Prevailing Food Intake, Physical Activity and Health Beliefs in a Rural Agricultural Community in the Philippines: Factors to Consider Prior to a Diabetes Prevention Program.

IF 1.2 Q4 ENDOCRINOLOGY & METABOLISM
Mark Anthony Sandoval, Elizabeth Paz-Pacheco, Edwin Cañete, Perpetua Patal, Monica Therese Cating-Cabral, Frances Lina Lantion-Ang, Elizabeth Paterno, Noel Juban, Cecilia Jimeno
{"title":"Prevailing Food Intake, Physical Activity and Health Beliefs in a Rural Agricultural Community in the Philippines: Factors to Consider Prior to a Diabetes Prevention Program.","authors":"Mark Anthony Sandoval, Elizabeth Paz-Pacheco, Edwin Cañete, Perpetua Patal, Monica Therese Cating-Cabral, Frances Lina Lantion-Ang, Elizabeth Paterno, Noel Juban, Cecilia Jimeno","doi":"10.15605/jafes.039.01.11","DOIUrl":null,"url":null,"abstract":"<p><strong>Objective: </strong>A diabetes prevention program is being proposed in the rural agricultural town of San Juan, Batangas, Philippines. This study aims to determine the prevailing level of food intake, physical activity, and health beliefs prior to any intervention.</p><p><strong>Methodology: </strong>Adults were recruited via random sampling with proportional allocation. Interviews were done to determine food intake and physical activity. Small group discussions were held to determine prevailing health beliefs.</p><p><strong>Results: </strong>The average energy intake (1,547 kcal/d) is only 72% of the recommended values for Filipinos. Only 12% of the respondents achieved the recommended energy intake. Carbohydrates comprise a large part (71%) of calorie intake. A majority (91%) already have moderate to high levels of physical activity. There are prevailing health beliefs that need to be considered when dietary modifications and physical activity interventions are to be done.</p><p><strong>Conclusion: </strong>Internationally recommended diabetes prevention interventions such as reducing calorie intake and increasing physical activity may not be directly applicable here. We recommend that the features of a diabetes prevention program for this locale must include the following: 1) introduction of affordable plant sources of proteins; 2) decreasing the proportion of rice as a source of carbohydrates in the diet; 3) maintaining the level of physical activity; and 4) being sensitive to the prevailing health beliefs.</p>","PeriodicalId":41792,"journal":{"name":"Journal of the ASEAN Federation of Endocrine Societies","volume":"39 1","pages":"37-44"},"PeriodicalIF":1.2000,"publicationDate":"2024-01-01","publicationTypes":"Journal Article","fieldsOfStudy":null,"isOpenAccess":false,"openAccessPdf":"https://www.ncbi.nlm.nih.gov/pmc/articles/PMC11163309/pdf/","citationCount":"0","resultStr":null,"platform":"Semanticscholar","paperid":null,"PeriodicalName":"Journal of the ASEAN Federation of Endocrine Societies","FirstCategoryId":"1085","ListUrlMain":"https://doi.org/10.15605/jafes.039.01.11","RegionNum":0,"RegionCategory":null,"ArticlePicture":[],"TitleCN":null,"AbstractTextCN":null,"PMCID":null,"EPubDate":"2024/1/23 0:00:00","PubModel":"Epub","JCR":"Q4","JCRName":"ENDOCRINOLOGY & METABOLISM","Score":null,"Total":0}
引用次数: 0

Abstract

Objective: A diabetes prevention program is being proposed in the rural agricultural town of San Juan, Batangas, Philippines. This study aims to determine the prevailing level of food intake, physical activity, and health beliefs prior to any intervention.

Methodology: Adults were recruited via random sampling with proportional allocation. Interviews were done to determine food intake and physical activity. Small group discussions were held to determine prevailing health beliefs.

