Effects of routine repetitive transcranial magnetic stimulation on the sleep duration of patients with treatment-resistant depression: A prospective cohort study.

IF 0.9
PCN reports : psychiatry and clinical neurosciences Pub Date : 2024-04-01 eCollection Date: 2024-06-01 DOI:10.1002/pcn5.187
Khosro Sadeghniiat, Jayran Zebardast, Mohammadamin Parsaei, Homa Seyedmirzaei, Mohammad Arbabi, Ahmad Ali Noorbala, Sahar Ansari
{"title":"Effects of routine repetitive transcranial magnetic stimulation on the sleep duration of patients with treatment-resistant depression: A prospective cohort study.","authors":"Khosro Sadeghniiat, Jayran Zebardast, Mohammadamin Parsaei, Homa Seyedmirzaei, Mohammad Arbabi, Ahmad Ali Noorbala, Sahar Ansari","doi":"10.1002/pcn5.187","DOIUrl":null,"url":null,"abstract":"<p><strong>Aim: </strong>The aim of this study was to evaluate the short-term and long-term effects of routine repetitive transcranial magnetic stimulation (rTMS) on the sleep duration, depressive symptoms, and quality of life of patients with treatment-resistant depression (TRD).</p><p><strong>Methods: </strong>In this prospective cohort study, 25 participants with TRD were assessed using the Insomnia Severity Index (ISI) and four sleep duration components of the Pittsburgh Sleep Quality Index (PSQI). Depression severity was measured with Hamilton's Depression Rating Scale (HDRS) and Beck's Depression Inventory (BDI-II), and patient-perceived quality of life with the 36-Item Short-Form Survey (SF-36). All of these measures were evaluated at baseline (T0), and immediately (T1), 6 weeks (T2), and 12 weeks (T3) after the end of intervention.</p><p><strong>Results: </strong>At T1 endpoint, HDRS, BDI, SF-36, ISI, and three PSQI items (time to wake up, time taken to fall asleep, and Real Sleep Time) significantly improved, though these gains were reduced at follow-up endpoints (T2 and T3). Adjusting for confounders (age, sex, occupational status, BMI, and hypnotic medication) revealed that only improvements in HDRS, BDI, and time taken to fall asleep at T1 remained statistically significant. Linear regression analyses showed no significant association between reduced time taken to fall asleep and depression symptoms, suggesting rTMS can independently enhance this parameter, irrespective of depression resolution.</p><p><strong>Conclusion: </strong>Routine rTMS therapy can potentially enhance sleep duration in TRD individuals, alongside improved depressive symptoms and quality of life. However, these benefits tend to decrease over long-term follow-up, emphasizing a more pronounced short-term efficacy of rTMS.</p>","PeriodicalId":74405,"journal":{"name":"PCN reports : psychiatry and clinical neurosciences","volume":"3 2","pages":"e187"},"PeriodicalIF":0.9000,"publicationDate":"2024-04-01","publicationTypes":"Journal Article","fieldsOfStudy":null,"isOpenAccess":false,"openAccessPdf":"https://www.ncbi.nlm.nih.gov/pmc/articles/PMC11114370/pdf/","citationCount":"0","resultStr":null,"platform":"Semanticscholar","paperid":null,"PeriodicalName":"PCN reports : psychiatry and clinical neurosciences","FirstCategoryId":"1085","ListUrlMain":"https://doi.org/10.1002/pcn5.187","RegionNum":0,"RegionCategory":null,"ArticlePicture":[],"TitleCN":null,"AbstractTextCN":null,"PMCID":null,"EPubDate":"2024/6/1 0:00:00","PubModel":"eCollection","JCR":"","JCRName":"","Score":null,"Total":0}
引用次数: 0

Abstract

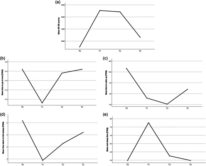
Aim: The aim of this study was to evaluate the short-term and long-term effects of routine repetitive transcranial magnetic stimulation (rTMS) on the sleep duration, depressive symptoms, and quality of life of patients with treatment-resistant depression (TRD).

