VAS scores were significantly lower after alcohol consumption.There was no correlation between the objective and subjective alcohol responsiveness.Familial aggregation of alcohol responsiveness in ET should be studied in a larger cohort.</p>","PeriodicalId":23317,"journal":{"name":"Tremor and Other Hyperkinetic Movements","volume":"14 ","pages":"30"},"PeriodicalIF":2.1000,"publicationDate":"2024-06-11","publicationTypes":"Journal Article","fieldsOfStudy":null,"isOpenAccess":false,"openAccessPdf":"https://www.ncbi.nlm.nih.gov/pmc/articles/PMC11177841/pdf/","citationCount":"0","resultStr":null,"platform":"Semanticscholar","paperid":null,"PeriodicalName":"Tremor and Other Hyperkinetic Movements","FirstCategoryId":"1085","ListUrlMain":"https://doi.org/10.5334/tohm.923","RegionNum":0,"RegionCategory":null,"ArticlePicture":[],"TitleCN":null,"AbstractTextCN":null,"PMCID":null,"EPubDate":"2024/1/1 0:00:00","PubModel":"eCollection","JCR":"Q2","JCRName":"CLINICAL NEUROLOGY","Score":null,"Total":0}
引用次数: 0

Abstract

Background: Essential tremor (ET) is the most common movement disorder in adults and is considered to be highly heritable. A reduction of the tremor amplitude after alcohol consumption is reported in approximately half of the patients. In this study, we describe the alcohol response in our familial ET cohort by employing an alcohol responsivity test designed by Knudsen et al. outside its original research group for the first time.

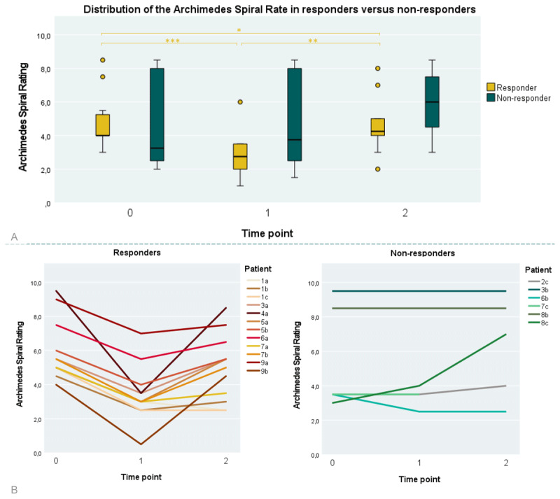
Methods: We recruited families with at least three trembling family members and confirmed ET diagnoses. During the in-hospital alcohol responsivity test, tremor was measured using Archimedes spirals before alcohol consumption (T0), one hour after alcohol intake (T1), and the next morning (T2). The spirals were rated by two independent raters using the Bain Findley scale. The average of these two scores was calculated as the Archimedes Spiral Rating (ASR) for each time point.

Results: Twenty-four confirmed ET patients were included for analysis. The median ASR at T0 (5.0) and T2 (4.75) were significantly higher than the median ASR at T1 (3.25) (both p < 0.001). In 67% of patients, a difference in ASR between T0 and T1 (dASR) ≥ 2 pointed towards an improvement of tremor after consuming alcohol.

Discussion: We confirmed that the alcohol responsiveness test of Knudsen et al. is useful in determining objective alcohol responsivity. We established a significantly reduced ASR after alcohol consumption in 67% of familial ET patients in our cohort. In the future, a larger population is needed to establish whether familial aggregation of alcohol responsivity occurs in essential tremor patients.

Highlights: The test designed by Knudsen et al. effectively established objective alcohol responsiveness outside its original research group.We found an objective alcohol response in 67% of our familial ET cohort.Subjective VAS scores were significantly lower after alcohol consumption.There was no correlation between the objective and subjective alcohol responsiveness.Familial aggregation of alcohol responsiveness in ET should be studied in a larger cohort.

Abstract Image

Abstract Image

Abstract Image

测试家族性本质震颤的酒精反应性
背景:本质性震颤(ET)是成人中最常见的运动障碍,被认为具有高度遗传性。据报道,约有一半的患者在饮酒后震颤幅度会减小。在本研究中,我们首次在原研究小组之外采用克努森等人设计的酒精反应性测试,描述了家族性 ET 患者的酒精反应:我们招募了至少有三名颤抖家庭成员并确诊为 ET 的家庭。在院内酒精反应性测试中,分别在饮酒前(T0)、饮酒后一小时(T1)和第二天早上(T2)使用阿基米德螺旋线测量震颤。由两名独立评分员使用贝恩-芬德利评分法对震颤进行评分。这两个评分的平均值被计算为每个时间点的阿基米德螺旋分级(ASR):24 名确诊的 ET 患者被纳入分析。T0(5.0)和T2(4.75)时的ASR中位数明显高于T1(3.25)时的ASR中位数(P均<0.001)。在 67% 的患者中,T0 和 T1 的 ASR 差异(dASR)≥ 2 表明饮酒后震颤有所改善:讨论:我们证实了 Knudsen 等人的酒精反应性测试有助于确定客观的酒精反应性。在我们的队列中,有 67% 的家族性 ET 患者在饮酒后 ASR 明显降低。未来,我们需要在更大的人群中确定家族性酒精反应性是否会发生在本质性震颤患者身上:我们发现家族性 ET 队列中有 67% 的患者有客观酒精反应,饮酒后主观 VAS 评分显著降低,客观和主观酒精反应之间没有相关性。
本文章由计算机程序翻译,如有差异,请以英文原文为准。
求助全文
约1分钟内获得全文 求助全文
来源期刊
CiteScore
4.00
自引率
4.50%
发文量
31
审稿时长
6 weeks
×
引用
GB/T 7714-2015
复制
MLA
复制
APA
复制
导出至
BibTeX EndNote RefMan NoteFirst NoteExpress
×
提示
您的信息不完整,为了账户安全,请先补充。
现在去补充
×
提示
您因"违规操作"
具体请查看互助需知
我知道了
×
提示
确定
请完成安全验证×
copy
已复制链接
快去分享给好友吧!
我知道了
右上角分享
点击右上角分享
0
联系我们:info@booksci.cn Book学术提供免费学术资源搜索服务,方便国内外学者检索中英文文献。致力于提供最便捷和优质的服务体验。 Copyright © 2023 布克学术 All rights reserved.
京ICP备2023020795号-1
ghs 京公网安备 11010802042870号
Book学术文献互助
Book学术文献互助群
群 号:604180095
Book学术官方微信