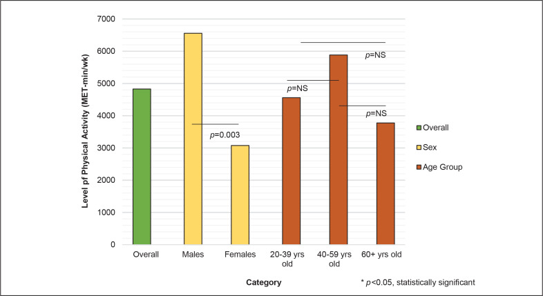
Results: The average energy intake (1,547 kcal/d) is only 72% of the recommended values for Filipinos. Only 12% of the respondents achieved the recommended energy intake. Carbohydrates comprise a large part (71%) of calorie intake. A majority (91%) already have moderate to high levels of physical activity. There are prevailing health beliefs that need to be considered when dietary modifications and physical activity interventions are to be done.

Conclusion: Internationally recommended diabetes prevention interventions such as reducing calorie intake and increasing physical activity may not be directly applicable here. We recommend that the features of a diabetes prevention program for this locale must include the following: 1) introduction of affordable plant sources of proteins; 2) decreasing the proportion of rice as a source of carbohydrates in the diet; 3) maintaining the level of physical activity; and 4) being sensitive to the prevailing health beliefs.

Abstract Image

Abstract Image

Abstract Image

菲律宾农村农业社区的普遍食物摄入量、体育活动和健康观念:糖尿病预防计划前应考虑的因素》。
目的:在菲律宾八打雁省圣胡安市的农村农业小镇上提出了一项糖尿病预防计划。本研究旨在确定在采取任何干预措施之前的食物摄入、体育锻炼和健康观念的普遍水平:方法:通过随机抽样和比例分配招募成年人。通过访谈确定食物摄入量和体育活动量。进行小组讨论以确定普遍的健康观念:结果:平均能量摄入量(1,547 千卡/天)仅为菲律宾人建议值的 72%。只有 12% 的受访者达到了建议的能量摄入量。碳水化合物占热量摄入的大部分(71%)。大多数受访者(91%)已经有中高水平的体育锻炼。在进行饮食调整和体育锻炼干预时,需要考虑普遍存在的健康观念:结论:国际上推荐的糖尿病预防干预措施,如减少卡路里摄入量和增加体育锻炼,在这里可能并不直接适用。我们建议,该地区的糖尿病预防计划必须包括以下内容:1)引入经济实惠的植物蛋白来源;2)减少米饭作为碳水化合物来源在饮食中的比例;3)保持体育锻炼的水平;以及 4)对普遍的健康观念保持敏感。
本文章由计算机程序翻译,如有差异,请以英文原文为准。
求助全文
约1分钟内获得全文 求助全文
来源期刊
CiteScore
1.20
自引率
0.00%
发文量
22
审稿时长
8 weeks
期刊介绍: The Journal of the ASEAN Federation of Endocrine Societies (JAFES) is an OPEN ACCESS, internationally peer-reviewed, English language, medical and health science journal that is published in print two times a year by the ASEAN Federation of Endocrine Societies. It shall serve as the endocrine window between the ASEAN region and the world, featuring original papers and publishing key findings from specialists and experts of endocrinology.
×
引用
GB/T 7714-2015
复制
MLA
复制
APA
复制
导出至
BibTeX EndNote RefMan NoteFirst NoteExpress
×
提示
您的信息不完整,为了账户安全,请先补充。
现在去补充
×
提示
您因"违规操作"
具体请查看互助需知
我知道了
×
提示
确定
请完成安全验证×
copy
已复制链接
快去分享给好友吧!
我知道了
右上角分享
点击右上角分享
0
联系我们:info@booksci.cn Book学术提供免费学术资源搜索服务,方便国内外学者检索中英文文献。致力于提供最便捷和优质的服务体验。 Copyright © 2023 布克学术 All rights reserved.
京ICP备2023020795号-1
ghs 京公网安备 11010802042870号
Book学术文献互助
Book学术文献互助群
群 号:604180095
Book学术官方微信