Methods: In this prospective cohort study, 25 participants with TRD were assessed using the Insomnia Severity Index (ISI) and four sleep duration components of the Pittsburgh Sleep Quality Index (PSQI). Depression severity was measured with Hamilton's Depression Rating Scale (HDRS) and Beck's Depression Inventory (BDI-II), and patient-perceived quality of life with the 36-Item Short-Form Survey (SF-36). All of these measures were evaluated at baseline (T0), and immediately (T1), 6 weeks (T2), and 12 weeks (T3) after the end of intervention.

Results: At T1 endpoint, HDRS, BDI, SF-36, ISI, and three PSQI items (time to wake up, time taken to fall asleep, and Real Sleep Time) significantly improved, though these gains were reduced at follow-up endpoints (T2 and T3). Adjusting for confounders (age, sex, occupational status, BMI, and hypnotic medication) revealed that only improvements in HDRS, BDI, and time taken to fall asleep at T1 remained statistically significant. Linear regression analyses showed no significant association between reduced time taken to fall asleep and depression symptoms, suggesting rTMS can independently enhance this parameter, irrespective of depression resolution.

Conclusion: Routine rTMS therapy can potentially enhance sleep duration in TRD individuals, alongside improved depressive symptoms and quality of life. However, these benefits tend to decrease over long-term follow-up, emphasizing a more pronounced short-term efficacy of rTMS.

Abstract Image

Abstract Image

Abstract Image

常规重复经颅磁刺激对耐药抑郁症患者睡眠时间的影响:前瞻性队列研究。
目的:本研究旨在评估常规重复经颅磁刺激(rTMS)对难治性抑郁症(TRD)患者的睡眠时间、抑郁症状和生活质量的短期和长期影响:在这项前瞻性队列研究中,研究人员使用失眠严重程度指数(ISI)和匹兹堡睡眠质量指数(PSQI)的四个睡眠时间组成部分对25名TRD患者进行了评估。抑郁严重程度采用汉密尔顿抑郁评定量表(HDRS)和贝克抑郁量表(BDI-II)进行测量,患者感知的生活质量采用 36 项短表调查(SF-36)进行测量。所有这些指标均在基线(T0)、干预结束后立即(T1)、6 周(T2)和 12 周(T3)进行评估:结果:在T1终点,HDRS、BDI、SF-36、ISI和三个PSQI项目(起床时间、入睡时间和实际睡眠时间)均有显著改善,但在后续终点(T2和T3),这些改善有所减少。对混杂因素(年龄、性别、职业状况、体重指数和催眠药物)进行调整后发现,只有 HDRS、BDI 和入睡时间在 T1 阶段的改善仍具有统计学意义。线性回归分析表明,入睡时间的缩短与抑郁症状之间没有明显关联,这表明经颅磁刺激疗法可以独立提高这一参数,而与抑郁症的缓解无关:常规经颅磁刺激疗法有可能延长TRD患者的睡眠时间,同时改善抑郁症状和生活质量。然而,这些益处往往会在长期随访中逐渐减少,因此经颅磁刺激疗法的短期疗效更为显著。
本文章由计算机程序翻译,如有差异,请以英文原文为准。
求助全文
约1分钟内获得全文 求助全文
来源期刊
CiteScore
0.70
自引率
0.00%
发文量
0
×
引用
GB/T 7714-2015
复制
MLA
复制
APA
复制
导出至
BibTeX EndNote RefMan NoteFirst NoteExpress
×
提示
您的信息不完整,为了账户安全,请先补充。
现在去补充
×
提示
您因"违规操作"
具体请查看互助需知
我知道了
×
提示
确定
请完成安全验证×
copy
已复制链接
快去分享给好友吧!
我知道了
右上角分享
点击右上角分享
0
联系我们:info@booksci.cn Book学术提供免费学术资源搜索服务,方便国内外学者检索中英文文献。致力于提供最便捷和优质的服务体验。 Copyright © 2023 布克学术 All rights reserved.
京ICP备2023020795号-1
ghs 京公网安备 11010802042870号
Book学术文献互助
Book学术文献互助群
群 号:604180095
Book学术官方微信