[Early language performance in the ELFRA questionnaire : Analysis of multicentre data from children with bilateral cochlear implants].

IF 1.3 4区 医学 Q4 OTORHINOLARYNGOLOGY
Hno Pub Date : 2025-05-01 Epub Date: 2024-06-11 DOI:10.1007/s00106-024-01489-w
Cynthia Glaubitz, Rainer Beck, Tim Liebscher, Antje Aschendorff, Kerstin Kreibohm-Strauß, Dominique Kronesser, Yvonne Seebens, Barbara Streicher, Stefanie Kröger
{"title":"[Early language performance in the ELFRA questionnaire : Analysis of multicentre data from children with bilateral cochlear implants].","authors":"Cynthia Glaubitz, Rainer Beck, Tim Liebscher, Antje Aschendorff, Kerstin Kreibohm-Strauß, Dominique Kronesser, Yvonne Seebens, Barbara Streicher, Stefanie Kröger","doi":"10.1007/s00106-024-01489-w","DOIUrl":null,"url":null,"abstract":"<p><strong>Background: </strong>Very early bilateral cochlear implant (CI) provision is today's established standard for children. Therefore, the assessment of preverbal and verbal performance in very early stages of development is becoming increasingly important. Performance data from cohorts of children were evaluated and presented based on diagnostic assessment using chronological age (CA) and hearing age (HA).</p><p><strong>Methods: </strong>The present study, as part of a retrospective multicentre study, included 4 cohorts (N = 72-233) of children with bilateral CI without additional disabilities. Their results in the German parent questionnaires Elternfragebögen zur Früherkennung von Risikokindern(ELFRA‑1 and ELFRA-2) subdivided for CA and HA were statistically analysed. The data were also analysed in terms of mono-/bilingualism and age at CI provision.</p><p><strong>Results: </strong>Overall, verbal performance in relation to CA was lower than in relation to HA. Preverbal skills were largely CA appropriate. Children with bi-/multilingual language acquisition performed significantly lower. Verbal performance in ELFRA‑2 referenced to CA was negatively correlated with age at CI provision.</p><p><strong>Conclusion: </strong>In the case of early CI provision, CA should be the preferred reference mark in preverbal and verbal assessment in order to obtain exact individual performance levels and avoid bias in results. The percentiles determined are of limited use as generally valid reference values to which the individual performance of bilaterally implanted children could be compared. Further multicentre studies should be initiated.</p>","PeriodicalId":55052,"journal":{"name":"Hno","volume":" ","pages":"288-298"},"PeriodicalIF":1.3000,"publicationDate":"2025-05-01","publicationTypes":"Journal Article","fieldsOfStudy":null,"isOpenAccess":false,"openAccessPdf":"https://www.ncbi.nlm.nih.gov/pmc/articles/PMC12021935/pdf/","citationCount":"0","resultStr":null,"platform":"Semanticscholar","paperid":null,"PeriodicalName":"Hno","FirstCategoryId":"3","ListUrlMain":"https://doi.org/10.1007/s00106-024-01489-w","RegionNum":4,"RegionCategory":"医学","ArticlePicture":[],"TitleCN":null,"AbstractTextCN":null,"PMCID":null,"EPubDate":"2024/6/11 0:00:00","PubModel":"Epub","JCR":"Q4","JCRName":"OTORHINOLARYNGOLOGY","Score":null,"Total":0}
引用次数: 0

Abstract

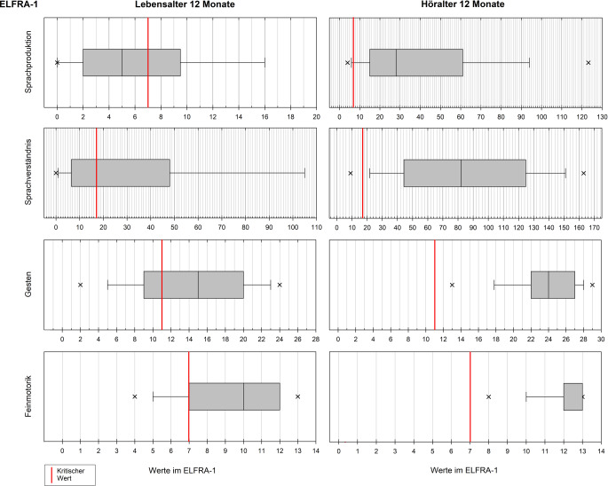
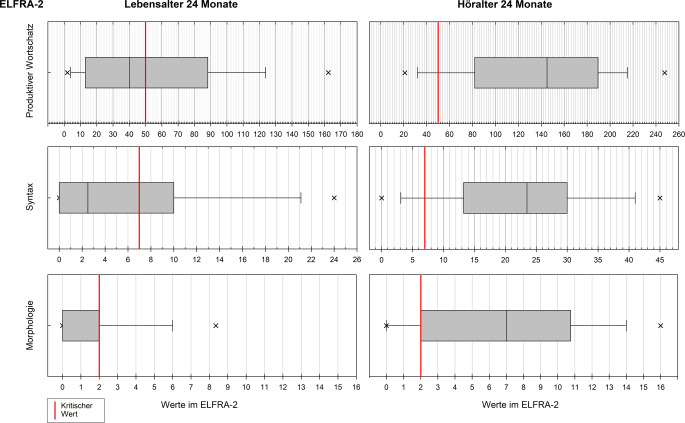
Background: Very early bilateral cochlear implant (CI) provision is today's established standard for children. Therefore, the assessment of preverbal and verbal performance in very early stages of development is becoming increasingly important. Performance data from cohorts of children were evaluated and presented based on diagnostic assessment using chronological age (CA) and hearing age (HA).

