Opioid Nonadherence Risk Prediction of Patients with Cancer-Related Pain Based on Five Machine Learning Algorithms.

IF 3 3区 医学 Q2 CLINICAL NEUROLOGY
Pain Research & Management Pub Date : 2024-06-06 eCollection Date: 2024-01-01 DOI:10.1155/2024/7347876
Jinmei Liu, Juan Luo, Xu Chen, Jiyi Xie, Cong Wang, Hanxiang Wang, Qi Yuan, Shijun Li, Yu Zhang, Jianli Hu, Chen Shi
{"title":"Opioid Nonadherence Risk Prediction of Patients with Cancer-Related Pain Based on Five Machine Learning Algorithms.","authors":"Jinmei Liu, Juan Luo, Xu Chen, Jiyi Xie, Cong Wang, Hanxiang Wang, Qi Yuan, Shijun Li, Yu Zhang, Jianli Hu, Chen Shi","doi":"10.1155/2024/7347876","DOIUrl":null,"url":null,"abstract":"<p><strong>Objectives: </strong>Opioid nonadherence represents a significant barrier to cancer pain treatment efficacy. However, there is currently no effective prediction method for opioid adherence in patients with cancer pain. We aimed to develop and validate a machine learning (ML) model and evaluate its feasibility to predict opioid nonadherence in patients with cancer pain.</p><p><strong>Methods: </strong>This was a secondary analysis from a cross-sectional study that included 1195 patients from March 1, 2018, to October 31, 2019. Five ML algorithms, such as logistic regression (LR), random forest, eXtreme Gradient Boosting, multilayer perceptron, and support vector machine, were used to predict opioid nonadherence in patients with cancer pain using 43 demographic and clinical factors as predictors. The predictive effects of the models were compared by the area under the receiver operating characteristic curve (AUC_ROC), accuracy, precision, sensitivity, specificity, and F1 scores. The value of the best model for clinical application was assessed using decision curve analysis (DCA).</p><p><strong>Results: </strong>The best model obtained in this study, the LR model, had an AUC_ROC of 0.82, accuracy of 0.82, and specificity of 0.71. The DCA showed that clinical interventions for patients at high risk of opioid nonadherence based on the LR model can benefit patients. The strongest predictors for adherence were, in order of importance, beliefs about medicines questionnaire (BMQ)-harm, time since the start of opioid, and BMQ-necessity. <i>Discussion</i>. ML algorithms can be used as an effective means of predicting adherence to opioids in patients with cancer pain, which allows for proactive clinical intervention to optimize cancer pain management. This trial is registered with ChiCTR2000033576.</p>","PeriodicalId":19913,"journal":{"name":"Pain Research & Management","volume":"2024 ","pages":"7347876"},"PeriodicalIF":3.0000,"publicationDate":"2024-06-06","publicationTypes":"Journal Article","fieldsOfStudy":null,"isOpenAccess":false,"openAccessPdf":"https://www.ncbi.nlm.nih.gov/pmc/articles/PMC11175844/pdf/","citationCount":"0","resultStr":null,"platform":"Semanticscholar","paperid":null,"PeriodicalName":"Pain Research & Management","FirstCategoryId":"3","ListUrlMain":"https://doi.org/10.1155/2024/7347876","RegionNum":3,"RegionCategory":"医学","ArticlePicture":[],"TitleCN":null,"AbstractTextCN":null,"PMCID":null,"EPubDate":"2024/1/1 0:00:00","PubModel":"eCollection","JCR":"Q2","JCRName":"CLINICAL NEUROLOGY","Score":null,"Total":0}
引用次数: 0

Abstract

Objectives: Opioid nonadherence represents a significant barrier to cancer pain treatment efficacy. However, there is currently no effective prediction method for opioid adherence in patients with cancer pain. We aimed to develop and validate a machine learning (ML) model and evaluate its feasibility to predict opioid nonadherence in patients with cancer pain.

Methods: This was a secondary analysis from a cross-sectional study that included 1195 patients from March 1, 2018, to October 31, 2019. Five ML algorithms, such as logistic regression (LR), random forest, eXtreme Gradient Boosting, multilayer perceptron, and support vector machine, were used to predict opioid nonadherence in patients with cancer pain using 43 demographic and clinical factors as predictors. The predictive effects of the models were compared by the area under the receiver operating characteristic curve (AUC_ROC), accuracy, precision, sensitivity, specificity, and F1 scores. The value of the best model for clinical application was assessed using decision curve analysis (DCA).

