Monolayer graphene/GaN heterostructure photodetector with UV-IR dual-wavelength photoresponses.

IF 5.2 3区 工程技术 Q2 ENGINEERING, ELECTRICAL & ELECTRONIC
Junjun Xue, Jiaming Tong, Zhujun Gao, Zhouyu Chen, Haoyu Fang, Saisai Wang, Ting Zhi, Jin Wang
{"title":"Monolayer graphene/GaN heterostructure photodetector with UV-IR dual-wavelength photoresponses.","authors":"Junjun Xue, Jiaming Tong, Zhujun Gao, Zhouyu Chen, Haoyu Fang, Saisai Wang, Ting Zhi, Jin Wang","doi":"10.1007/s12200-024-00121-7","DOIUrl":null,"url":null,"abstract":"<p><p>An ultraviolet-infrared (UV-IR) dual-wavelength photodetector (PD) based on a monolayer (ML) graphene/GaN heterostructure has been successfully fabricated in this work. The ML graphene was synthesized by chemical vapor deposition (CVD) and subsequently transferred onto GaN substrate using polymethylmethacrylate (PMMA). The morphological and optical properties of the as-prepared graphene and GaN were presented. The fabricated PD based on the graphene/GaN heterostructure exhibited excellent rectify behavior by measuring the current-voltage (I-V) characteristics under dark conditions, and the spectral response demonstrated that the device revealed an UV-IR dual-wavelength photoresponse. In addition, the energy band structure and absorption properties of the ML graphene/GaN heterostructure were theoretically investigated based on density functional theory (DFT) to explore the underlying physical mechanism of the two-dimensional (2D)/three-dimensional (3D) hybrid heterostructure PD device. This work paves the way for the development of innovative GaN-based dual-wavelength optoelectronic devices, offering a potential strategy for future applications in the field of advanced photodetection technology.</p>","PeriodicalId":12685,"journal":{"name":"Frontiers of Optoelectronics","volume":"17 1","pages":"17"},"PeriodicalIF":5.2000,"publicationDate":"2024-06-07","publicationTypes":"Journal Article","fieldsOfStudy":null,"isOpenAccess":false,"openAccessPdf":"https://www.ncbi.nlm.nih.gov/pmc/articles/PMC11161448/pdf/","citationCount":"0","resultStr":null,"platform":"Semanticscholar","paperid":null,"PeriodicalName":"Frontiers of Optoelectronics","FirstCategoryId":"5","ListUrlMain":"https://doi.org/10.1007/s12200-024-00121-7","RegionNum":3,"RegionCategory":"工程技术","ArticlePicture":[],"TitleCN":null,"AbstractTextCN":null,"PMCID":null,"EPubDate":"","PubModel":"","JCR":"Q2","JCRName":"ENGINEERING, ELECTRICAL & ELECTRONIC","Score":null,"Total":0}
引用次数: 0

Abstract

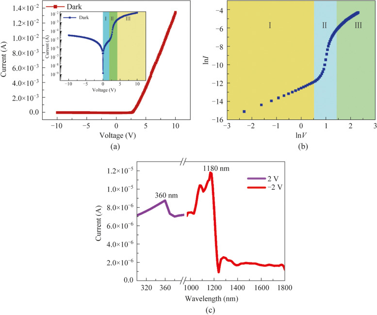
An ultraviolet-infrared (UV-IR) dual-wavelength photodetector (PD) based on a monolayer (ML) graphene/GaN heterostructure has been successfully fabricated in this work. The ML graphene was synthesized by chemical vapor deposition (CVD) and subsequently transferred onto GaN substrate using polymethylmethacrylate (PMMA). The morphological and optical properties of the as-prepared graphene and GaN were presented. The fabricated PD based on the graphene/GaN heterostructure exhibited excellent rectify behavior by measuring the current-voltage (I-V) characteristics under dark conditions, and the spectral response demonstrated that the device revealed an UV-IR dual-wavelength photoresponse. In addition, the energy band structure and absorption properties of the ML graphene/GaN heterostructure were theoretically investigated based on density functional theory (DFT) to explore the underlying physical mechanism of the two-dimensional (2D)/three-dimensional (3D) hybrid heterostructure PD device. This work paves the way for the development of innovative GaN-based dual-wavelength optoelectronic devices, offering a potential strategy for future applications in the field of advanced photodetection technology.

