Periconceptional Non-medical Maternal Determinants Influence the Tryptophan Metabolism: The Rotterdam Periconceptional Cohort (Predict Study).

IF 4.1 Q3 NEUROSCIENCES
International Journal of Tryptophan Research Pub Date : 2024-06-12 eCollection Date: 2024-01-01 DOI:10.1177/11786469241257816
Sofie Km van Zundert, Lenie van Rossem, Mina Mirzaian, Pieter H Griffioen, Sten P Willemsen, Ron Hn van Schaik, Régine Pm Steegers-Theunissen
{"title":"Periconceptional Non-medical Maternal Determinants Influence the Tryptophan Metabolism: The Rotterdam Periconceptional Cohort (Predict Study).","authors":"Sofie Km van Zundert, Lenie van Rossem, Mina Mirzaian, Pieter H Griffioen, Sten P Willemsen, Ron Hn van Schaik, Régine Pm Steegers-Theunissen","doi":"10.1177/11786469241257816","DOIUrl":null,"url":null,"abstract":"<p><strong>Background: </strong>The vital role of the maternal tryptophan (TRP) metabolism in maternal health and pregnancy is well established. However, non-medical maternal determinants influencing the TRP metabolism have been poorly investigated. We hypothesise that periconceptional maternal non-medical determinants alter the TRP metabolism, affecting both kynurenine (KP) and serotonin pathway (SP) metabolite concentrations. Therefore, we investigated the influence of non-medical maternal determinants on the TRP metabolism during the periconception period.</p><p><strong>Methods: </strong>About 1916 pregnancies were included from the Rotterdam Periconceptional Cohort between November 2010 and December 2020. Data on periconceptional non-medical maternal determinants were collected through questionnaires. Serum samples were collected at 8.5 (SD = 1.6) weeks of gestation and TRP, kynurenine (KYN), 5-hydroxytryptophan (5-HTP), 5-HT (5-hydroxytryptamine) and 5-hydroxyindole acetic acid (5-HIAA) were determined using validated liquid chromatography (tandem) mass spectrometry. Mixed models were used to determine associations between periconceptional non-medical maternal determinants and these metabolites.</p><p><strong>Results: </strong>In total 11 periconceptional non-medical maternal determinants were identified. Protein intake was positively associated with TRP (<i>β</i> = .12, 95% CI = 0.07-0.17), while age, energy intake and body mass index (BMI) (<i>β</i> = -.24, 95% CI = -0.37 to -0.10) were negatively associated with TRP. Age, BMI and total homocysteine were associated with higher KYN, whereas non-western geographical origin was associated with lower KYN (<i>β</i> = -.09, 95% CI = -0.16 to -0.03). Protein intake and total homocysteine (<i>β</i> = .07, 95% CI = 0.03-0.11) had a positive association with 5-HTP, while a negative association was found for energy intake. A non-western geographical origin and drug use were associated with higher 5-HT, and BMI with lower 5-HT (<i>β</i> = -6.32, 95% CI = -10.26 to -2.38). Age was positively associated with 5-HIAA (<i>β</i> = .92, 95% CI = 0.29-1.56), and BMI negatively.</p><p><strong>Conclusions: </strong>Periconceptional non-medical maternal determinants, including age, geographical origin, drug use, energy and protein intake, BMI and total homocysteine, influence KP and SP metabolite concentrations.</p>","PeriodicalId":46603,"journal":{"name":"International Journal of Tryptophan Research","volume":"17 ","pages":"11786469241257816"},"PeriodicalIF":4.1000,"publicationDate":"2024-06-12","publicationTypes":"Journal Article","fieldsOfStudy":null,"isOpenAccess":false,"openAccessPdf":"https://www.ncbi.nlm.nih.gov/pmc/articles/PMC11171438/pdf/","citationCount":"0","resultStr":null,"platform":"Semanticscholar","paperid":null,"PeriodicalName":"International Journal of Tryptophan Research","FirstCategoryId":"1085","ListUrlMain":"https://doi.org/10.1177/11786469241257816","RegionNum":0,"RegionCategory":null,"ArticlePicture":[],"TitleCN":null,"AbstractTextCN":null,"PMCID":null,"EPubDate":"2024/1/1 0:00:00","PubModel":"eCollection","JCR":"Q3","JCRName":"NEUROSCIENCES","Score":null,"Total":0}
引用次数: 0

Abstract

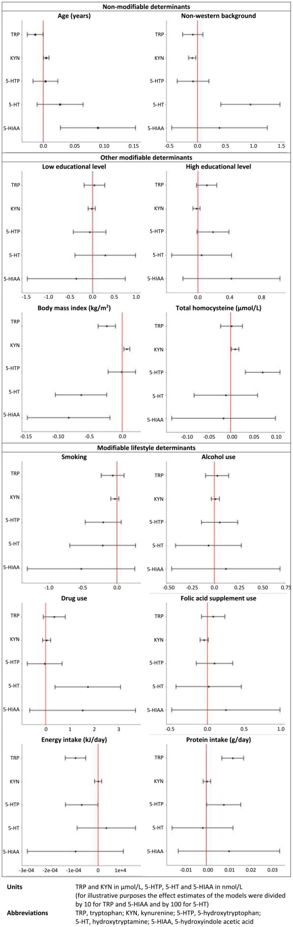
Background: The vital role of the maternal tryptophan (TRP) metabolism in maternal health and pregnancy is well established. However, non-medical maternal determinants influencing the TRP metabolism have been poorly investigated. We hypothesise that periconceptional maternal non-medical determinants alter the TRP metabolism, affecting both kynurenine (KP) and serotonin pathway (SP) metabolite concentrations. Therefore, we investigated the influence of non-medical maternal determinants on the TRP metabolism during the periconception period.