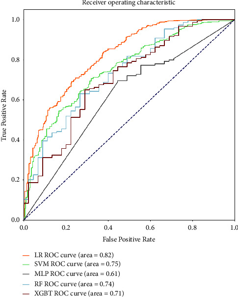
Results: The best model obtained in this study, the LR model, had an AUC_ROC of 0.82, accuracy of 0.82, and specificity of 0.71. The DCA showed that clinical interventions for patients at high risk of opioid nonadherence based on the LR model can benefit patients. The strongest predictors for adherence were, in order of importance, beliefs about medicines questionnaire (BMQ)-harm, time since the start of opioid, and BMQ-necessity. Discussion. ML algorithms can be used as an effective means of predicting adherence to opioids in patients with cancer pain, which allows for proactive clinical intervention to optimize cancer pain management. This trial is registered with ChiCTR2000033576.

Abstract Image

Abstract Image

Abstract Image

基于五种机器学习算法的癌症相关疼痛患者阿片类药物不耐受风险预测。
目的:阿片类药物的不依从性是影响癌痛治疗效果的一大障碍。然而,目前尚无有效的方法预测癌痛患者的阿片类药物依从性。我们旨在开发和验证一种机器学习(ML)模型,并评估其预测癌痛患者阿片类药物依从性的可行性:这是一项横断面研究的二次分析,纳入了 2018 年 3 月 1 日至 2019 年 10 月 31 日期间的 1195 名患者。采用逻辑回归(LR)、随机森林、梯度提升(eXtreme Gradient Boosting)、多层感知器(multilayer perceptron)和支持向量机(support vector machine)等五种ML算法,以43个人口统计学和临床因素作为预测因子,预测癌痛患者的阿片类药物不依从性。通过接受者操作特征曲线下面积(AUC_ROC)、准确度、精确度、灵敏度、特异性和 F1 分数比较了这些模型的预测效果。利用决策曲线分析(DCA)评估了最佳模型的临床应用价值:结果:本研究获得的最佳模型 LR 模型的 AUC_ROC 为 0.82,准确度为 0.82,特异性为 0.71。DCA显示,基于LR模型对阿片类药物不依从高风险患者进行临床干预可使患者受益。对阿片类药物依从性最强的预测因素依次为:对药物的信念问卷(BMQ)--危害性、开始使用阿片类药物的时间和BMQ--必要性。讨论ML算法可作为预测癌痛患者对阿片类药物依从性的有效手段,从而进行积极的临床干预,优化癌痛管理。本试验已在 ChiCTR2000033576 注册。
本文章由计算机程序翻译,如有差异,请以英文原文为准。
求助全文
约1分钟内获得全文 求助全文
来源期刊
Pain Research & Management
Pain Research & Management CLINICAL NEUROLOGY-
CiteScore
5.30
自引率
0.00%
发文量
109
审稿时长
>12 weeks
期刊介绍: Pain Research and Management is a peer-reviewed, Open Access journal that publishes original research articles, review articles, and clinical studies in all areas of pain management. The most recent Impact Factor for Pain Research and Management is 1.685 according to the 2015 Journal Citation Reports released by Thomson Reuters in 2016.
×
引用
GB/T 7714-2015
复制
MLA
复制
APA
复制
导出至
BibTeX EndNote RefMan NoteFirst NoteExpress
×
提示
您的信息不完整,为了账户安全,请先补充。
现在去补充
×
提示
您因"违规操作"
具体请查看互助需知
我知道了
×
提示
确定
请完成安全验证×
copy
已复制链接
快去分享给好友吧!
我知道了
右上角分享
点击右上角分享
0
联系我们:info@booksci.cn Book学术提供免费学术资源搜索服务,方便国内外学者检索中英文文献。致力于提供最便捷和优质的服务体验。 Copyright © 2023 布克学术 All rights reserved.
京ICP备2023020795号-1
ghs 京公网安备 11010802042870号
Book学术文献互助
Book学术文献互助群
群 号:604180095
Book学术官方微信