Abstract Image

Abstract Image

Abstract Image

具有紫外-红外双波长光响应的单层石墨烯/氮化镓异质结构光电探测器。
在这项工作中,我们成功地制造出了基于单层(ML)石墨烯/氮化镓异质结构的紫外-红外(UV-IR)双波长光电探测器(PD)。单层石墨烯是通过化学气相沉积(CVD)合成的,随后使用聚甲基丙烯酸甲酯(PMMA)转移到氮化镓衬底上。研究介绍了制备的石墨烯和 GaN 的形态和光学特性。通过测量黑暗条件下的电流-电压(I-V)特性,基于石墨烯/氮化镓异质结构制备的 PD 表现出优异的整流性能,光谱响应表明该器件具有紫外-红外双波长光响应。此外,还基于密度泛函理论(DFT)对 ML 石墨烯/氮化镓异质结构的能带结构和吸收特性进行了理论研究,以探索二维(2D)/三维(3D)混合异质结构 PD 器件的基本物理机制。这项工作为开发基于氮化镓的创新型双波长光电器件铺平了道路,为未来在先进光探测技术领域的应用提供了一种潜在的策略。
本文章由计算机程序翻译,如有差异,请以英文原文为准。
求助全文
约1分钟内获得全文 求助全文
来源期刊
Frontiers of Optoelectronics
Frontiers of Optoelectronics ENGINEERING, ELECTRICAL & ELECTRONIC-
CiteScore
7.80
自引率
0.00%
发文量
583
期刊介绍: Frontiers of Optoelectronics seeks to provide a multidisciplinary forum for a broad mix of peer-reviewed academic papers in order to promote rapid communication and exchange between researchers in China and abroad. It introduces and reflects significant achievements being made in the field of photonics or optoelectronics. The topics include, but are not limited to, semiconductor optoelectronics, nano-photonics, information photonics, energy photonics, ultrafast photonics, biomedical photonics, nonlinear photonics, fiber optics, laser and terahertz technology and intelligent photonics. The journal publishes reviews, research articles, letters, comments, special issues and so on. Frontiers of Optoelectronics especially encourages papers from new emerging and multidisciplinary areas, papers reflecting the international trends of research and development, and on special topics reporting progress made in the field of optoelectronics. All published papers will reflect the original thoughts of researchers and practitioners on basic theories, design and new technology in optoelectronics. Frontiers of Optoelectronics is strictly peer-reviewed and only accepts original submissions in English. It is a fully OA journal and the APCs are covered by Higher Education Press and Huazhong University of Science and Technology. ● Presents the latest developments in optoelectronics and optics ● Emphasizes the latest developments of new optoelectronic materials, devices, systems and applications ● Covers industrial photonics, information photonics, biomedical photonics, energy photonics, laser and terahertz technology, and more
×
引用
GB/T 7714-2015
复制
MLA
复制
APA
复制
导出至
BibTeX EndNote RefMan NoteFirst NoteExpress
×
提示
您的信息不完整,为了账户安全,请先补充。
现在去补充
×
提示
您因"违规操作"
具体请查看互助需知
我知道了
×
提示
确定
请完成安全验证×
copy
已复制链接
快去分享给好友吧!
我知道了
右上角分享
点击右上角分享
0
联系我们:info@booksci.cn Book学术提供免费学术资源搜索服务,方便国内外学者检索中英文文献。致力于提供最便捷和优质的服务体验。 Copyright © 2023 布克学术 All rights reserved.
京ICP备2023020795号-1
ghs 京公网安备 11010802042870号
Book学术文献互助
Book学术文献互助群
群 号:604180095
Book学术官方微信