Design of an on-chip wavelength conversion device assisted by an erbium-ytterbium co-doped waveguide amplifier.

IF 5.2 3区 工程技术 Q2 ENGINEERING, ELECTRICAL & ELECTRONIC
Chen Zhou, Xiwen He, Mingyue Xiao, Deyue Ma, Weibiao Chen, Zhiping Zhou
{"title":"Design of an on-chip wavelength conversion device assisted by an erbium-ytterbium co-doped waveguide amplifier.","authors":"Chen Zhou, Xiwen He, Mingyue Xiao, Deyue Ma, Weibiao Chen, Zhiping Zhou","doi":"10.1007/s12200-024-00118-2","DOIUrl":null,"url":null,"abstract":"<p><p>In current documented studies, it has been observed that wavelength converters utilizing AlGaAsOI waveguides exhibit suboptimal on-chip wavelength conversion efficiency from the C-band to the 2 μm band, generally falling below -20.0 dB. To address this issue, we present a novel wavelength conversion device assisted by a waveguide amplifier, incorporating both AlGaAs wavelength converter and erbium-ytterbium co-doped waveguide amplifier, thereby achieving a notable conversion efficiency exceeding 0 dB. The noteworthy enhancement in efficiency can be attributed to the specific dispersion design of the AlGaAs wavelength converter, which enables an upsurge in conversion efficiency to -15.54 dB under 100 mW of pump power. Furthermore, the integration of an erbium-ytterbium co-doped waveguide amplifier facilitates a loss compensation of over 15 dB. Avoiding the use of external optical amplifiers, this device enables efficient and high-bandwidth wavelength conversion, showing promising applications in various fields, such as optical communication, sensing, imaging, and beyond.</p>","PeriodicalId":12685,"journal":{"name":"Frontiers of Optoelectronics","volume":"17 1","pages":"16"},"PeriodicalIF":5.2000,"publicationDate":"2024-06-04","publicationTypes":"Journal Article","fieldsOfStudy":null,"isOpenAccess":false,"openAccessPdf":"https://www.ncbi.nlm.nih.gov/pmc/articles/PMC11150233/pdf/","citationCount":"0","resultStr":null,"platform":"Semanticscholar","paperid":null,"PeriodicalName":"Frontiers of Optoelectronics","FirstCategoryId":"5","ListUrlMain":"https://doi.org/10.1007/s12200-024-00118-2","RegionNum":3,"RegionCategory":"工程技术","ArticlePicture":[],"TitleCN":null,"AbstractTextCN":null,"PMCID":null,"EPubDate":"","PubModel":"","JCR":"Q2","JCRName":"ENGINEERING, ELECTRICAL & ELECTRONIC","Score":null,"Total":0}
引用次数: 0

Abstract

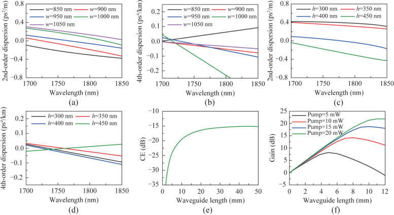
In current documented studies, it has been observed that wavelength converters utilizing AlGaAsOI waveguides exhibit suboptimal on-chip wavelength conversion efficiency from the C-band to the 2 μm band, generally falling below -20.0 dB. To address this issue, we present a novel wavelength conversion device assisted by a waveguide amplifier, incorporating both AlGaAs wavelength converter and erbium-ytterbium co-doped waveguide amplifier, thereby achieving a notable conversion efficiency exceeding 0 dB. The noteworthy enhancement in efficiency can be attributed to the specific dispersion design of the AlGaAs wavelength converter, which enables an upsurge in conversion efficiency to -15.54 dB under 100 mW of pump power. Furthermore, the integration of an erbium-ytterbium co-doped waveguide amplifier facilitates a loss compensation of over 15 dB. Avoiding the use of external optical amplifiers, this device enables efficient and high-bandwidth wavelength conversion, showing promising applications in various fields, such as optical communication, sensing, imaging, and beyond.

Abstract Image

Abstract Image

Abstract Image

设计一个由铒镱共掺波导放大器辅助的片上波长转换装置。
在目前的文献研究中,我们发现使用 AlGaAsOI 波导的波长转换器从 C 波段到 2 μm 波段的片上波长转换效率并不理想,通常低于 -20.0 dB。为解决这一问题,我们提出了一种由波导放大器辅助的新型波长转换器件,它同时集成了砷化镓波长转换器和铒镱共掺波导放大器,从而实现了超过 0 dB 的显著转换效率。效率的显著提高可归功于 AlGaAs 波长转换器的特殊色散设计,在 100 mW 泵功率下,转换效率可飙升至 -15.54 dB。此外,铒镱共掺波导放大器的集成使损耗补偿超过 15 dB。该器件避免了外部光放大器的使用,实现了高效、高带宽的波长转换,在光通信、传感、成像等各个领域都有广阔的应用前景。
本文章由计算机程序翻译,如有差异,请以英文原文为准。
求助全文
约1分钟内获得全文 求助全文
来源期刊
Frontiers of Optoelectronics
Frontiers of Optoelectronics ENGINEERING, ELECTRICAL & ELECTRONIC-
CiteScore
7.80
自引率
0.00%
发文量
583
期刊介绍: Frontiers of Optoelectronics seeks to provide a multidisciplinary forum for a broad mix of peer-reviewed academic papers in order to promote rapid communication and exchange between researchers in China and abroad. It introduces and reflects significant achievements being made in the field of photonics or optoelectronics. The topics include, but are not limited to, semiconductor optoelectronics, nano-photonics, information photonics, energy photonics, ultrafast photonics, biomedical photonics, nonlinear photonics, fiber optics, laser and terahertz technology and intelligent photonics. The journal publishes reviews, research articles, letters, comments, special issues and so on. Frontiers of Optoelectronics especially encourages papers from new emerging and multidisciplinary areas, papers reflecting the international trends of research and development, and on special topics reporting progress made in the field of optoelectronics. All published papers will reflect the original thoughts of researchers and practitioners on basic theories, design and new technology in optoelectronics. Frontiers of Optoelectronics is strictly peer-reviewed and only accepts original submissions in English. It is a fully OA journal and the APCs are covered by Higher Education Press and Huazhong University of Science and Technology. ● Presents the latest developments in optoelectronics and optics ● Emphasizes the latest developments of new optoelectronic materials, devices, systems and applications ● Covers industrial photonics, information photonics, biomedical photonics, energy photonics, laser and terahertz technology, and more
×
引用
GB/T 7714-2015
复制
MLA
复制
APA
复制
导出至
BibTeX EndNote RefMan NoteFirst NoteExpress
×
提示
您的信息不完整,为了账户安全,请先补充。
现在去补充
×
提示
您因"违规操作"
具体请查看互助需知
我知道了
×
提示
确定
请完成安全验证×
copy
已复制链接
快去分享给好友吧!
我知道了
右上角分享
点击右上角分享
0
联系我们:info@booksci.cn Book学术提供免费学术资源搜索服务,方便国内外学者检索中英文文献。致力于提供最便捷和优质的服务体验。 Copyright © 2023 布克学术 All rights reserved.
京ICP备2023020795号-1
ghs 京公网安备 11010802042870号
Book学术文献互助
Book学术文献互助群
群 号:604180095
Book学术官方微信