Methods: About 1916 pregnancies were included from the Rotterdam Periconceptional Cohort between November 2010 and December 2020. Data on periconceptional non-medical maternal determinants were collected through questionnaires. Serum samples were collected at 8.5 (SD = 1.6) weeks of gestation and TRP, kynurenine (KYN), 5-hydroxytryptophan (5-HTP), 5-HT (5-hydroxytryptamine) and 5-hydroxyindole acetic acid (5-HIAA) were determined using validated liquid chromatography (tandem) mass spectrometry. Mixed models were used to determine associations between periconceptional non-medical maternal determinants and these metabolites.

Results: In total 11 periconceptional non-medical maternal determinants were identified. Protein intake was positively associated with TRP (β = .12, 95% CI = 0.07-0.17), while age, energy intake and body mass index (BMI) (β = -.24, 95% CI = -0.37 to -0.10) were negatively associated with TRP. Age, BMI and total homocysteine were associated with higher KYN, whereas non-western geographical origin was associated with lower KYN (β = -.09, 95% CI = -0.16 to -0.03). Protein intake and total homocysteine (β = .07, 95% CI = 0.03-0.11) had a positive association with 5-HTP, while a negative association was found for energy intake. A non-western geographical origin and drug use were associated with higher 5-HT, and BMI with lower 5-HT (β = -6.32, 95% CI = -10.26 to -2.38). Age was positively associated with 5-HIAA (β = .92, 95% CI = 0.29-1.56), and BMI negatively.

Conclusions: Periconceptional non-medical maternal determinants, including age, geographical origin, drug use, energy and protein intake, BMI and total homocysteine, influence KP and SP metabolite concentrations.

Abstract Image

Abstract Image

Abstract Image

围孕期非医学因素对色氨酸代谢的影响:鹿特丹围孕期队列(预测研究)》。
背景:母体色氨酸(TRP)代谢在母体健康和妊娠中的重要作用已得到公认。然而,对影响 TRP 代谢的母体非医疗决定因素的研究却很少。我们假设,围孕期母体非医疗决定因素会改变 TRP 代谢,影响犬尿氨酸(KP)和血清素途径(SP)代谢物的浓度。因此,我们研究了围孕期非医学因素对TRP代谢的影响:方法:2010 年 11 月至 2020 年 12 月期间,鹿特丹围孕期队列中纳入了约 1916 名孕妇。通过问卷调查收集围孕期非医学母体决定因素的数据。在妊娠 8.5 周(SD = 1.6)时采集血清样本,并使用有效的液相色谱(串联)质谱法测定 TRP、犬尿氨酸(KYN)、5-羟色氨酸(5-HTP)、5-HT(5-羟色胺)和 5-羟基吲哚乙酸(5-HIAA)。采用混合模型确定围孕期非医学孕产妇决定因素与这些代谢物之间的关联:结果:总共确定了 11 种围孕期非医学孕产妇决定因素。蛋白质摄入量与 TRP 呈正相关(β = .12,95% CI = 0.07-0.17),而年龄、能量摄入量和体重指数(BMI)(β = -.24,95% CI = -0.37--0.10)与 TRP 呈负相关。年龄、体重指数和总同型半胱氨酸与较高的 KYN 相关,而非西方地理起源与较低的 KYN 相关(β = -.09, 95% CI = -0.16 to -0.03)。蛋白质摄入量和总同型半胱氨酸(β = 0.07,95% CI = 0.03-0.11)与 5-HTP 呈正相关,而能量摄入量则呈负相关。非西方血统和吸毒与较高的 5-羟色胺相关,而体重指数与较低的 5-羟色胺相关(β = -6.32,95% CI = -10.26 至 -2.38)。年龄与 5-HIAA 呈正相关(β = .92,95% CI = 0.29-1.56),而体重指数呈负相关:围孕期非医疗性孕产妇决定因素,包括年龄、地理来源、药物使用、能量和蛋白质摄入、体重指数和总同型半胱氨酸,都会影响 KP 和 SP 代谢物的浓度。
本文章由计算机程序翻译,如有差异,请以英文原文为准。
求助全文
约1分钟内获得全文 求助全文
来源期刊
CiteScore
7.30
自引率
4.50%
发文量
19
审稿时长
8 weeks
×
引用
GB/T 7714-2015
复制
MLA
复制
APA
复制
导出至
BibTeX EndNote RefMan NoteFirst NoteExpress
×
提示
您的信息不完整,为了账户安全,请先补充。
现在去补充
×
提示
您因"违规操作"
具体请查看互助需知
我知道了
×
提示
确定
请完成安全验证×
copy
已复制链接
快去分享给好友吧!
我知道了
右上角分享
点击右上角分享
0
联系我们:info@booksci.cn Book学术提供免费学术资源搜索服务,方便国内外学者检索中英文文献。致力于提供最便捷和优质的服务体验。 Copyright © 2023 布克学术 All rights reserved.
京ICP备2023020795号-1
ghs 京公网安备 11010802042870号
Book学术文献互助
Book学术文献互助群
群 号:604180095
Book学术官方微信