Methods: The present study, as part of a retrospective multicentre study, included 4 cohorts (N = 72-233) of children with bilateral CI without additional disabilities. Their results in the German parent questionnaires Elternfragebögen zur Früherkennung von Risikokindern(ELFRA‑1 and ELFRA-2) subdivided for CA and HA were statistically analysed. The data were also analysed in terms of mono-/bilingualism and age at CI provision.

Results: Overall, verbal performance in relation to CA was lower than in relation to HA. Preverbal skills were largely CA appropriate. Children with bi-/multilingual language acquisition performed significantly lower. Verbal performance in ELFRA‑2 referenced to CA was negatively correlated with age at CI provision.

Conclusion: In the case of early CI provision, CA should be the preferred reference mark in preverbal and verbal assessment in order to obtain exact individual performance levels and avoid bias in results. The percentiles determined are of limited use as generally valid reference values to which the individual performance of bilaterally implanted children could be compared. Further multicentre studies should be initiated.

Abstract Image

Abstract Image

Abstract Image

[ELFRA问卷中的早期语言表达:双耳人工耳蜗植入儿童的多中心数据分析]。
背景:早期双侧人工耳蜗(CI)植入是当今儿童的既定标准。因此,对儿童早期发育阶段的前语言和语言表达能力进行评估变得越来越重要。本研究根据使用实足年龄(CA)和听力年龄(HA)进行的诊断评估,评估并展示了一组儿童的表现数据:本研究是一项回顾性多中心研究的一部分,包括 4 组(N = 72-233)无其他残疾的双侧 CI 儿童。对他们在德国家长问卷 Elternfragebögen zur Früherkennung von Risikokindern(ELFRA-1 和 ELFRA-2)中的结果进行了统计分析。此外,还从单语/双语和提供 CI 的年龄角度对数据进行了分析:总体而言,与 CA 相关的口头表达能力低于与 HA 相关的口头表达能力。前语言技能在很大程度上与 CA 相适应。学习双语/多语的儿童的表现明显较差。ELFRA-2中与CA相关的言语表现与提供CI的年龄呈负相关:结论:在早期使用 CI 的情况下,CA 应作为言前和言语评估的首选参考指标,以获得准确的个人表现水平,避免结果出现偏差。所确定的百分位数作为普遍有效的参考值,在比较双侧植入儿童的个人表现方面作用有限。应进一步开展多中心研究。
本文章由计算机程序翻译,如有差异,请以英文原文为准。
求助全文
约1分钟内获得全文 求助全文
来源期刊
Hno
Hno 医学-耳鼻喉科学
CiteScore
1.50
自引率
33.30%
发文量
116
审稿时长
4-8 weeks
期刊介绍: HNO is an internationally recognized journal and addresses all ENT specialists in practices and clinics dealing with all aspects of ENT medicine, e.g. prevention, diagnostic methods, complication management, modern therapy strategies and surgical procedures. Review articles provide an overview on selected topics and offer the reader a summary of current findings from all fields of ENT medicine. Freely submitted original papers allow the presentation of important clinical studies and serve the scientific exchange. Case reports feature interesting cases and aim at optimizing diagnostic and therapeutic strategies. Review articles under the rubric ''Continuing Medical Education'' present verified results of scientific research and their integration into daily practice.
×
引用
GB/T 7714-2015
复制
MLA
复制
APA
复制
导出至
BibTeX EndNote RefMan NoteFirst NoteExpress
×
提示
您的信息不完整,为了账户安全,请先补充。
现在去补充
×
提示
您因"违规操作"
具体请查看互助需知
我知道了
×
提示
确定
请完成安全验证×
copy
已复制链接
快去分享给好友吧!
我知道了
右上角分享
点击右上角分享
0
联系我们:info@booksci.cn Book学术提供免费学术资源搜索服务,方便国内外学者检索中英文文献。致力于提供最便捷和优质的服务体验。 Copyright © 2023 布克学术 All rights reserved.
京ICP备2023020795号-1
ghs 京公网安备 11010802042870号
Book学术文献互助
Book学术文献互助群
群 号:604180095
Book学术官方微信